SUPPLEMENTAL AGREEMENT TO THE AMENDED AND RESTATED AGENCY AGREEMENT


relating to

BANK OF AMERICA CORPORATION

U.S. $65,000,000,000
Euro Medium-Term Note Program


among


BANK OF AMERICA CORPORATION
as Issuer

and


BANK OF AMERICA, N.A.
as Principal Agent

and

MERRILL LYNCH INTERNATIONAL BANK LIMITED
as Transfer Agent and Registrar





DATED AS OF MAY 17, 2012



CityPoint, One Ropemaker Street | London EC2Y 9AW
Tel: +44 20 7920 4000 | Fax: +44 20 7496 8500

    

    

    




CONTENTS

Clause    
 
Page
 
 
 
1.
Definitions and Interpretation
2.
Amendment of the Original Agreement
3.
Governing Law and Jurisdiction
4.
Counterparts
Exhibit 1 -
Terms and Conditions of the Notes
Exhibit 2 -
Product Annexes
Exhibit 3 -
Form Of Put Notice



i



THIS SUPPLEMENTAL AGREEMENT TO THE AMENDED AND RESTATED AGENCY AGREEMENT dated as of May 17, 2012 (the “Agreement”) among:
(i)
Bank of America Corporation, a Delaware corporation (the “Issuer”);

(ii)
Bank of America, N.A. (operating through its London Branch) (the “Principal Agent”); and

(iii)
Merrill Lynch International Bank Limited (the “Transfer Agent” and the “Registrar”, together with the Principal Agent, the “Agents”, and each of them individually, an “Agent”).

WHEREAS, the Issuer and the Agents originally entered into an Amended and Restated Agency Agreement dated July 22, 2010, as amended and supplemented by the Supplemental Agreement to the Amended and Restated Agency Agreement dated July 22, 2011 (the “First Supplemental Agreement”) and the Supplemental Agreement to the Amended and Restated Agency Agreement dated March 15, 2012 (the “Second Supplemental Agreement”) (as so amended and supplemented, the “Original Agreement”), in connection with the issuance and offering of the Notes;
WHEREAS, the Issuer and the Agents wish to amend the Original Agreement in accordance with the terms of this Agreement, with respect to the Notes to be issued by the Issuer on and after the date hereof; and
WHEREAS, any Notes issued on or after July 22, 2010 and prior to the date hereof, will continue to be governed by the terms of the Original Agreement as in effect at the time of such issuance.
NOW, THEREFORE, it is agreed as follows:
1.
Definitions and Interpretation

Terms and expressions defined or specifically interpreted in the Original Agreement and not otherwise defined or specifically interpreted in this Agreement shall have the same meanings or interpretations in this Agreement, except where the context requires otherwise.
2.
Amendment of the Original Agreement

The Original Agreement shall be amended as follows:
(a)
in Clause 18 (Copies of Documents Available for Inspection), after the reference to “the Annual Report on Form 10-K of the Issuer for the year ended December 31, 2010” shall be inserted, “, the Annual Report on Form 10-K of the Issuer for the year ended December 31, 2011”;
(b)
Clause 12(5) of the Original Agreement shall be deleted in its entirety and replaced with the following Clause 12(5):

“Each Paying Agent, with respect to Bearer Notes, and each Transfer Agent, with respect to Registered Notes, will keep a stock of Put Notices for Bearer Definitive Notes or Registered Definitive Notes in the form set out in Schedule 10 hereto, and will make such notices available on demand to Noteholders of such Notes for which the Terms and Conditions provide for redemption at the option of Noteholders. Each Paying Agent, with respect to Bearer Notes, or Transfer Agent, with respect to Registered Notes, shall promptly transfer a copy of any valid Put Notice that it receives to the Issuer and the Principal Agent.

1




In relation to the exercise of a Noteholder option to redeem Registered Notes represented by a Registered Global Note, on the due date for redemption of such Notes, the Transfer Agent which has received the notice of exercise of such option shall promptly notify the Principal Agent and the Issuer, and the Principal Agent will make payment of the applicable redemption amount due thereon, together with any interest and any other amounts due on such date, in accordance with the Terms and Conditions and shall pay such amounts in accordance with Condition 6, and if applicable, the directions of the entity holding the Registered Global Note.

Upon receipt of any Bearer Definitive Note or Registered Definitive Certificate deposited in relation to the exercise of a Noteholder option to redeem in accordance with the Terms and Conditions, the Paying Agent, with respect to Bearer Notes, or Transfer Agent, with respect to Registered Notes, with which such Bearer Note or Registered Certificate is deposited, shall hold such Bearer Note (together with any Coupons, if any, relating to it and deposited with it) or Registered Certificate on behalf of the depositing Noteholder (but shall not, save as provided below, release it) until the due date for redemption of the relevant Note consequent upon the exercise of such option, when, subject as provided below and in Clause 9(12) above, it shall present such Bearer Note (and any such Coupons, if any) or Registered Certificate to itself (or, in the case of a Registered Certificate, the Principal Agent) and the Issuer for payment of the applicable redemption amount due thereon, together with any interest and any other amounts due on such date, in accordance with the Terms and Conditions and it (or, in the case of a Registered Certificate, the Principal Agent) shall pay all amounts due to the Noteholder in accordance with Condition 6, and if applicable, the directions of such Noteholder contained in the Put Notice. If, prior to such due date for its redemption, such Note becomes immediately due and payable or if upon due presentation payment of such redemption monies is improperly withheld or refused, the applicable Paying Agent or Transfer Agent shall post such Bearer Note (together with any such Coupons, if any) or such Registered Certificate by uninsured post to, and at the risk of, the relevant Noteholder unless the Noteholder has otherwise requested and paid the costs of such insurance to the relevant Paying Agent or Transfer Agent at the time of depositing the Bearer Notes or Registered Certificates at such address outside the United States and its possessions as may have been given by the Noteholder in the Put Notice or, in the case of Registered Notes where no address has been given, to the address appearing in the Register.

Upon receipt of any Bearer Global Note deposited by the common depositary or common safekeeper (as applicable) in the exercise of a Noteholder option to redeem in accordance with the Terms and Conditions, the Paying Agent with which such Bearer Global Note is deposited shall hold such Bearer Global Note on behalf of the common depositary or common safekeeper (as applicable) (but shall not, save as provided below, release it) until the due date for redemption of the Notes of each relevant Noteholder consequent upon the exercise of such option, when, subject as provided below and in Clause 9(12) above, it shall present such Bearer Global Note to itself and the Issuer for payment of the amount due thereon together with any interest and any other amounts due on such date in accordance with the Terms and Conditions and shall pay such amounts in accordance with Condition 6, and if applicable, the directions of the common depositary or common safekeeper (as applicable). Such Bearer Global Note shall then be returned to the common depositary or common safekeeper (as applicable). If, prior to such due date for its redemption, such Note becomes immediately due and payable or if upon due presentation payment of such redemption monies is improperly withheld or refused, the applicable Paying Agent shall deliver such Bearer Global Note to the common depositary or common safekeeper (as applicable).

In the event of exercise of any other option, each Paying Agent, with respect to Bearer Notes, or Transfer Agent and Principal Agent, with respect to Registered Notes, shall take steps required of it in the Terms and Conditions and, in the case of Registered Notes, Clause 17. At the end of each period for the exercise of any option to redeem, each Paying Agent and each Transfer Agent shall promptly notify the Principal Agent of

2



the principal amount of the Notes in respect of which such option has been exercised with it, together with, in the case of Notes in definitive form, their serial numbers (or those of the Registered Certificates representing them), and the Principal Agent shall promptly notify such details to the Issuer.”;

(c)
the Terms and Conditions of the Notes as set out in Exhibit 1 to this Agreement shall replace the Terms and Conditions of the Notes as set out in Schedule 6-1 to the Original Agreement;

(d)
the Product Annexes as set out in Exhibit 2 to this Agreement shall replace the Product Annexes as set out in Schedule 6-2 to the Original Agreement; and

(e)
the Form of Put Notice as set out in Exhibit 3 to this Agreement shall replace the Form of Put Notice as set out in Schedule 10 of the Original Agreement.

All other provisions in the Original Agreement shall remain in full force and effect.
For the avoidance of doubt, the Original Agreement shall continue in full force and effect for the existing Notes issued on or after March 15, 2012 but prior to the date of this Agreement and this Agreement shall not affect such Notes. Any Notes issued on or after the date of this Agreement shall be issued pursuant to the Original Agreement as supplemented by this Agreement.

3.
Governing Law and Jurisdiction

This Agreement shall be governed by and construed in accordance with the laws of the State of New York without regard to principles of conflicts of laws.
The Issuer and the Agents each hereby irrevocably submit to the non-exclusive jurisdiction of any United States federal court sitting in the Borough of Manhattan, New York City, solely for the purpose of any legal action or proceeding brought to enforce its obligations hereunder. As long as any Note or Coupon remains outstanding, the Issuer and the Registrar shall have either an authorized agent or maintain an office in New York City upon whom process may be served in any such legal action or proceeding. Service of process upon the Issuer or the Registrar at its office or upon its agent with written notice of such service mailed or delivered to the Issuer or the Registrar, respectively, shall to the fullest extent permitted by applicable law be deemed in every respect effective service of process upon the Issuer or the Registrar, respectively in any such legal action or proceeding. Each of the Issuer and the Registrar hereby continues the appointment of CT Corporation System, presently situated at 111 Eighth Avenue, 13th Floor, New York, New York 10011, U.S.A., as its agent for such purposes and covenants and agrees that service of process in any legal action or proceeding may be made upon it at its office, or upon its agent if any such agent is appointed, in New York City.
4.
Counterparts

This Agreement may be executed in any number of counterparts, each of which shall be deemed an original. Any party may enter into this Agreement by signing any such counterpart.

3



IN WITNESS WHEREOF, the parties hereto have caused this Agreement to be executed in their respective corporate names by their respective officers thereunto duly authorized as of the date and year first above written.
BANK OF AMERICA CORPORATION
as Issuer
 
By:/s/ ANGELA C. JONES
Name: Angela C. Jones
Title: Senior Vice President
 
BANK OF AMERICA, N.A.
as Principal Agent
 
By:/s/ D. WYREBKIEWICZ
Name: D. Wyrebkiewicz
Title: Authorised Signatory
 
By: /s/ MICHAEL LEONG
Name: Michael Leong
Title: Authorised Signatory
 
MERRILL LYNCH INTERNATIONAL BANK LIMITED
as Transfer Agent and Registrar
 
By:/s/ SHEILA MCGOWAN
Name: Sheila McGowan
Title: Authorised Signatory
 
By: /s/ DAVID MOONEY
Name: David Mooney
Title: Officer



4



EXHIBIT 1
TERMS AND CONDITIONS OF THE NOTES
The following are the Terms and Conditions of the Notes which will include the additional terms and conditions contained in Annex 1 in the case of Index Linked Notes (the "Index Linked Conditions"), the additional terms and conditions contained in Annex 2 in the case of Share Linked Notes (the "Share Linked Conditions"), the additional terms and conditions contained in Annex 3 in the case of GDR/ADR Linked Notes (the "GDR/ADR Linked Conditions"), the additional terms and conditions contained in Annex 4 in the case of FX Linked Notes (the "FX Linked Conditions"), the additional terms and conditions contained in Annex 5 in the case of Commodity Linked Notes (the "Commodity Linked Conditions"), the additional terms and conditions contained in Annex 6 in the case of Fund Linked Notes (the "Fund Linked Conditions"), the additional terms and conditions contained in Annex 7 in the case of Inflation Linked Notes (the "Inflation Linked Conditions"), and the additional terms and conditions contained in Annex 8 in the case of Physical Delivery Notes (the "Physical Delivery Conditions") or any other Annex (each, an "Annex", and together the "Annexes") which may be added from time to time in the case of any Notes linked to any other Underlying Asset(s) (the Terms and Conditions of the Notes as supplemented or amended by the Index Linked Conditions, Share Linked Conditions, GDR/ADR Linked Conditions, FX Linked Conditions, Commodity Linked Conditions, Fund Linked Conditions, Inflation Linked Conditions, and/or Physical Delivery Conditions are together referred to as the "Terms and Conditions" or the "Conditions" and each, a "Condition"). The Terms and Conditions are incorporated by reference into each Global Note (as defined below) and will be attached to or endorsed upon each Definitive Note (as defined below), if any are issued. The applicable Final Terms in relation to any Tranche of Notes (as defined below) may specify other terms and conditions, which shall to the extent so specified or to the extent inconsistent with the following Terms and Conditions, replace or modify the following Terms and Conditions for the purpose of such Tranche of Notes. The applicable Final Terms will be endorsed on, incorporated by reference into, or attached to, each Global Note and Definitive Note. Reference should be made to "Form of the Notes" above for a description of the content of Final Terms, which includes the definition of certain terms used in the following Terms and Conditions. The applicable Final Terms in relation to any Tranche of Notes contains additional terms and conditions which will complete the Notes and is deemed to be incorporated by reference into such Notes.
This Note is one of a series of Notes issued by Bank of America Corporation (the "Issuer"), pursuant to the Amended and Restated Agency Agreement dated as of July 22, 2010, as amended, restated and/or supplemented from time to time (the "Agency Agreement"), by and among the Issuer, Bank of America, N.A. (operating through its London Branch), as principal agent (the "Principal Agent") and Merrill Lynch International Bank Limited as registrar (the "Registrar") and transfer agent (the "Transfer Agent"), which terms shall include any successor agents. Any other paying agents named pursuant to the Agency Agreement shall be referred to herein, together with the Principal Agent, as the "Paying Agents" (which term shall include any additional or successor paying agents) and any other transfer agents named pursuant to the Agency Agreement shall be referred to herein, together with the Transfer Agent, as the "Transfer Agents" (which term shall include any additional or successor transfer agents). References herein to the "Notes" shall be references to Notes of this Series (as defined below) and shall mean (1) in relation to any Notes represented by a Bearer Global Note or a Registered Global Certificate, units of the lowest denomination of such Notes (the "Specified Denomination") payable in one or more currencies (each, a "Specified Currency"), (2) Definitive Notes, if any, issued in exchange for a Global Note, and (3) any Global Note. The Notes, the Receipts (as defined below), and the Coupons (as defined below) have the benefit of the Agency Agreement. Each Note will be the obligation of the Issuer only and will not be an obligation of, or guaranteed by, any subsidiaries or affiliates of the Issuer.

LN2-9694
 
5
 
 




Unless otherwise agreed by the Issuer and the relevant dealers (each, a "Dealer" and together, the "Dealers"), and specified in the applicable Final Terms, each tranche of Notes ("Tranche of Notes") in bearer form will initially be represented by a temporary global note in bearer form (each, a "Bearer Temporary Global Note") exchangeable as provided in such Note and the Agency Agreement for beneficial interests in a permanent global note in bearer form (each, a "Bearer Permanent Global Note") without interest coupons, substantially in the forms of Schedule 1 and Schedule 2 to the Agency Agreement, respectively. The Bearer Temporary Global Note and the Bearer Permanent Global Note are together referred to as the "Bearer Global Notes" and each, a "Bearer Global Note".
Unless otherwise agreed by the Issuer and the relevant Dealers, and specified in the applicable Final Terms, each Tranche of Notes in registered form will initially be represented by a registered certificate in global form (a "Registered Global Certificate") or by a registered certificate in definitive form (a "Registered Definitive Certificate") substantially in the forms of Schedule 4 and Schedule 5 to the Agency Agreement, respectively, one Registered Certificate being issued in respect of each Noteholder's entire holding of Registered Notes of one Series (as defined herein). Each Note represented by a Registered Global Certificate is referred to as a "Registered Global Note" and each Note represented by a Registered Definitive Certificate is referred to as a "Registered Definitive Note". Bearer Global Notes and Registered Global Notes are together referred to as the "Global Notes" and each, a "Global Note". Bearer Definitive Notes (as defined below) and Registered Definitive Notes are together referred to as the "Definitive Notes" and each, a "Definitive Note". Registered Global Certificates and Registered Definitive Certificates are together referred to as the "Registered Certificates" and each, a "Registered Certificate".
Interests in a Bearer Permanent Global Note may be exchanged, free of charge to Noteholders, for definitive notes in bearer form ("Bearer Definitive Notes") in the Specified Denominations indicated in the applicable Final Terms with interest coupons attached (the "Coupons") substantially in the form of Schedule 3 to the Agency Agreement, and, if indicated in the applicable Final Terms, talons for further Coupons ("Talons") attached substantially in the form of Schedule 3 to the Agency Agreement on issue only as described below. Any reference herein to Coupons or coupons, unless the context otherwise requires, shall be deemed to include a reference to Talons or talons. Bearer Definitive Notes repayable in installments have receipts ("Receipts") for the payment of the installments of principal (other than the final installment) attached on issue. Any reference herein to "Noteholders" shall mean the holders of the Notes, and, in relation to any Notes represented by a Global Note, shall be construed as provided below. Any reference herein to "Receiptholders" shall mean the holders of the Receipts and any reference herein to "Couponholders" shall mean the holders of the Coupons, and, unless the context otherwise requires, shall include the holders of the Talons.
Except as otherwise provided in the applicable Final Terms, interests in a Bearer Temporary Global Note or a Bearer Permanent Global Note will be exchangeable as provided in such Note and the Agency Agreement for Bearer Definitive Notes (1) as to Bearer Permanent Global Notes, on not less than 60 calendar days' written notice from Euroclear Bank S.A./N.V. ("Euroclear") and/or Clearstream Banking, société anonyme ("Clearstream, Luxembourg") or any other clearing system located outside the United States and its possessions, specified by the Issuer and the Dealers (each, an "Alternative Clearing System" and each of Euroclear, Clearstream, Luxembourg and any Alternative Clearing System being a "Relevant Clearing System") (acting on the instructions of any holder of an interest in the Bearer Permanent Global Note), (2) if an Event of Default (as defined herein) occurs and is continuing, (3) if the Issuer is notified that a Relevant Clearing System has been closed for business for a continuous period of 14 calendar days (other than by reason of holiday, statutory, or otherwise) after the original issuance of the Notes or has announced an intention permanently to cease business or has in fact done so and no Alternative Clearing System approved by the Noteholders is available, or (4) if the Issuer, after notice to

LN2-9694
 
6
 
 




the Principal Agent, determines to issue the Bearer Notes in definitive form. Any exchange of all or a part of an interest in a Bearer Temporary Global Note or a Bearer Permanent Global Note for Bearer Definitive Notes shall be made only outside the United States and its possessions. Except as otherwise provided in the applicable Final Terms, interests in a Registered Global Note will be exchangeable for Registered Definitive Notes (1) if an Event of Default (as defined herein) occurs and is continuing, (2) if the Issuer is notified that a Relevant Clearing System has been closed for business for a continuous period of 14 calendar days (other than by reason of holiday, statutory, or otherwise) after the original issuance of the Notes or has announced an intention permanently to cease business or has in fact done so and no Alternative Clearing System approved by the Noteholders is available, or (3) if the Issuer, after notice to the Principal Agent, determines to issue the Registered Notes in definitive form. Each such exchange shall occur in whole, but not in part, for Bearer Definitive Notes or Registered Definitive Notes, as applicable, in the applicable Specified Denomination, representing the full principal amount of the applicable Global Note.
The Final Terms for the Notes are attached hereto or endorsed hereon and supplement these Terms and Conditions and may specify other terms and conditions which, to the extent so specified or to the extent inconsistent with these Terms and Conditions, shall replace or modify these Terms and Conditions for purposes of the Notes. References herein to the "applicable Final Terms" are to the relevant Final Terms attached hereto or endorsed hereon.
As used herein, "Series" means a Tranche of Notes, together with any further Tranche or Tranches of Notes, which are (1) expressly to be consolidated and form a single series and (2) identical in all respects (including as to listing) except for the date on which such Notes will be issued (the "Issue Date"), for interest-bearing Notes, the date from which such Notes bear interest (the "Interest Commencement Date"), which will be the Issue Date unless otherwise specified in the applicable Final Terms, and the price (expressed as a percentage of the principal amount of the Notes) at which such Notes will be issued (the "Issue Price"). The expressions "Notes of the relevant Series" and "holders of Notes of the relevant Series" and related expressions shall be construed accordingly. As used herein, "Tranche" means Notes (whether in bearer global form, registered global form, bearer definitive form, or registered definitive form) which are identical in all respects (including as to listing).
Copies of the Amended and Restated Program Agreement, dated as of July 25, 2008 among the Issuer and the Dealers named or to be appointed thereunder (as amended, restated and/or supplemented from time to time, the "Program Agreement"), and the Final Terms applicable to the Notes are available for inspection without charge at, and copies may be obtained from, the specified offices of each of the Principal Agent and each Paying Agent, the Registrar and each Transfer Agent, except that the applicable Final Terms relating to an unlisted Note only will be available for inspection by a Noteholder upon proof satisfactory to the relevant Paying Agent as to ownership of the Note. The Noteholders, the Receiptholders, and the Couponholders are deemed to have notice of, and are entitled to the benefit of, all the provisions of the Agency Agreement and the applicable Final Terms, which are binding on them.
The applicable Final Terms will specify whether settlement shall be by way of cash payment ("Cash Settlement") or by physical delivery ("Physical Settlement"). Notes to which Cash Settlement applies are "Cash Settled Notes" and Notes to which Physical Settlement applies are "Physical Delivery Notes". Any reference in these Conditions to Physical Delivery Notes shall mean Notes in respect of which a number of underlying shares, bonds, securities, commodities, depository receipts, or such other assets as may be specified in the applicable Final Terms (the "Relevant Asset(s)") plus or minus any amount due to or from the Noteholder in respect of each Note (the "Entitlement") is deliverable and/or payable by reference to one or more Relevant Assets as the Issuer and the relevant Dealer(s) may agree and as set out in the applicable Final Terms. In respect of Physical Delivery Notes, the Issuer will enter into one or more

LN2-9694
 
7
 
 




delivery agency agreements (each, a "Delivery Agency Agreement") with one or more delivery agents (each, a "Delivery Agent"). The calculation agent in respect of the Notes (the "Calculation Agent") and the Delivery Agent in respect of the Notes (if applicable) will be specified in the applicable Final Terms.
If Averaging is specified as applicable in the applicable Final Terms, the applicable Final Terms will state the relevant Averaging Dates and, if an Averaging Date is a Disrupted Day, whether Omission, Postponement, or Modified Postponement (each as defined in the relevant Annex) applies.
References in these Conditions, unless the context otherwise requires, to Cash Settled Notes shall be deemed to include references to Physical Delivery Notes which include the Issuer's option (as set out in the applicable Final Terms) to elect cash settlement upon redemption of such Notes pursuant to Physical Delivery Condition 4 and where settlement upon redemption is to be by way of cash payment. References in these Conditions, unless the context otherwise requires, to Physical Delivery Notes shall be deemed to include references to Cash Settled Notes which include the Issuer's option (as set out in the applicable Final Terms) to elect physical delivery of the Entitlement in settlement upon redemption of such Notes pursuant to Physical Delivery Condition 4 and where settlement upon redemption is to be by way of physical delivery.
Words and expressions defined in the Agency Agreement or used in the applicable Final Terms shall have the same meanings where used in these Terms and Conditions unless the context otherwise requires or unless otherwise stated.
1.
Form, Denomination, and Title

The Notes are issued in bearer form ("Bearer Notes") or in registered form ("Registered Notes"), in each case as set forth in the applicable Final Terms. Bearer Definitive Notes and Registered Definitive Notes, if any, are serially numbered, in the Specified Currency and the Specified Denominations as indicated in the applicable Final Terms.
This Note may be a Note bearing interest on a fixed-rate basis (a "Fixed-Rate Note"), a Note bearing interest on a floating-rate basis (a "Floating-Rate Note"), a Note issued on a non-interest-bearing basis and offered and sold at a discount (other than a de minimis discount) to its principal amount or at par and to which the Zero Coupon Note provisions are expressed to be applicable (a "Zero Coupon Note"), a Note issued on the basis of interest linked to an underlying reference asset or a basket of assets (each, an "Underlying Asset") such as an index or a basket of indices (an "Index Linked Interest Note"), a share or a basket of shares (a "Share Linked Interest Note"), a consumer price index or a basket of consumer price indices (an "Inflation Linked Interest Note"), a commodity or a basket of commodities (a "Commodity Linked Interest Note"), the rate or rates of exchange of a single currency or a basket of currencies (an "FX Linked Interest Note"), a single fund or a basket of funds (a "Fund Linked Interest Note"), a single GDR or ADR or a basket of GDRs and/or ADRs (a "GDR/ADR Linked Interest Note"), one or more other Underlying Asset(s) (an "other Underlying Asset(s) Interest Note"), a Note upon which payment of principal or interest may be in more than one currency (a "Dual Currency Note"), or a combination of any of the foregoing (a "Hybrid Interest Note"), depending upon the Interest Basis specified in the applicable Final Terms. It also may be a Note issued on a partly paid basis (a "Partly Paid Note"), a Note upon which payments are based on an amortization table (the "Amortization Table") (an "Amortizing Note"), a Note which is redeemable in installments (an "Installment Note"), or a Note upon which payment of principal or any other amounts payable (other than interest) is determined by reference, either directly or indirectly, to the price or performance of one index or a basket of indices (an "Index Linked Redemption Note", together with Index Linked Interest Notes, "Index Linked Notes"), a share or a basket of shares (a "Share Linked Redemption Note", together with Share Linked Interest Notes,

LN2-9694
 
8
 
 




"Share Linked Notes"), a consumer price index or a basket of consumer price indices (an "Inflation Linked Redemption Note", together with Inflation Linked Interest Notes, "Inflation Linked Notes"), a commodity or a basket of commodities (a "Commodity Linked Redemption Note", together with Commodity Linked Interest Notes, "Commodity Linked Notes"), the rate or rates of exchange of a single currency or a basket of currencies (an "FX Linked Redemption Note", together with FX Linked Interest Notes, "FX Linked Notes"), a single fund or a basket of funds (a "Fund Linked Redemption Note", together with Fund Linked Interest Notes, "Fund Linked Notes"), a single GDR or ADR or a basket of GDRs and/or ADRs (a "GDR/ADR Linked Redemption Note", together with GDR/ADR Linked Interest Notes, "GDR/ADR Linked Notes"), or to such other Underlying Asset(s) (an "other Underlying Asset(s) Redemption Note", together with other Underlying Asset(s) Interest Notes, "Notes Linked to other Underlying Asset(s)") or to a combination of any of the foregoing (a "Hybrid Redemption Note", together with Hybrid Interest Notes, "Hybrid Notes"), depending upon the Redemption/Payment Basis as specified in the applicable Final Terms. In respect of Index Linked Notes, these Terms and Conditions and the Index Linked Conditions as specified in the applicable Final Terms will be applicable. In respect of Share Linked Notes, these Terms and Conditions and the Share Linked Conditions as specified in the applicable Final Terms will be applicable. In respect of Inflation Linked Notes, these Terms and Conditions and the Inflation Linked Conditions as specified in the applicable Final Terms will be applicable. In respect of Commodity Linked Notes, these Terms and Conditions and the Commodity Linked Conditions as specified in the applicable Final Terms will be applicable. In respect of FX Linked Notes, these Terms and Conditions and the FX Linked Conditions as specified in the applicable Final Terms will be applicable. In respect of Fund Linked Notes, these Terms and Conditions and the Fund Linked Conditions as specified in the applicable Final Terms will be applicable. In respect of GDR/ADR Linked Notes, these Terms and Conditions and the GDR/ADR Linked Conditions as specified in the applicable Final Terms will be applicable.
With respect to credit-linked Indexed Notes, unless otherwise specified in the applicable Final Terms, the definitions and provisions in the 2003 ISDA Credit Derivatives Definitions, as published by the International Swaps and Derivatives Association, Inc. ("ISDA"), and as amended, updated, or replaced as at the Issue Date of the first Tranche of the Notes of the relevant Series, are incorporated into these Terms and Conditions. A "Credit-linked Indexed Note" is a Note for which principal, premium, if any, interest, or any other amounts payable may be based on the change in value of one or more debt obligations, a spread on indices of similar debt obligations, a swap or embedded swap with payments on one side mirroring a basket of debt obligations, or any other similar reference asset or basket of debt obligations, if one or more of certain events relating to the creditworthiness of the issuer or issuers (which do not include the Issuer) of such debt obligations occurs before the scheduled Maturity Date.
This Note is either a Senior Note (as defined herein) or a Subordinated Note (as defined herein), as specified in the applicable Final Terms.
Bearer Definitive Notes are serially numbered and may be issued with Coupons (and, where appropriate, Talons) attached, save in the case of Zero Coupon Notes in which case references to interest (other than in relation to interest due after the Maturity Date), Coupons and Couponholders in these Conditions are not applicable. Installment Notes in bearer form are issued with one or more Receipts attached.

LN2-9694
 
9
 
 




Subject as set forth below, title to the Bearer Notes, Receipts, and Coupons will pass by delivery. Title to the Registered Notes shall pass by registration in the register that the Issuer shall procure to be kept by the Registrar in accordance with the provisions of the Agency Agreement (the "Register"). The Issuer and any Paying Agent may (except as otherwise required by law) deem and treat the bearer of any Bearer Note, Receipt, or Coupon as the absolute owner thereof (whether or not overdue and notwithstanding any notice of ownership or writing thereon or notice of any previous loss or theft thereof) for all purposes but, in the case of any Bearer Global Note, without prejudice to the provisions set out in the next paragraph.
So long as any of the Notes are represented by a Bearer Global Note or a Registered Global Certificate held on behalf of the Relevant Clearing System, each person who is shown in the records of the Relevant Clearing System as the holder of a particular nominal amount of such Notes (any certificate or other document issued by the Relevant Clearing System as to the nominal amount of Notes standing on the account of any person shall be conclusive and binding for all purposes, except in the case of manifest error) shall be treated by the Issuer, the Principal Agent, the Registrar, the Transfer Agent, and any other Paying Agent as the holder of such nominal amount of such Notes for all purposes, except with respect to the payment of principal, premium, if any, interest, or any other amounts payable on, or deliveries in respect of, the Notes, the bearer of the relevant Bearer Global Note or, in the case of a Registered Global Note, the person or persons for the time being shown in the Register as at the Record Date maintained by the Registrar as the Noteholder or Noteholders, shall be treated by the Issuer, the Principal Agent, and any Paying Agent as the holder of such Notes in accordance with and subject to the terms of the relevant Global Note (and the expressions "Noteholder" and "holder of Notes" and related expressions shall be construed accordingly). Interests in Notes which are represented by a Bearer Global Note or a Registered Global Certificate will be transferable only in accordance with the rules and procedures for the time being of the Relevant Clearing System.
The Issuer will issue Notes in the Specified Denomination(s) set forth in the applicable Final Terms. However, the minimum denomination permitted for each Note will be such denomination as may be allowed or required by the relevant central bank (or equivalent body) or any laws or regulations applicable to the Specified Currency.
Unless permitted by then current laws and regulations, any Notes (including Notes denominated in Sterling) for which the proceeds are to be accepted by the Issuer in the United Kingdom and which have a maturity of less than one year from their date of issue shall (a) be issued to a limited class of professional investors, (b) have a redemption value of not less than £100,000 (or an amount of equivalent value denominated wholly or partly in a currency other than Sterling), and (c) provide that no part of any such Notes may be transferred unless the redemption value of that part is not less than £100,000 (or an equivalent amount in other currencies).
2.
Exchange and Transfers of Notes

(a)
Exchange of Notes
Registered Notes may not be exchanged for Bearer Notes, and Bearer Notes may not be exchanged for Registered Notes. Bearer Notes of one Specified Denomination may not be exchanged for Bearer Notes of another Specified Denomination.
In the case of an exchange of a Registered Global Certificate for one or more Registered Definitive Certificates, the Registrar will reflect any such exchange on the Register and one or more new Registered Definitive Certificates will be issued to the designated transferee or transferees.

LN2-9694
 
10
 
 




(b)
Transfer of Registered Notes
Registered Notes may be transferred upon the surrender (at the specified office of the Registrar or the Transfer Agent) of the Registered Certificate representing such Registered Notes to be transferred together with the form of transfer endorsed on such Registered Certificate duly completed and executed by the person shown as the registered holder on the Register, or its attorney duly authorized in writing, and such other evidence as the Registrar or the Transfer Agent may reasonably require. The Registrar will reflect any such transfer on the Register in respect of the holding being transferred. In the case of the transfer of all of a holding of Registered Notes represented by one Registered Certificate, the Registrar will cancel the Registered Certificate surrendered by the transferor, and one new Registered Certificate will be issued to the designated transferee (following the transferee's surrender of any existing Registered Certificate in respect of Notes of that Series). In the case of a transfer of part only of a holding of Registered Notes represented by one Registered Definitive Certificate, a new Registered Definitive Certificate will be issued to the designated transferee (following the transferee's surrender of any existing Registered Certificate in respect of Notes of that Series) and a further new Registered Definitive Certificate in respect of the balance of the holding not transferred shall be issued to the transferor. No beneficial owner of an interest in a Registered Global Note will be able to transfer such interest, except in accordance with the applicable procedures of the Relevant Clearing System.
(c)
Exercise of Options or Partial Redemption in Respect of Registered Notes
In the case of an exercise of the Issuer's or a Noteholder's option in respect of, or a partial redemption of, a holding of Registered Notes represented by Registered Global Certificate, the Registrar shall make such entries in the Register to reflect the exercise of such option or in respect of the balance of the holding not redeemed.
In the case of an exercise of the Issuer's or a Noteholder's option in respect of, or a partial redemption of, a holding of Registered Notes represented by a single Registered Definitive Certificate, a new Registered Definitive Certificate shall be issued to the Noteholder to reflect the exercise of such option or in respect of the balance of the holding not redeemed. In the case of a partial exercise of an option resulting in Registered Notes of the same holding having different terms, separate Registered Definitive Certificates shall be issued in respect of those Notes of that holding that have the same terms. New Registered Definitive Certificates shall only be issued against surrender of the existing certificates to the Registrar or the Transfer Agent. In the case of a transfer of Registered Definitive Notes to a person who is already a holder of Registered Notes, a new Registered Definitive Certificate representing the enlarged holding shall only be issued against surrender of the Registered Definitive Certificate representing the existing holding.

LN2-9694
 
11
 
 




(d)
Delivery of New Certificates
Each Registered Certificate to be issued pursuant to Condition 2(b) or (c) shall be available for delivery within three business days after receipt of the request for exchange, form of transfer or Put Notice (as defined herein) or surrender of the Registered Certificate for exchange, as applicable. Delivery of the new Registered Certificate shall be made at the specified office of the Transfer Agent or of the Registrar (as the case may be) to whom delivery or surrender of such request for exchange, form of transfer, Put Notice or Registered Certificate shall have been made or, at the option of the Noteholder making such delivery or surrender as aforesaid and as specified in the relevant request for exchange, form of transfer, Put Notice or otherwise in writing, be mailed by uninsured mail at the risk of the Noteholder entitled to the new Registered Certificate to such address as may be so specified, unless such Noteholder requests otherwise and pays in advance to the Transfer Agent or Registrar the costs of such other method of delivery and/or such insurance as it may specify. In this Condition 2(d), "business day" means a day, other than a Saturday or Sunday, on which banks are open for business in the location of the specified office of the Registrar or the relevant Transfer Agent (as the case may be).
(e)
Exchange or Transfer Free of Charge
Exchange and transfer of Registered Notes on registration, transfer, partial redemption, or exercise of an option shall be effected without charge by or on behalf of the Issuer, the Registrar, or the Transfer Agent, but upon payment by the Noteholder of any tax or other governmental charges that may be imposed in relation to it (or the giving of such indemnity as the Registrar or the Transfer Agent may require).
(f)
Closed Periods
No Noteholder may require the transfer of a Registered Note to be registered (i) during the period commencing on the Record Date and ending on the due date for redemption of, or payment of any installment amount, or amount of interest, in respect of, that Note, (ii) during the period commencing on the Record Date and ending on the date on which Notes may be called for redemption by the Issuer at its option pursuant to Condition 6(d), (iii) after any such Note has been called for redemption, (iv) during the period commencing on the Record Date and ending on the date fixed for any meeting of Noteholders, or any adjourned meeting of Noteholders, or (v) during the period of seven calendar days ending on (and including) any Record Date.
"Record Date" means (i) in respect of any Registered Notes represented by Registered Definitive Certificates, the close of business (London time) on the 15th calendar day and (ii) in respect of any Registered Notes represented by a Registered Global Certificate, the close of business on the Relevant Clearing System Business Day, in each case, prior to the applicable due date for redemption of a Registered Note, or the payment of any installment amount or amount of interest in respect of a Registered Note, or the date fixed for any meeting, or adjourned meeting, of holders of Registered Notes, where "Relevant Clearing System Business Day" means a day on which the Relevant Clearing System is open for business.
3.
Status of the Senior Notes and the Subordinated Notes

The Notes may be issued in one or more Series as unsecured debt securities, which may be either senior notes ("Senior Notes") or subordinated notes ("Subordinated Notes"). The Notes are not deposits and are not insured by the U.S. Federal Deposit Insurance Corporation (the "FDIC").

LN2-9694
 
12
 
 




Under the Program, there is no limitation on the Issuer's ability to issue additional Senior Indebtedness (as defined below) or Subordinated Notes.
(a)
Status of Senior Notes
The Senior Notes will be unsecured and unsubordinated obligations of the Issuer and will rank equally with all other unsubordinated and unsecured indebtedness of the Issuer. The Subordinated Notes are unsecured and subordinate and subject in right of payment to the prior payment in full of all Senior Indebtedness of the Issuer.
"Senior Indebtedness" is defined as any indebtedness for money borrowed (including all indebtedness of the Issuer for borrowed and purchased money of the Issuer, all obligations arising from off-balance sheet guarantees by the Issuer and direct credit substitutes and obligations of the Issuer associated with derivative products such as interest and foreign exchange rate contracts and commodity contracts) that is outstanding on the date of execution of the Agency Agreement, or is thereafter created, incurred, or assumed, for which the Issuer is at the time of determination responsible or liable as obligor, guarantor, or otherwise for payment, and all deferrals, renewals, extensions, and refundings of any such indebtedness or obligations, other than the Subordinated Notes or any other indebtedness as to which the instrument creating or evidencing the same or pursuant to which the same is outstanding, provides that such indebtedness is subordinate in right of payment to any other indebtedness of the Issuer.
(b)
Status of Subordinated Notes
The indebtedness evidenced by the Subordinated Notes and any Coupons and Receipts appertaining thereto, subject to the extent set forth herein, shall be subordinated in right of payment to the prior payment in full of all the Issuer's Senior Indebtedness. Senior Indebtedness shall continue to be Senior Indebtedness and shall be entitled to the benefits of such subordination irrespective of any amendment, modification, or waiver of any term of the Senior Indebtedness. There is no right of acceleration in the case of a default in the payment of interest on the Subordinated Notes or in the performance of any other obligation of the Issuer under the Subordinated Notes.
The Issuer shall not make any payment on account of principal of, premium, if any, interest, or any other amounts payable on, or deliveries in respect of, its Subordinated Notes or purchase any of its Subordinated Notes, either directly or indirectly, if (i) any default or Event of Default with respect to any of its Senior Indebtedness shall have occurred and be continuing and (ii) it shall have received written notice thereof from the holders of at least 10.00 per cent. in principal amount of any kind or category of any of its Senior Indebtedness (or the representative or representatives of such holders).
Until all of the Issuer's Senior Indebtedness is paid in full, the holders of the Subordinated Notes will be subrogated (equally and ratably with the holders of all of the Issuer's indebtedness which, by its express terms, ranks equally with its Subordinated Notes, and is entitled to like rights of subrogation) to the rights of the holders of the Issuer's Senior Indebtedness to receive payments or distributions of its assets.
If the Issuer repays any of its Subordinated Notes before the required date or in connection with a distribution of its assets to creditors pursuant to a dissolution, winding up, liquidation, or reorganization, any principal, premium, if any, interest, or any other amounts payable or deliveries due will be paid or delivered to the holders of the Issuer's Senior Indebtedness before any holders of its Subordinated Notes are paid. In addition, if such amounts were previously paid to the holders of the Subordinated Notes, the holders of its Senior Indebtedness shall have first rights to such amounts previously paid.

LN2-9694
 
13
 
 




No modification or amendment of the subordination provisions of Subordinated Notes and any related coupons in a manner adverse to the holders of Senior Indebtedness may be made without the consent of the holders of all of the Issuer's outstanding Senior Indebtedness.
4.
Interest

(a)
Interest on Fixed-Rate Notes
Unless otherwise specified in the applicable Final Terms, each Fixed-Rate Note bears interest on its outstanding nominal amount (or if it is a Partly Paid Note, on the amount paid-up) at the rate or rates per annum specified in the applicable Final Terms from (and including) the Interest Commencement Date to (but excluding) the Maturity Date. Interest will be payable in arrear on the date or dates in each year specified in the applicable Final Terms (each, a "Fixed Interest Payment Date") and on the Maturity Date if it does not fall on a Fixed Interest Payment Date. The first interest payment will, subject to Condition 6 and Condition 10, be made on the first Fixed Interest Payment Date following the Interest Commencement Date.
If any Fixed Interest Payment Date is not a Payment Business Day (as defined in Condition 5(e)), then interest on a Fixed-Rate Note shall be paid as provided in Condition 5(e).
If a "Fixed Coupon Amount" is specified in the applicable Final Terms, the amount of interest payable on each Fixed Interest Payment Date in respect of the Fixed Interest Period (as defined below) ending on (but excluding) such date will be the Fixed Coupon Amount as specified irrespective of any calculation based on the applicable Rate of Interest (as defined in Condition 4(f)) and any applicable Fixed Day Count Fraction (as defined below) (if any) and if the amount of interest payable on any Fixed Interest Payment Date is specified as an amount other than the Fixed Coupon Amount, such amount will be a "Broken Amount" specified in the applicable Final Terms.
As used in these Conditions, "Fixed Interest Period" means the period from, and including, the most recent Fixed Interest Payment Date (or, if none, the Issue Date or, if different from the Issue Date, the Interest Commencement Date) to, but excluding, the next (or first) Fixed Interest Payment Date, unless otherwise specified in the applicable Final Terms.
Unless otherwise specified in the applicable Final Terms, if interest is required to be calculated for a period other than a Fixed Interest Period, that interest shall be calculated by applying the Rate of Interest specified in the applicable Final Terms to each Specified Denomination, multiplying that product by the applicable Fixed Day Count Fraction and rounding the resulting figure to the nearest Sub-unit (as defined below) of the relevant Specified Currency, half of any such Sub-unit being rounded upwards or otherwise in accordance with applicable market convention.
"Fixed Day Count Fraction" means, in respect of the calculation of an amount of interest in accordance with this Condition 4(a):
(i)
if "Actual/Actual (ICMA)" is specified in the applicable Final Terms:

(A)
for Notes where the Accrual Period (as defined below) is equal to or shorter than the Determination Period (as defined below) during which the Accrual Period ends, the number of days in such Accrual Period divided by the product of (1) the number of days in such Determination Period and (2) the number of determination dates ("Determination Dates"), as specified in the applicable Final Terms, that would occur in one calendar year assuming interest were payable in respect of the whole of that year; or

LN2-9694
 
14
 
 




(B)
for Notes where the Accrual Period is longer than the Determination Period during which the Accrual Period ends, the sum of:

(1)
the number of days in such Accrual Period falling in the Determination Period in which the Accrual Period begins divided by the product of (x) the number of days in such Determination Period and (y) the number of Determination Dates, as specified in the applicable Final Terms, that would occur in one calendar year assuming interest were payable in respect of the whole of that year; and

(2)
the number of days in such Accrual Period falling in the next Determination Period divided by the product of
(x)
the number of days in such Determination Period; and
(y)
the number of Determination Dates that would occur in one calendar year assuming interest were payable in respect of the whole of that year; and
(ii)
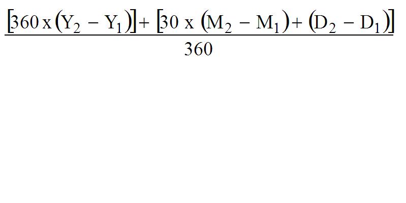
if "30/360" is specified in the applicable Final Terms, the number of days in the Accrual Period divided by 360, calculated on a formula basis as follows:

Day Count Fraction =
where:
"Y1"    is the year, expressed as a number, in which the first day of the Accrual Period falls;
"Y2"    is the year, expressed as a number, in which the day immediately following the last day included in the Accrual Period falls;
"M1"    is the calendar month, expressed as a number, in which the first day of the Accrual Period falls;
"M2"    is the calendar month, expressed as a number, in which the day immediately following the last day included in the Accrual Period falls;
"D1"    is the first calendar day, expressed as a number, of the Accrual Period, unless such number would be 31, in which case D1 will be 30; and
"D2"    is the calendar day, expressed as a number, immediately following the last day included in the Accrual Period, unless such number would be 31 and D1 is greater than 29, in which case D2 will be 30.

LN2-9694
 
15
 
 




"Accrual Period" means the period from (and including) the most recent Fixed Interest Payment Date (or, if none, the Issue Date or, if different from the Issue Date, the Interest Commencement Date) to (but excluding) the relevant Fixed Interest Payment Date.
"Determination Period" means the period from (and including) a Determination Date (as specified in the applicable Final Terms) to (but excluding) the next Determination Date (including, where either the Interest Commencement Date or the final Fixed Interest Payment Date is not a Determination Date, the period commencing on the first Determination Date prior to, and ending on the first Determination Date falling after, such date).
"Sub-unit" means, for euro and U.S. Dollars, one cent and, for any currency other than euro, the lowest amount of that currency that is available as legal tender in the country of that currency.
(b)
Interest on Floating-Rate Notes, Index Linked Interest Notes, Share Linked Interest Notes, GDR/ADR Linked Interest Notes, FX Linked Interest Notes, Commodity Linked Interest Notes, Fund Linked Interest Notes, Inflation Linked Interest Notes, Hybrid Interest Notes, and other Underlying Asset(s) Interest Notes

(i)
Interest Periods and Interest Payment Dates
Each Floating-Rate Note, Index Linked Interest Note, Share Linked Interest Note, GDR/ADR Linked Interest Note, FX Linked Interest Note, Commodity Linked Interest Note, Fund Linked Interest Note, Inflation Linked Interest Note, Hybrid Interest Note, and any other Underlying Asset(s) Interest Note bears interest on its outstanding nominal amount (or, if it is a Partly Paid Note, on the amount paid-up) from (and including) the Interest Commencement Date specified in the applicable Final Terms. Interest will be payable in arrear on the "Interest Payment Date(s)", which shall mean either:
(A)
the specified Interest Payment Dates in each year specified in the applicable Final Terms; or

(B)
if no dates for the payment of interest are specified in the applicable Final Terms, each date which falls the number of months or other period specified in the applicable Final Terms after the preceding Interest Payment Date, or in the case of the first Interest Payment Date, after the Interest Commencement Date.
Interest will be payable in respect of each "Interest Period" (which expression shall mean, in these Terms and Conditions, the period from (and including) an Interest Payment Date (or the Interest Commencement Date) to (but excluding) the next Interest Payment Date, or the first Interest Payment Date, as the case may be).
If "Unadjusted" is specified in the applicable Final Terms with respect to any Interest Payment Date, if such Interest Payment Date is not a Payment Business Day (as defined in Condition 5(e)), then such Interest Payment Date will not be adjusted in accordance with any Business Day Convention (and, consequently, the relevant Interest Period will not be adjusted) and interest on a Floating-Rate Note, Index Linked Interest Note, Share Linked Interest Note, GDR/ADR Linked Interest Note, FX Linked Interest Note, Commodity Linked Interest Note, Fund Linked Interest Note, Inflation Linked Interest Note, Hybrid Interest Note, and any other Underlying Asset(s) Interest Note (as applicable) shall be paid as provided in Condition 5(e).

LN2-9694
 
16
 
 




If (i) there is no numerically corresponding day in the calendar month during which an Interest Payment Date should occur or (ii) "Adjusted" is specified in the applicable Final Terms with respect to any Interest Payment Date and such Interest Payment Date falls on a day which is not a Business Day, the applicable Interest Payment Date will be adjusted in accordance with the business day convention (each a "Business Day Convention") specified in the applicable Final Terms. If the Business Day Convention specified is:
(1)
the "Floating Rate Convention", such Interest Payment Date (or other date) shall be postponed to the next day which is a Business Day. If postponement would cause such date to fall in the next calendar month, then (aa) such date shall be brought forward to the immediately preceding Business Day and (bb) each subsequent Interest Payment Date (or other date) shall be the last Business Day in the month which falls the number of months or other period specified as the Interest Period in the applicable Final Terms after the preceding applicable Interest Payment Date (or other date) occurred; or
(2)
the "Following Business Day Convention", such Interest Payment Date (or other date) shall be postponed to the next day which is a Business Day; or
(3)
the "Modified Following Business Day Convention", such Interest Payment Date (or other date) shall be postponed to the next day which is a Business Day, unless that date would fall in the next calendar month, in which event such Interest Payment Date (or other such date) shall be brought forward to the immediately preceding Business Day; or
(4)
the "Preceding Business Day Convention", such Interest Payment Date (or other date) shall be brought forward to the immediately preceding Business Day.
"Business Day" means a day which is both:
(A)
a day (other than a Saturday or Sunday) on which commercial banks and foreign exchange markets settle payments and are open for general business (including dealing in foreign exchange and foreign currency deposits) in London and New York City and any additional business centers specified in the applicable Final Terms (each, an "Additional Business Center"); and

(B)
(1) for any sum payable in a Specified Currency other than euro or CNY, a day on which commercial banks and foreign exchange markets settle payments and are open for general business (including dealing in foreign exchange and foreign currency deposits) in the principal financial center(s) (the "Principal Financial Center(s)") of the country of the relevant Specified Currency (if other than London), (2) for any sum payable in euro, a day on which the Trans-European Automated Real-Time Gross Settlement Express Transfer (TARGET2) System or any successor thereto is operating or (3) for any sum payable in CNY, unless otherwise specified in the applicable Final Terms, a day on which commercial banks and foreign exchange markets settle payments and are open for general business (including dealing in foreign exchange and foreign currency deposits) in the CNY Currency Settlement Center.


LN2-9694
 
17
 
 




Unless otherwise provided in the applicable Final Terms, the Principal Financial Center of any Specified Currency for the purpose of these Terms and Conditions shall be the relevant financial center (if any) specified for the relevant Specified Currency in section 1.5 or section 1.6 of the ISDA Definitions, except that the Principal Financial Centers for Australian Dollars shall be Melbourne and Sydney, the Principal Financial Center for Canadian Dollars shall be Toronto, and the Principal Financial Center for New Zealand Dollars shall be Wellington.
The term "ISDA Definitions" means the 2006 ISDA Definitions (as published by ISDA) and as amended, updated, or replaced as at the Issue Date of the first Tranche of the Notes of the relevant Series.
(i)
Rate of Interest on Floating-Rate Notes
The Rate of Interest payable on Floating-Rate Notes will be set forth in the applicable Final Terms.
(C)
ISDA Determination for Floating-Rate Notes
Where ISDA Determination is specified in the applicable Final Terms as the manner in which the Rate of Interest is to be determined, the Rate of Interest for each Interest Period will be the relevant ISDA Rate plus or minus (as indicated in the applicable Final Terms) the margin (the "Margin"), if any. For purposes of this sub-paragraph (A), the "ISDA Rate" for an Interest Period means a rate determined by the Principal Agent or such other person specified in the applicable Final Terms that is equal to the Floating Rate under an interest rate swap transaction if the Principal Agent or such other person were acting as Calculation Agent for that swap transaction under the terms of an agreement incorporating the ISDA Definitions and under which:
(1)
the Floating Rate Option is as specified in the applicable Final Terms;

(2)
the relevant Interest Commencement Date is the Effective Date;

(3)
the Designated Maturity is a period specified in the applicable Final Terms;

(4)
the relevant Reset Date is either (aa) the first day of that Interest Period, if the applicable Floating Rate Option is based on the London interbank offered rate ("LIBOR") or the Euro-Zone interbank offered rate ("EURIBOR") for a currency, or (bb) in any other case, as specified in the applicable Final Terms; and

(5)
all other terms are as specified in the applicable Final Terms.

For purposes of this sub-paragraph (A), "Euro-Zone" has the meaning set forth below and "Floating Rate", "Calculation Agent", "Floating Rate Option", "Effective Date", "Designated Maturity", and "Reset Date" have the meanings given to those terms in the ISDA Definitions.
(D)
Screen Rate Determination for Floating-Rate Notes
Where Screen Rate Determination is specified in the applicable Final Terms as the manner in which the Rate of Interest is to be determined, the Rate of Interest for each Interest Period will be, subject as provided below, either:
(1)
the offered quotation (if there is only one quotation on the relevant screen page specified in the applicable Final Terms (the "Relevant Screen Page")); or

LN2-9694
 
18
 
 





(2)
the arithmetic mean (rounded if necessary to the fifth decimal place, with 0.000005 being rounded upwards) of the offered quotations (if there are two or more quotations on the Relevant Screen Page),

(in each case expressed as a percentage rate per annum) for the rate or rates (each a "Reference Rate") which appears or appear, as the case may be, on the Relevant Screen Page on which the Reference Rate is for the time being displayed at 11:00 a.m. (London time in the case of LIBOR, or Brussels time in the case of EURIBOR) on the dates on which the Rate of Interest is to be determined (each, an "Interest Determination Date") plus or minus (as indicated in the applicable Final Terms) the Margin, if any, all as determined by the Calculation Agent.
In the case of a rate determined pursuant to paragraph (2) above, if five or more such offered quotations are available on the Relevant Screen Page, the highest (or, if there is more than one such highest quotation, only one of such quotations) and the lowest (or, if there is more than one such lowest quotation, only one of such quotations) shall be disregarded by the Calculation Agent for purposes of determining the arithmetic mean of such offered quotations.
If the Relevant Screen Page is not available or if, in the case of (1) above, no such offered quotation appears or, in the case of (2) above, fewer than two such offered quotations appear, in each case at the time specified in the preceding paragraph, the Calculation Agent, at its sole discretion, shall request the principal London office of each of the Reference Banks (as defined herein) to provide the Calculation Agent with its offered quotation (expressed as a percentage rate per annum) for deposits in the Specified Currency for the relevant Interest Period to leading banks in the London interbank market in the case of LIBOR or leading banks in the Euro-Zone interbank market in the case of EURIBOR, at approximately 11:00 a.m. (London time in the case of LIBOR, or Brussels time in the case of EURIBOR) on the Interest Determination Date in question. If two or more of the Reference Banks provide the Calculation Agent with such offered quotations, the Rate of Interest for such Interest Period shall be the arithmetic mean (rounded if necessary to the fifth decimal place, with 0.000005 being rounded upwards) of such offered quotations plus or minus (as appropriate) the Margin, if any, all as determined by the Calculation Agent.
If on any Interest Determination Date only one or none of the Reference Banks provides the Calculation Agent with such offered quotations as provided in the preceding paragraph, the Rate of Interest for the relevant Interest Period shall be the rate per annum which the Calculation Agent determines to be the arithmetic mean (rounded as provided above) of the rates, as communicated to (and at the request of) the Calculation Agent by any two or more of the Reference Banks, at which such banks were offered, at approximately 11:00 a.m. (London time in the case of LIBOR, or Brussels time in the case of EURIBOR) on the relevant Interest Determination Date, deposits in the Specified Currency for the relevant Interest Period by leading banks in the London interbank market in the case of LIBOR, or leading banks in the Euro-Zone interbank market in the case of EURIBOR, plus or minus (as appropriate) the Margin, if any. If fewer than two of the Reference Banks provide the Calculation Agent with such offered quotations, the Rate of Interest shall be the offered quotation for deposits in the Specified Currency for the relevant Interest Period, or the arithmetic mean (rounded as provided above) of the offered quotations for deposits in the Specified Currency for the relevant Interest Period, at which, at approximately 11:00 a.m. (London time in the case of LIBOR, or Brussels time in the case of EURIBOR) on the relevant Interest Determination Date, any one or more banks

LN2-9694
 
19
 
 




informs the Calculation Agent it is quoting to leading banks in the London interbank market in the case of LIBOR or leading banks in the Euro-Zone interbank market in the case of EURIBOR, plus or minus (as appropriate) the Margin, if any, provided that if the Rate of Interest cannot be determined in accordance with the foregoing provisions of this paragraph, the Rate of Interest for the relevant Interest Period shall be determined by the Calculation Agent in good faith and in a commercially reasonable manner.
"Reference Banks" means, in the case of (1) above, those banks whose offered rates were used to determine such quotation when such quotation last appeared on the Relevant Screen Page and in the case of (2) above, those banks whose offered quotations last appeared on the Relevant Screen Page when no fewer than three such offered quotations appeared.
"EC Treaty" means the Treaty establishing the European Community, as amended by the Treaty on European Union, as amended by the Treaty of Amsterdam.
"Euro-Zone" means the region comprised of member states of the European Union that have adopted the euro as the single currency in accordance with the EC Treaty.
If the Reference Rate from time to time for Floating-Rate Notes is specified in the applicable Final Terms as being other than LIBOR or EURIBOR, the Rate of Interest in respect of such Notes will be determined as provided in the applicable Final Terms.
(ii)
Determination of Rate of Interest and Calculation of Interest Amounts
The Calculation Agent, at or as soon as practicable after each time at which the Rate of Interest payable on a Floating-Rate Note, Index Linked Interest Note, Share Linked Interest Note, GDR/ADR Linked Interest Note, FX Linked Interest Note, Commodity Linked Interest Note, Fund Linked Interest Note, Inflation Linked Interest Note, Hybrid Interest Note, and/or other Underlying Asset(s) Interest Note (in each case, of a Specified Denomination) is to be determined, will determine the Rate of Interest (subject to any specified Minimum Interest Rate (as defined herein) or Maximum Interest Rate (as defined herein)) and calculate the amount of interest (the "Interest Amount") payable on such Note for the relevant Interest Period. The Interest Amount for the relevant Interest Period shall be calculated (unless the Interest Amount, or a formula for calculation of the Interest Amount, is specified in the applicable Final Terms, in which case the Interest Amount shall be such amount or be calculated in accordance with such formula, as the case may be) by applying the Rate of Interest for such Interest Period to the Specified Denomination of such Note, multiplying such sum by the applicable Day Count Fraction (as defined herein) and rounding the resulting figure to the nearest sub-unit of the relevant Specified Currency, half of any such sub-unit being rounded upwards or otherwise in accordance with applicable market convention. The Calculation Agent's determination of the Rate of Interest and calculation of each Interest Amount shall be conclusive and binding on all parties in the absence of manifest error.
"Day Count Fraction" shall have the meaning ascribed to "Day Count Fraction" in the ISDA Definitions or as agreed upon between the Issuer and Dealers in the applicable Final Terms; provided, however, if "Actual/365 (Sterling)" is specified in the applicable Final Terms, the Day Count Fraction shall be the actual number of days in the Interest Period divided by 365 or, in the case of an Interest Payment Date falling in a leap year, 366.

LN2-9694
 
20
 
 




(ii)
Notification of Rate of Interest and Interest Amount
The Calculation Agent will notify the Issuer and any stock exchange on which the Notes (other than Fixed-Rate Notes, Zero Coupon Notes, and non-interest-bearing Notes) are listed (if the rules of such stock exchange so require) of the Rate of Interest and each Interest Amount for each Interest Period, the relevant Interest Payment Date and any other item or amount determined or calculated by it in accordance with the applicable Final Terms as soon as reasonably practicable after the relevant determination or calculation. The Calculation Agent also shall publish such notice in accordance with Condition 14 as soon as possible after any determination, but in no event later than the fourth London Business Day thereafter. In connection with any such Notes listed on the Luxembourg Stock Exchange, the Calculation Agent will notify the exchange of the Rate of Interest, the Interest Period, and each Interest Amount no later than the first day of the commencement of each new Interest Period. Both the Interest Amount and Interest Payment Dates subsequently may be amended (or appropriate alternative arrangements made by way of adjustment) in the event of an extension or shortening of the Interest Period in accordance with the provisions hereof. Each stock exchange on which such Notes are listed will be notified promptly of any amendment in accordance with Condition 14. For purposes of this sub-paragraph (iv), the expression "London Business Day" means a day (other than a Saturday or a Sunday) on which commercial banks and foreign exchange markets settle payments in London.
(iii)
Certificates to Be Final
All certificates, communications, opinions, determinations, calculations, quotations, and decisions given, expressed, made, or obtained for the purposes of the provisions of this Condition 4(b), by the Calculation Agent shall (in the absence of willful default, bad faith, or manifest error) be binding on the Issuer, the Calculation Agent, the other Paying Agents, and all Noteholders, Receiptholders, and Couponholders and (in the absence of the aforesaid) the Calculation Agent shall not be liable to the Issuer, the Noteholders, the Receiptholders, or the Couponholders in connection with the exercise by it of its powers, duties, and discretions pursuant to such provisions.
(c)
Zero Coupon Notes
If a Zero Coupon Note becomes due and repayable prior to the Maturity Date and is not paid when due, the amount due and repayable shall be the Amortized Face Amount (as defined in Condition 6(f)) of such Note as determined in accordance with Condition 6(f)(iii). From the Maturity Date, any overdue principal of such Note shall bear interest at a rate per annum equal to the accrual yield, if any, in respect of such Notes (the "Accrual Yield") (expressed as a percentage per annum) set forth in the applicable Final Terms.
(d)
Partly Paid Notes
For Partly Paid Notes (other than Partly Paid Notes which are Zero Coupon Notes and Partly Paid Notes that do not bear interest), interest will accrue on the paid-up principal amount of such Notes, and otherwise as specified in the applicable Final Terms.
(e)
Accrual of Interest
Each Note (or in the case of the redemption of only part of a Note, only that part of such Note) will cease to bear interest, if any, from the date for its redemption unless, upon due presentation, payment of principal is improperly withheld or refused. In such event, interest will continue to accrue, before or after judgment, until the earlier of:
(i)
the date on which all amounts due in respect of such Note have been paid; or

LN2-9694
 
21
 
 





(ii)
five calendar days after the date on which the Principal Agent has received the full amount of the monies payable and notice to that effect has been given in accordance with Condition 14 or individually.

(f)
Rate of Interest
As used in these Conditions, "Rate of Interest" means the rate, or each rate, of interest in respect of each interest bearing Note determined in accordance with the applicable provisions of this Condition 4 or as specified in the applicable Final Terms.
(g)
Limitations on Interest
The applicable Final Terms may specify a minimum rate at which the Notes bear interest (a "Minimum Interest Rate"). If the Rate of Interest determined in accordance with the provisions of this Condition 4 is less than the specified Minimum Interest Rate, the Rate of Interest shall be such Minimum Interest Rate. Subject to the provisions of the next paragraph, the applicable Final Terms may specify a Maximum Interest Rate. If the Rate of Interest determined in accordance with the provisions of this Condition 4 is greater than the maximum rate at which the Notes bear interest (the "Maximum Interest Rate"), the Rate of Interest shall be such Maximum Interest Rate.
In addition to any Maximum Interest Rate which may be applicable to any Note pursuant to the above provision, the interest rate on such Note will in no event be higher than the maximum rate permitted by New York law, as the same may be modified by United States law of general application. Under present New York law, the maximum rate of interest is 25.00 per cent. per annum on a simple interest basis, with certain exceptions. The limit may not apply to Notes in which $2,500,000 or more has been invested.
5.
Payments

For the purposes of this Condition 5, references to payment or repayment (as the case may be) of principal and/or interest and other similar expressions shall, where the context so requires, be deemed also to refer to delivery of any Entitlement.
(a)
Bearer Notes
Payments of principal and interest in respect of Bearer Notes shall be made against presentation and surrender of the relevant Receipts (in the case of payments of Installment Amounts other than on the due date for redemption and provided that the Receipt is presented for payment together with its related Note), Notes or Coupons, as the case may be, at the specified office of any Paying Agent outside the United States and its possessions by a check payable in the currency in which such payment is due drawn on a bank in the Principal Financial Center for that currency, and at the option of the bearer of such Receipt, Note, or Coupon, shall be mailed or delivered to an address outside the United States and its possessions furnished by such bearer or, at the option of such bearer, subject to any applicable laws and regulations, shall be transferred to an account denominated in that currency with a bank in the Principal Financial Center for that currency; provided, however, that any payments made by transfer will be made in immediately available funds to an account maintained by the payee with a bank located outside the United States and its possessions, provided, however that:
(i)
payments in a Specified Currency (other than euro or CNY) will be made by transfer to an account in the relevant Specified Currency maintained by the payee with, or by a check in such Specified Currency drawn on, a bank in the Principal Financial Center of the country of such Specified Currency; provided, however, that a check may not be delivered to an address in, and

LN2-9694
 
22
 
 




an amount may not be transferred to an account at a bank located in, the United States or any of its possessions by any office or agency of the Issuer, the Principal Agent, or any Paying Agent;

(ii)
payments in euro will be made by credit or transfer to a euro account (or any other account to which euro may be credited or transferred) specified by the payee; provided, however, that a credit or transfer may not be delivered to an address in, and an amount may not be transferred to an account at a bank located in, the United States or any of its possessions by any office or agency of the Issuer, the Principal Agent, or any Paying Agent; and

(iii)
payments in CNY will be made solely by credit or transfer to a CNY account maintained by the payee with a bank in the CNY Settlement Center in accordance with applicable laws, rules, regulations, and guidelines.

(b)
Registered Notes

(i)
Payments of principal (which for the purposes of this Condition 5(b) shall include final Installment Amounts but not other Installment Amounts) in respect of Registered Notes shall be made to the person shown on the Register on the Record Date in the manner provided in Condition 5(b)(ii) below.

(ii)
Payments of interest and Installment Amounts (other than the final Installment Amount) on Registered Notes shall be paid to the person shown on the Register on the Record Date. Payments in respect of each Registered Note shall be made in the relevant Specified Currency by check drawn on a bank in the Principal Financial Center of the country of such Specified Currency and mailed to the Noteholder (or the first named of joint holders) of such Note at its address appearing in the Register. Upon application by the Noteholder to the specified office of the Registrar or Transfer Agent before the Record Date and subject as provided in Condition 5(a) above, such payment may be made by transfer to an account in the Specified Currency maintained by the payee with a bank in the Principal Financial Center of the country of such Specified Currency.

Payments will be subject in all cases to any fiscal or other laws and regulations applicable thereto in the place of payment, but without prejudice to the provisions of Condition 8.
Notwithstanding anything to the contrary in this Condition 5(b), payments in CNY will be made solely by credit or transfer to a CNY account maintained by the payee with a bank in the CNY Settlement Center in accordance with applicable laws, rules, regulations, and guidelines.
(c)
Payments in the United States
Notwithstanding Condition 5(a), U.S. Dollar payments of principal and interest in respect of Bearer Notes will be made at the specified office of a Paying Agent in the United States or its possessions if:
(i)
the Issuer has appointed Paying Agents with specified offices outside the United States and its possessions with the reasonable expectation that such Paying Agents will be able to make payment of the full amount of principal, interest, or any other amounts payable on the Bearer Notes in the manner provided above when due in U.S. Dollars at such specified offices; and


LN2-9694
 
23
 
 




(ii)
payment of the full amount of such principal, premium, if any, interest, or any other amounts payable, at all such specified offices outside the United States and its possessions is illegal or effectively precluded by exchange controls or other similar restrictions on the full payment or receipt of principal and interest in U.S. Dollars; and

(iii)
such payment is then permitted under United States law without involving, in the opinion of the Issuer, adverse tax consequences for the Issuer.

(d)
Unmatured Coupons and Receipts and Unexchanged Talons
In the case of Fixed-Rate Notes, Bearer Notes should be presented for payment together with all related unmatured Coupons (which expression shall for this purpose include Coupons to be issued upon exchange of matured Talons). Failure to present the above will result in the amount of any missing unmatured Coupon (or, in the case of payment not being made in full, the same proportion of the amount of such missing unmatured Coupon as the sum so paid bears to the sum due) being deducted from the sum due for payment. Each amount of principal so deducted will be paid as described above against surrender of the relative missing Coupon at any time before the expiration of five years after the Relevant Date (as defined in Condition 9) in respect of such principal (whether or not such Coupon would otherwise have become void under Condition 9) or, if later, five years from the date on which such Coupon would otherwise have become due. Upon any Bearer Note becoming due and payable prior to its Maturity Date, all relevant unmatured Talons, if any, will become void and no further Coupons will be issued in respect of that Bearer Note.
In the case of Floating-Rate Notes, upon any Bearer Note becoming due and payable prior to its Maturity Date, any related unmatured Coupons (whether or not attached), shall become void and no payment or, as the case may be, exchange for further Coupons shall be made in respect of those Bearer Notes.
Upon the date on which any Bearer Note becomes due and repayable, unmatured Receipts, if any, relating thereto (whether or not attached), shall become void and no payment shall be made in respect thereof. Payment of the final installment will be made as provided in Condition 5(a) above against surrender of the relevant Bearer Notes.
If the due date for redemption of any Bearer Note is not a Fixed Interest Payment Date or an Interest Payment Date, interest, if any, accrued in respect of such Bearer Note, from (and including) the preceding Fixed Interest Payment Date or Interest Payment Date or, as the case may be, the Interest Commencement Date, shall be payable only against surrender of the relevant Bearer Note.
Except as provided in Condition 5(c), payments of principal, premium, if any, interest, or any other amounts payable on, or deliveries in respect of, a Bearer Global Note, will be made as specified above for Bearer Notes and otherwise as specified in the relevant Bearer Global Note outside the United States and its possessions against presentation or surrender, as the case may be, of such Bearer Global Note, and payments on any Bearer Note will be made at the specified office of any Paying Agent outside the United States and its possessions. The Paying Agent will record on each Bearer Global Note in CGN form each payment made against presentation or surrender of such Bearer Global Note, distinguishing between any payment of principal, premium, if any, interest, or any other amounts payable, and such record shall be prima facie evidence that the payment has been made.
So long as any of the Notes are represented by a Bearer Global Note or a Registered Global Certificate held on behalf of the Relevant Clearing System, each person who is shown in the records of the Relevant Clearing System as the holder of a particular nominal amount of such Notes (any certificate

LN2-9694
 
24
 
 




or other document issued by the Relevant Clearing System as to the nominal amount of Notes standing on the account of any person shall be conclusive and binding for all purposes, except in the case of manifest error) shall be treated by the Issuer, the Principal Agent, and any other Paying Agent as the holder of such nominal amount of such Notes for all purposes, except with respect to the payment of principal, premium, if any, interest, or any other amounts payable on, or deliveries in respect of, the Notes, the bearer of the relevant Bearer Global Note or, in the case of a Registered Global Note, the person or persons for the time being shown in the Register maintained by the Registrar as the Noteholder or Noteholders, shall be treated by the Issuer, the Principal Agent, and any Paying Agent as the holder of such Notes in accordance with and subject to the terms of the relevant Global Note.
(e)
Payment Business Day
If the due date for payment of any amount in respect of any Note, Receipt, or Coupon is not a Payment Business Day, the holder of the Notes shall not be entitled to payment of the amount due until (i) if "Following" is specified in the applicable Final Terms, the next following Payment Business Day or (ii), if "Modified Following" is specified in the applicable Final Terms, the next following Payment Business Day unless that Payment Business Day falls in the next calendar month, in which case the first preceding Payment Business Day. The holder of the Notes shall not be entitled to further interest or other payment in respect of such delay or amendment. For these purposes, unless otherwise specified in the applicable Final Terms, "Payment Business Day" means any day (other than a Saturday or Sunday) on which commercial banks and foreign exchange markets settle payments and are open for general business (including dealing in foreign exchanges and foreign currency deposits) in:
(i)
the relevant place of presentation (in the case of Bearer Definitive Notes);

(ii)
the Principal Financial Center of the country of the relevant Specified Currency (or (A) in the case of an amount payable in euro, a day on which the TARGET2 System or any successor thereto is operating or (B) in the case of an amount payable in CNY, unless otherwise specified in the applicable Final Terms, a day on which commercial banks and foreign exchange markets settle payments and are open for general business (including dealing in foreign exchange and foreign currency deposits) in the CNY Settlement Center);

(iii)
each additional financial center ("Additional Financial Center") specified in the applicable Final Terms; and

(iv)
London and New York City.

(f)
Interpretation of Principal
Any reference in these Terms and Conditions to principal in respect of the Notes shall be deemed to include, as applicable:
(i)
any Additional Amounts (as defined in Condition 8) which may be payable with respect to principal under Condition 8;

(ii)
the Final Redemption Amount (as defined in Condition 6(a)) of the Notes;

(iii)
any Entitlement, Disruption Cash Settlement Price, or Failure to Deliver Settlement Price (as defined in Physical Delivery Condition 5) in respect of the Notes;


LN2-9694
 
25
 
 




(iv)
the redemption amount (the "Early Redemption Amount") of the Notes payable on redemption for taxation reasons or following an Event of Default and the method, if any, of calculating the same if required to be specified by, or if different from that set out in, Condition 6(f);

(v)
the redemption amount payable on the occurrence of a Settlement Disruption Event or Failure to Deliver due to Illiquidity (each as defined in the Physical Delivery Conditions);

(vi)
each redemption amount (the "Optional Redemption Amount"), if any, of the Notes;

(vii)
for Installment Notes, the amount (expressed as a percentage of the principal amount of each Note) of such installment (each, an "Installment Amount");

(viii)
for Amortizing Notes, the amount of unpaid principal;

(ix)
for Zero Coupon Notes, the Amortized Face Amount; and

(x)
any premium and any other amounts which may be payable by the Issuer under or for the Notes.

Any reference in these Terms and Conditions to interest on the Notes shall be deemed to include, as applicable, any Additional Amounts which may be payable in connection with interest under Condition 8.
(g)
Imposition of Exchange Controls
If the Issuer, after consulting with the Principal Agent, reasonably determines that a payment on the Notes, Receipts, or Coupons cannot be made in the Specified Currency due to restrictions imposed by the government of such currency or any agency or instrumentality thereof or any monetary authority in such country (other than as contemplated in the preceding Condition 5(a)), such payment will be made outside the United States and its possessions in U.S. Dollars by a check drawn on or by credit or transfer to an account maintained by the holder with a bank located outside the United States and its possessions, provided that any check shall be mailed or delivered to an address outside the United States and its possessions. The Principal Agent, on receipt of the Issuer's written instruction and at the expense of the Issuer, shall give prompt notice to the holders of the Notes if such determination is made. The amount of U.S. Dollars to be paid in connection with any payment shall be the amount of U.S. Dollars that could be purchased by the Agent with the amount of the relevant currency payable on the date the payment is due, at the rate for sale in financial transactions of U.S. Dollars (for delivery in the Principal Financial Center of the Specified Currency two Business Days later) quoted by that bank at 10:00 a.m. local time in the Principal Financial Center of the relevant currency, on the second Business Day prior to the date the payment is due.
(h)
Rounding
For the purposes of any calculations required pursuant to these Conditions (unless otherwise specified elsewhere in these Conditions or in the applicable Final Terms), (x) all percentages resulting from such calculations shall be rounded, if necessary, to the nearest one hundred-thousandth of a percentage point (with halves being rounded up), (y) all figures shall be rounded to seven significant figures (with halves being rounded up) and (z) all currency amounts that fall due and payable shall be rounded to the nearest sub-unit of such currency (with halves being rounded up), except in the case of Japanese yen, which shall be rounded down to the nearest Japanese yen.

LN2-9694
 
26
 
 




(i)
Payment Disruption
(i)
Occurrence of a Payment Disruption Event or a CNY Payment Disruption Event
If the applicable Final Terms specifies "Payment Disruption Event" or "CNY Payment Disruption Event" to be applicable, then, in the event that the Calculation Agent, at any time and from time to time, determines in its sole discretion that a Payment Disruption Event or a CNY Payment Disruption Event, as the case may be, has occurred or is likely to occur, then the Calculation Agent shall as soon as practicable notify the Noteholders of the relevant Notes of the occurrence of such Payment Disruption or CNY Payment Disruption Event, as the case may be, in accordance with Condition 14.
(ii)
Consequences of a Payment Disruption Event
Upon the occurrence of a Payment Disruption Event:
(A)
Obligation to pay postponed
The Issuer's obligation to pay the Interest Amount, Fixed Coupon Amount, Final Redemption Amount or any such other amounts in respect of the relevant Notes shall, subject to Condition 5(i)(v), be postponed until five Business Days (or such other date as may be determined by the Calculation Agent and notified to the Noteholders in accordance with Condition 14) after the date on which the Payment Disruption Event is no longer operating. Noteholders shall not be entitled to further interest or other payment in respect of such postponement.
(B)
Issuer's option to vary settlement
Notwithstanding the Issuer's right to postpone payment in accordance with Condition 5(i)(iii)(A), the Issuer may, if practicable (and to the extent lawful), and at the Issuer's sole and absolute discretion:
(1)
make payments due to be made in the Subject Currency in the Base Currency, converted from the Subject Currency into the Base Currency at a rate reasonably selected by the Calculation Agent;

(2)
make payments due to be made in the Base Currency in the Subject Currency, disregarding any obligation to convert amounts into the Base Currency;

(3)
in the case of Share Linked Notes, deliver the Shares in lieu of cash settlement; or

(4)
in the case of Share Linked Notes which reference a Basket of Shares, elect to satisfy in part its obligation to pay the amounts as may be due and payable under the relevant Notes by making a partial payment(s) or partial deliveries, as the case may be (the "Partial Distributions"). Any Partial Distribution made by the Issuer to the Noteholders will be calculated and/or determined by the Calculation Agent in its sole and absolute discretion and shall be paid and/or delivered to the Noteholders pro rata (as far as possible, subject to any necessary adjustments for rounding) to the proportion of the Notes of the same series held by the relevant Noteholder. In the event that any Partial Distribution is made by the Issuer, the Calculation Agent may, in its sole and absolute discretion, make any such corresponding adjustment to any variable relevant to the redemption or payment terms of the relevant Notes as it deems necessary and shall notify the relevant Noteholders thereof in accordance with Condition 14.


LN2-9694
 
27
 
 




Any payments or deliveries made in accordance with this Condition 5(i)(ii)(B) shall satisfy and discharge in full (in the case of payments or deliveries made in accordance with sub-paragraphs (1) to (3) above) and in part (in the case of Partial Distributions made in accordance with sub-paragraph (4)) the Issuer's obligation to pay the Interest Amount, Fixed Coupon Amount, Final Redemption Amount or other amount in respect of which the Payment Disruption Event has arisen, and no further amounts shall be due and payable by the Issuer in respect thereof.
(iii)
Consequences of a CNY Payment Disruption Event
Upon the occurrence of a CNY Payment Disruption Event:
(A)
Obligation to pay postponed
Condition 5(i)(ii)(A) shall apply, provided that the reference therein to "Payment Disruption Event" shall be construed as a reference to "CNY Payment Disruption Event".
(B)
Payment of Equivalent Amount
If "Payment of Equivalent Amount" is specified to be applicable in the applicable Final Terms, and the Calculation Agent determines that such CNY Payment Disruption Event is material in relation to the Issuer's obligations under the relevant Notes to pay any Interest Amount, Fixed Coupon Amount, Final Redemption Amount, or other amount in respect of the relevant Notes on the relevant Interest Payment Date, Maturity Date, or such other date on which any amount in respect of the relevant Notes shall be due and payable (such date, the "Affected Payment Date"), then the Issuer shall, on giving notice to Noteholders prior to the relevant Affected Payment Date, make payment of the Equivalent Amount of the relevant Interest Amount, Fixed Coupon Amount, Final Redemption Amount, or such other amount payable (if applicable) on the relevant Affected Payment Date in full and final settlement of its obligations to pay such Interest Amount, Fixed Coupon Amount, Final Redemption Amount, or other amount in respect of the relevant Notes.
(iv)
Payments net of expenses
Notwithstanding any provisions to the contrary, (A) any payments made in accordance with Condition 5(i)(ii) or Condition 5(i)(iii) shall be made after deduction of any costs, expenses or liabilities incurred or to be incurred by the Calculation Agent or Issuer in connection with or arising from the resolution of the relevant Payment Disruption Event(s) or CNY Payment Disruption Event(s), as the case may be, and (B) no interest shall be paid by the Issuer in respect of any delay which may occur in the payment of any amounts due and payable under the Notes as a result of the operation of Condition 5(i)(ii) or Condition 5(i)(iii), as the case may be.
(v)
Payment Event Cut-Off Date
In the event that a Payment Disruption Event or a CNY Payment Disruption Event, as the case may be, is still occurring on the Payment Event Cut-Off Date, the Interest Payment Date, the Maturity Date, or any other date on which the Interest Amount, Fixed Coupon Amount, Final Redemption Amount or other amount in respect of the relevant Notes shall be due and payable (as the case may be) for the relevant Notes shall fall on the Payment Event Cut-Off Date. In such circumstances, the Noteholder will not receive any amounts. Thereafter, the Issuer shall have no obligations whatsoever under the Notes.
For the purposes of this Condition 5(i):
"Base Currency" has the meaning given to it in Annex 4 - Additional Terms and Conditions for FX Linked Notes;

LN2-9694
 
28
 
 




"CNY" means Chinese Renminbi, the lawful currency of the People's Republic of China (including any lawful successor currency to the CNY);
"CNY Payment Disruption Event" means the occurrence of any of the following events:
(A)
an event that makes it impossible or impractical for the Issuer to convert any amounts in CNY due in respect of the Notes in the general CNY foreign exchange market in the relevant CNY Settlement Center(s), other than where such impossibility or impracticality is due solely to the failure of the Issuer to comply with any law, rule, or regulation enacted by any Governmental Authority (unless such law, rule, or regulation is enacted after the relevant Trade Date, and it is impossible or impractical for the Issuer, due to an event beyond its control, to comply with such law, rule, or regulation);

(B)
an event that makes it impossible or impractical for the Issuer to (1) deliver CNY between accounts inside the relevant CNY Settlement Center(s), or (2) from an account inside the relevant CNY Settlement Center(s) to an account outside the relevant CNY Settlement Center(s) (including, if applicable, to another CNY Settlement Center), other than where such impossibility or impracticality is due solely to the failure of the Issuer to comply with any law, rule, or regulation enacted by any Governmental Authority (unless such law, rule, or regulation is enacted after the Trade Date and it is impossible or impractical for the Issuer, due to an event beyond its control, to comply with such law, rule, or regulation); and

(C)
the general CNY foreign exchange market in the relevant CNY Settlement Center becomes illiquid as a result of which the Issuer cannot obtain sufficient CNY in order to satisfy its payment obligations (in whole or in part) under the Notes;

"CNY Settlement Center" means the financial Center(s) specified as such in the applicable Final Terms;
"Equivalent Amount" means, in respect of the relevant Interest Amount, Fixed Coupon Amount, Final Redemption Amount or other amount payable (if applicable) on the relevant Affected Payment Date (for these purposes, the "Relevant Amount"), an amount in the Base Currency determined by the Calculation Agent by converting the Relevant Amount into the Base Currency using the Equivalent Amount Currency Price for the relevant Affected Payment Date;
"Equivalent Amount Settlement Rate" means, unless otherwise specified in the applicable Final Terms, in respect of any relevant day, the spot exchange rate on such day between CNY and the Base Currency, determined by the Calculation Agent, taking into account all available information which the Calculation Agent deems relevant (including, but not limited to, pricing information obtained from the CNY non-deliverable market outside the People's Republic of China and/or the CNY foreign exchange market in the People's Republic of China);
"Governmental Authority" means any de facto or de jure government (or any agency or instrumentality thereof), court, tribunal, administrative or other governmental authority or any other entity (private or public) charged with the regulation of the financial markets (including the central bank) of the People's Republic of China, the Hong Kong Special Administrative Region and any other CNY Settlement Center;

LN2-9694
 
29
 
 




"impractical" or "impracticality" means, in respect of any action to be taken by the Issuer, that the Issuer and/or its Affiliates would incur a materially increased amount of taxes, duties, expenses, or fees (as compared with circumstances existing on the Trade Date) to perform such action, or the Issuer and/or any Affiliates would be in breach of any law, rule, regulation, guideline, or internal policy of the Issuer and/or its Affiliates, if such action were to be performed;
"Payment Disruption Event" means:
(D)
the occurrence of either (1) an Inconvertibility Event and/or (2) a Non-Transferability Event (each as defined in Annex 4 - Additional Terms and Conditions for FX Linked Notes);

(E)
the imposition by the Subject Currency Jurisdiction (or any political or regulatory authority thereof) of any capital controls, or the publication of any notice of an intention to do so, which the Calculation Agent determines in good faith is likely materially to affect the Notes, and notice thereof is given by the Issuer to the Noteholders in accordance with Condition 14; or

(F)
the implementation by the Subject Currency Jurisdiction (or any political or regulatory authority thereof) or the publication of any notice of an intention to implement any changes to the laws or regulations relating to foreign investment in the Subject Currency Jurisdiction (including, but not limited to, changes in tax laws and/or laws relating to capital markets and corporate ownership), which the Calculation Agent determines are likely to affect materially the Issuer's ability to hedge its obligations under the Notes;

"Payment Event Cut-Off Date" means the date which is one year after the Maturity Date, or as determined by the Calculation Agent acting in good faith and notified to Noteholders in accordance with Condition 14;
"Subject Currency" has the meaning given to it in Annex 4 - Additional Terms and Conditions for FX Linked Notes; and
"Subject Currency Jurisdiction" has the meaning given to it in Annex 4 - Additional Terms and Conditions for FX Linked Notes.
6.
Redemption and Purchase

(a)
At Maturity
Unless previously redeemed or purchased and cancelled as specified below, the Issuer will redeem each Note at an amount (the "Final Redemption Amount") (or, in the case only of Physical Delivery Notes, by delivery of the Entitlement (as provided in the Physical Delivery Conditions)) specified in, or determined in the manner specified in, the applicable Final Terms in the relevant Specified Currency on the Maturity Date.
For the purposes of these Terms and Conditions, "Redemption Amount" shall mean the Final Redemption Amount, Disruption Cash Settlement Price, Failure to Deliver Settlement Price, Early Redemption Amount, Optional Redemption Amount, Minimum Redemption Amount, Higher Redemption Amount (each as defined below), or any other amount specified in the applicable Final Terms as being the amount for which the Notes are to be redeemed, as the context may require.

LN2-9694
 
30
 
 




(b)
Redemption for Tax Reasons
The Notes may be redeemed at the option of the Issuer in whole, but not in part, at any time, unless otherwise specified in the applicable Final Terms, on giving not less than 30 nor more than 60 calendar days' notice (which notice shall be irrevocable) to the Principal Agent and to the Noteholders, in accordance with Condition 14, if:
(i)
(A) on the occasion of the next payment due under the Notes, the Issuer has or will become obligated to pay Additional Amounts as discussed in Condition 8 as a result of any change in, or amendment to, the laws or regulations of the United States or any political subdivision or any authority thereof or therein having power to tax, or any change in the application or official interpretation of such laws or regulations, which change or amendment becomes effective on or after the Issue Date of the first Tranche of the Notes; and (B) the Issuer cannot avoid such obligation by taking reasonable measures available to it, provided that no such redemption notice shall be given earlier than 90 calendar days prior to the earliest date on which the Issuer would be obligated to pay such Additional Amounts if a payment in respect of the Notes were then due; or

(ii)
any payment (or deemed payment as determined for United States tax purposes) with respect to the Notes or with respect to a direct or indirect hedging arrangement entered into by the Issuer or any of its Affiliates relating to the Notes may be treated as a dividend or "dividend equivalent" for United States tax purposes (such event being a "U.S. Withholding Tax Event").

Prior to the publication of any redemption notice pursuant to this Condition 6(b), the Issuer shall deliver a certificate to the Principal Agent signed by an Authorized Officer of the Issuer stating that the Issuer is entitled to effect such redemption and setting forth a statement of facts showing that the conditions precedent, if any, to the redemption have occurred. For the purposes of this paragraph, "Authorized Officer" means, with respect to the Issuer, the Chief Executive Officer, the Chief Financial Officer, the Treasurer, any Senior Vice President or any Managing Director or Director-Corporate Treasury of the Issuer, or any other person who is duly authorized to act for the Issuer in matters relating to, and binding upon, the Issuer.
Notes redeemed pursuant to this Condition 6(b) will be redeemed at their Early Redemption Amount referred to in Condition 6(f) below together (if appropriate) with interest accrued to (but excluding) the date fixed for redemption.
(c)
Special Tax Redemption
If the Issuer determines that any payment made outside the United States by the Issuer or any of its Paying Agents in respect of any Note (other than in respect of a Registered Note) or Coupon, under any present or future laws or regulations of the United States, would be subject to any certification, documentation, information, or other reporting requirement of any kind the effect of which is the disclosure to the Issuer, any Paying Agent, or any governmental authority of the nationality, residence, or identity of a beneficial owner of such Note or Coupon who is a United States Alien (as defined herein) (other than a requirement (1) that would not be applicable to a payment by the Issuer or any one of the Paying Agents (x) directly to the beneficial owner, or (y) to a custodian, nominee, or other agent of the beneficial owner, (2) that can be satisfied by such custodian, nominee, or other agent certifying to the effect that the beneficial owner is a United States Alien, provided that, in any case referred to in Clauses (1)(y) or (2), payment by the custodian, nominee, or agent to the beneficial owner is not otherwise subject to any such requirement, or (3) that would not be applicable to a payment by at least one Paying Agent of the Issuer), the Issuer shall at its option either:

LN2-9694
 
31
 
 




(i)
redeem the Notes in whole, but not in part, at any time (in the case of Fixed-Rate Notes) or on any Interest Payment Date (in the case of Notes other than Fixed-Rate Notes), at a price equal to the Early Redemption Amount referred to in Condition 6(f) below, together with, if appropriate, interest accrued to but excluding the date fixed for redemption; or

(ii)
if the conditions of the second succeeding paragraph are satisfied, pay the Additional Amounts specified in such paragraph.

The Issuer shall make its determination as soon as practicable and publish prompt notice thereof (the "Determination Notice") stating the effective date of its certification, documentation, information, or other reporting requirement, whether the Issuer will redeem the Notes or pay the Additional Amounts specified in the next succeeding paragraph, and (if applicable) the last date by which the redemption of the Notes must take place, as provided in the next succeeding sentence. If the Notes are to be redeemed pursuant to this Condition 6(c), that redemption shall take place on such date, not later than one year after the publication of the Determination Notice, as the Issuer shall elect by notice to the Principal Agent at least 45 calendar days before the redemption date. Notice of such redemption of the Notes will be given to the Noteholders not more than 60 nor less than 30 calendar days prior to the redemption date by publication in accordance with Condition 14. Notwithstanding the foregoing, the Issuer shall not redeem the Notes if the Issuer shall subsequently determine not less than 30 calendar days prior to the redemption date, that subsequent payments on the Notes and Coupons would not be subject to any such certification, documentation, information, or other reporting requirement, in which case the Issuer shall give prompt notice of its subsequent determination by publication in accordance with Condition 14 and any earlier redemption notice shall be revoked and of no further effect.
Notwithstanding the foregoing, if and so long as the certification, documentation, information, or other reporting requirement referred to in the second preceding paragraph would be fully satisfied by payment of a backup withholding tax or similar charge, the Issuer may elect to pay as additional interest such Additional Amounts as may be necessary so that every net payment made outside the United States following the effective date of that requirement by the Issuer or any of its Paying Agents in respect of any Note or any Coupon of which the beneficial owner is a United States Alien (but without any requirement that the nationality, residence, or identity, other than status as a United States Alien, of such beneficial owner be disclosed to the Issuer, any Paying Agent, or any governmental authority), after deduction or withholding for or on account of that backup withholding tax or similar charge (other than a backup withholding tax or similar charge that (1) would not be applicable in the circumstances referred to in the parenthetical clause of the first sentence of the second preceding paragraph or (2) is imposed as a result of the presentation of the Note or Coupon for payment more than 15 calendar days after the date on which that payment became due and payable or on which payment thereof was duly provided for, whichever occurred later), will not be less than the amount provided for in the Note or Coupon to be then due and payable. If the Issuer elects to pay Additional Amounts pursuant to this paragraph, the Issuer shall have the right to redeem the Notes in whole, but not in part, at any time (in the case of Notes other than Fixed-Rate Notes) or on any Interest Payment Date (in the case of Notes other than Fixed-Rate Notes), subject to the provisions of the last two sentences of the immediately preceding paragraph. If the Issuer elects to pay Additional Amounts pursuant to this paragraph and the condition specified in the first sentence of this paragraph should no longer be satisfied, then the Issuer shall redeem the Notes pursuant to the provisions of the immediately preceding paragraph.

LN2-9694
 
32
 
 




For purposes of this Condition 6(c), the terms "Additional Amounts" and "United States Alien" have the meanings given in Condition 8.
The requirement under these Terms and Conditions that a Noteholder submit an Asset Transfer Notice or Put Notice disclosing certain information with respect to the Noteholder and the requirement that the Noteholder and each legal or beneficial owner, as a condition to purchasing a Note, make certain representations and agreements as to its status as a U.S. person and other matters, are not requirements as to which the provisions of this Condition 6(c) apply. In addition, in the case of Definitive Notes which are not held through a Relevant Clearing System and in the case of Notes in respect of which the holder may receive less than the Specified Denomination, if this Condition 6(c) would otherwise apply to the Notes, the Issuer shall have the option to redeem the Definitive Notes in the manner set forth in the third preceding paragraph, but shall not be required to redeem the Definitive Notes or pay any Additional Amounts.
Whenever any Additional Amounts are to be paid on Notes or Coupons, the Issuer will give notice to the Agent, the Registrar and the other Paying Agents, as provided in the Agency Agreement.
(d)
Call Option-Redemption at the Option of the Issuer (Issuer Call Option)
If the applicable Final Terms specifies that the Issuer has an option to redeem the Notes, and the Issuer gives:
(i)
not less than 30 nor more than 60 calendar days' notice in accordance with Condition 14 to the Noteholders (or such other period as is specified in the applicable Final Terms); and

(ii)
not less than two London Business Days' (as defined in Condition 4(b)(iv)) (or such other period as is specified in the applicable Final Terms) notice to the Principal Agent before giving notice as referred to in (i) above;

(both of which notices shall be irrevocable), then the Issuer may redeem all or a portion of the Notes then outstanding on the dates upon which redemption may occur (each, an "Optional Redemption Date") and at the Optional Redemption Amounts specified in, or determined in the manner specified in, the applicable Final Terms together, if appropriate, with interest accrued to (but excluding) the relevant Optional Redemption Dates. Any redemption must be of a principal amount equal to the minimum principal amount of the Notes permitted to be redeemed at any time (the "Minimum Redemption Amount") or any greater principal amount of the Notes permitted to be redeemed at any time (each, a "Higher Redemption Amount"), both as indicated in the applicable Final Terms. In the case of a partial redemption of Notes, the Notes to be redeemed ("Redeemed Notes") will be selected individually by lot, in the case of Redeemed Notes represented by Bearer Definitive Notes or Registered Definitive Certificates, and in accordance with the rules of the Relevant Clearing System (to be reflected in the records of the Relevant Clearing System as either a pool factor or a reduction in nominal amount, at their discretion), in the case of Redeemed Notes represented by a Bearer Global Note or a Registered Global Certificate, not more than 60 calendar days prior (or such other period as is specified in the applicable Final Terms) to the date fixed for redemption (the "Selection Date"). In the case of Redeemed Notes represented by Bearer Definitive Notes or Registered Definitive Certificates, a list of the serial numbers of the Redeemed Notes will be published in accordance with Condition 14 not less than 30 calendar days prior (or any other period as is specified in the applicable Final Terms) to the date fixed for redemption. No exchange of a Global Note for Definitive Notes and no transfer of a Registered Note represented by Registered Definitive Certificates will be permitted during the period from and including the Selection Date to and including the date fixed for redemption pursuant to this Condition 6(d) and the Issuer shall give notice to that effect to the Noteholders in

LN2-9694
 
33
 
 




accordance with Condition 14 at least 10 calendar days prior (or any other period as is specified in the applicable Final Terms) to the Selection Date.
(e)
Put Option-Redemption at the Option of the Noteholders (Investor Put Option)
If the applicable Final Terms specifies that the Noteholders have an option to redeem the Notes, then upon any Noteholder giving the Issuer (through the Relevant Clearing System, in the case of Notes held in global form), in accordance with Condition 14, not less than 30 nor more than 60 calendar days' notice or such other period of notice as is specified in the applicable Final Terms (which notice shall be irrevocable), the Issuer, upon the expiration of such notice, will redeem (in accordance with the terms specified in the applicable Final Terms) in whole (but not in part), the Notes of such Noteholder on the Optional Redemption Date and at the Optional Redemption Amount specified in, or determined in the manner specified in, the applicable Final Terms together, if appropriate, with interest accrued to (but excluding) the Optional Redemption Date.
With respect to Notes held in definitive form, to exercise such option or any other Noteholders' option that may be set out in the applicable Final Terms, the Noteholder must deposit (in the case of Bearer Notes) such Note (together with all unmatured Receipts and Coupons and unexchanged Talons) with any Paying Agent outside the United States, or (in the case of Registered Notes) the Registered Certificate representing such Note(s) with the Registrar or the Transfer Agent, in each case at its specified office, during normal business hours of such Paying Agent, Registrar or Transfer Agent falling within the notice period, together with an option exercise notice in the form obtainable from any Paying Agent, the Registrar or the Transfer Agent duly signed and completed by the relevant Noteholder (the "Put Notice") in which the Noteholder must specify a bank account (or, if payment is by check, an address) to which payment is to be made under this Condition 6(e).
With respect to Notes held in global form, to exercise the option of a Noteholder to redeem its Notes or any other Noteholders' option that may be set forth in the applicable Final Terms, the Noteholder must give notice to the Relevant Clearing System of such exercise within the notice period and in accordance with the standard procedures of the Relevant Clearing System through which such Noteholder holds its Notes in a form acceptable to such Relevant Clearing System (which may include notice by electronic means or notice given upon such Noteholder's instruction by the Common Depositary or Common Safekeeper, as applicable).
(f)
Early Redemption Amounts
For purposes of Conditions 6(b) and 6(c) above and Condition 10, the Notes will be redeemed at the Early Redemption Amount calculated as follows, together, if appropriate, with interest accrued to (but excluding) the date fixed for redemption or (as the case may be) the date upon which such Note becomes due and repayable prior to the Maturity Date:
(i)
in the case of a Note (other than a Zero Coupon Note, a Dual Currency Note, an Index Linked Redemption Note, a Share Linked Redemption Note, a GDR/ADR Linked Redemption Note, an FX Linked Redemption Note, a Commodity Linked Redemption Note, a Fund Linked Redemption Note, an Inflation Linked Redemption Note, a Hybrid Redemption Note, or an other Underlying Asset(s) Redemption Note) with a Final Redemption Amount equal to 100 per cent. of its outstanding principal amount, at the Final Redemption Amount thereof; or

(ii)
in the case of a Note (other than those described in Condition 6(f)(i) above or Condition 6(f)(iii) below), the Early Redemption Amount payable shall be the amount per Note of the Specified Denomination specified in the applicable Final Terms, provided that if "Market Value less Associated Costs (no floor)" or "Market Value less Associated Costs (90 per cent. floor)" is

LN2-9694
 
34
 
 




specified to be the Early Redemption Amount in the applicable Final Terms, the Early Redemption Amount in respect of each Note of the Specified Denomination shall be an amount determined by the Calculation Agent, which on (A) in the case of redemption other than pursuant to Condition 10, the second Business Day immediately preceding the due date for the early redemption of such Note or (B) in the case of redemption pursuant to Condition 10, the due date for the early redemption of such Note, represents the fair market value of such Note (taking into account all factors which the Calculation Agent determines relevant) less Associated Costs, and provided that no account shall be taken of the financial condition of the Issuer which shall be presumed to be able to perform fully its obligations in respect of the Notes and provided further that, if "Market Value less Associated Costs (90 per cent. floor)" is specified to be the Early Redemption Amount in the applicable Final Terms, in no event shall the Early Redemption Amount of each Note (in the case of an Installment Note, when aggregated with the sum of any Installment Amounts already paid in respect of such Note and in the case of an Amortizing Note, when aggregated with any amounts of principal already paid in respect of such Note) be less than 90 per cent. of the Specified Denomination of such Note or, in the case of a Partly Paid Note, 90 per cent. of the amount paid up in respect of such Note or, in the case of a Zero Coupon Note, 90 per cent. of the Amortized Face Amount (as defined in Condition 6(f)(iii) below) of such Note; or

(iii)
in the case of (x) a Zero Coupon Note, which is not a Dual Currency Note, an Index Linked Redemption Note, a Share Linked Redemption Note, a GDR/ADR Linked Note, an FX Linked Redemption Note, a Commodity Linked Redemption Note, a Fund Linked Redemption Note, an Inflation Linked Redemption Note, a Hybrid Redemption Note, or an other Underlying Asset(s) Redemption Note or (y) any other Note to which this Condition 6(f)(iii) is specified in the relevant Final Terms to apply, at an amount (the "Amortized Face Amount") calculated in accordance with the following formula:

(A)
Early Redemption Amount = RP x (1 + AY)y 

where:
"RP" means the Reference Price, as set forth in the applicable Final Terms; and
"AY" means the Accrual Yield expressed as a decimal, as set forth in the applicable Final Terms; and
"y" is a fraction the numerator of which is equal to the number of days (calculated on the basis of a 360-day year consisting of 12 months of 30 days each) from (and including) the Issue Date of the first Tranche of the Notes to (but excluding) the date fixed for redemption or (as the case may be) the date upon which such Note becomes due and repayable and the denominator of which is 360,
or on such other calculation basis as may be specified in the applicable Final Terms;
(B)
if the amount payable with respect to any Zero Coupon Note upon redemption pursuant to Condition 6(b), (c), (d) or (e) above or upon its becoming due and repayable as provided in Condition 10 is not paid or available for payment when due, the amount due and repayable with respect to such Zero Coupon Note shall be the Amortized Face Amount of such Zero Coupon Note calculated as provided above as though the references in the definition of "y" in the sub-paragraph (A) above to the date fixed for redemption or the date upon which the Zero Coupon

LN2-9694
 
35
 
 




Note becomes due and repayable were replaced by references to the date (the "Reference Date") which is the earlier of:

(1)
the date on which all amounts due with respect to the Zero Coupon Note have been paid; or

(2)
the date on which the full amount of the monies repayable has been received by the Agent and notice to that effect has been given in accordance with Condition 14.

The calculation of the Amortized Face Amount in accordance with this sub-paragraph (B) will continue to be made, before, as well as after, judgment, until the Reference Date, unless the Reference Date falls on or after the Maturity Date, in which case the amount due and repayable shall be the principal amount of such Note together with interest at a rate per annum equal to the Accrual Yield.
"Affiliate" means, in relation to any entity (the "First Entity"), any entity controlled, directly or indirectly, by the First Entity, any entity that controls, directly or indirectly, the First Entity or any entity directly or indirectly under common control with the First Entity. For these purposes "control" means ownership of a majority of the voting power of an entity.
"Associated Costs" means an amount per Note of the Specified Denomination equal to such Note's pro rata share of the total amount of any and all costs associated or incurred by the Issuer or any Affiliate in connection with such early redemption, including, without limitation, any costs associated with unwinding any funding relating to the Notes and any costs associated with unwinding any hedge positions relating to the Notes, all as determined by the Calculation Agent in its sole discretion.
(g)
Installment Notes; Amortizing Notes
If the Notes are Installment Notes, they will be redeemed in the Installment Amounts and on the date on which each installment is repayable (each, an "Installment Date") as specified in the applicable Final Terms. In the case of early redemption, the Early Redemption Amount will be determined pursuant to Condition 6(f) above. If the Notes are Amortizing Notes, they will be redeemed in the amounts and on the dates set forth in the Amortization Table specified in the applicable Final Terms.
(h)
Partly Paid Notes
If the Notes are Partly Paid Notes, they will be redeemed, whether at maturity, early redemption, or otherwise, in accordance with the provisions of this Condition 6 and the applicable Final Terms. In the case of early redemption, the Early Redemption Amount will be determined pursuant to Condition 6(f) above by reference to the amount paid with respect to such Notes.
(i)
Dual Currency Notes, Index Linked Redemption Notes, Share Linked Redemption Notes, GDR/ADR Linked Redemption Notes, FX Linked Redemption Notes, Commodity Linked Redemption Notes, Fund Linked Redemption Notes, Inflation Linked Redemption Notes, Hybrid Redemption Notes, and other Underlying Asset(s) Redemption Notes

If the Notes are Dual Currency Notes, Index Linked Redemption Notes, Share Linked Redemption Notes, GDR/ADR Linked Redemption Notes, FX Linked Redemption Notes, Commodity Linked Redemption Notes, Fund Linked Redemption Notes, Inflation Linked Redemption Notes, Hybrid Redemption Notes, or other Underlying Asset(s) Redemption Notes, they will be redeemed, whether at maturity, early redemption, or otherwise, in accordance with the provisions of this Condition 6 and the applicable Final Terms.

LN2-9694
 
36
 
 




(j)
Repurchases
The Issuer and/or any of its Affiliates may at any time repurchase Notes (provided that, in the case of Bearer Definitive Notes, all unmatured Receipts and Coupons attached thereto are repurchased therewith) at any price in the open market or otherwise. Such Notes may be held, reissued, resold, or surrendered to any Paying Agent for cancellation, provided that any such Notes reissued or resold comply with the selling restrictions set forth in United States Treasury Regulation section 1.163-5 as if they were newly issued.
(k)
Cancellation
All Notes which are redeemed will be cancelled (together with, in the case of Bearer Definitive Notes, all unmatured Receipts and Coupons attached thereto or surrendered therewith at the time of redemption) in the case of Bearer Notes, by surrendering each such Note together with all unmatured Receipts and Coupons and all unexchanged Talons to any Paying Agent and, in the case of Registered Notes, by surrendering the Registered Certificate representing such Registered Notes to the Registrar and, in each case, if so surrendered, shall, together with all Notes redeemed by the Issuer, be cancelled forthwith (together with, in the case of Bearer Definitive Notes, all unmatured Receipts and Coupons and unexchanged Talons attached thereto or surrendered therewith). All Notes so cancelled and the Notes purchased and cancelled pursuant to Condition 6(j) above (together with, in the case of Bearer Definitive Notes, all unmatured Receipts and Coupons cancelled therewith) shall be forwarded to the Principal Agent and cannot be reissued or resold.
7.
Redenomination

If the applicable Final Terms permits redenomination, Notes denominated in a currency that may be redenominated into euro, at the election of the Issuer, may be subject to redenomination in the manner set out below. In relation to such Notes, the Issuer, without the consent of the Noteholders, Receiptholders, or Couponholders, on giving at least 30 calendar days' prior notice to Noteholders, Receiptholders, Couponholders, the Principal Agent and the Relevant Clearing System in accordance with Condition 14, may designate a "Redenomination Date" for the Notes, being (in the case of interest-bearing Notes) a date for payment of interest under the Notes (or in the case of Zero Coupon Notes, any date), in each case specified by the Issuer in the notice given pursuant to this paragraph and falling on or after the date on which the relevant member state commences participation in the third stage of European Economic and Monetary Union pursuant to the EC Treaty and which falls before the date on which the currency ceases to be a subdivision of the euro. Notwithstanding the foregoing, Bearer Notes will not be redenominated at the election of the Issuer pursuant to this Condition 7 unless the Issuer receives an opinion of United States tax counsel recognized as an expert in such matters that the Notes would be in compliance with United States Treasury Regulation section 1. 163-5(c)(2)(i)(D) after such redenomination.
Beginning on the Redenomination Date, notwithstanding the other provisions of the Terms and Conditions:
(a)
the Notes and the Receipts shall (unless already so provided by mandatory provisions of applicable law) be deemed to be redenominated in euro in the denomination of euro 0.01 with a nominal amount for each Note and Receipt equal to the nominal amount of that Note and Receipt in the Specified Currency, converted into euro at the rate for conversion established by the Council of the European Union pursuant to the EC Treaty (including compliance with rules relating to rounding in accordance with European Community regulations) provided that, if the Issuer determines, with the agreement of the Agent (which agreement shall not be unreasonably withheld), that the then market practice in respect of the redenomination into euro 0.01 of internationally offered securities is different from the provisions specified above, such provisions shall be deemed to be amended so as to comply with such

LN2-9694
 
37
 
 




market practice and the Issuer shall promptly notify the Noteholders, any stock exchange on which the Notes may be listed, and any Paying Agent of such deemed amendment;

(b)
if Definitive Notes are required to be issued after the Redenomination Date, they shall be issued at the expense of the Issuer in the denominations of €100,000, and such other denominations as the Principal Agent determines and gives notice of to the Noteholders;

(c)
if Bearer Definitive Notes have been issued prior to the Redenomination Date, all unmatured Receipts and Coupons denominated in the Specified Currency (whether or not attached to the Notes) will become void from the date on which the Issuer gives the notice (the "Exchange Notice") that replacement euro-denominated Notes, Receipts, and Coupons are available for exchange (provided that such securities are so available) and no payments will be made in respect of them. The payment obligations contained in any Notes and Receipts so issued also will become void on that date although those Notes and Receipts will continue to constitute valid exchange obligations of the Issuer. New certificates in respect of euro-denominated Notes, Receipts and Coupons will be issued in exchange for Notes, Receipts and Coupons denominated in the Specified Currency in such manner as the Principal Agent may specify and shall be stated to Noteholders in the Exchange Notice;

(d)
after the Redenomination Date, all payments in respect of the Notes (other than payments of interest in respect of periods commencing before the Redenomination Date) will be made solely in euro, unless the Redenomination Date is on or after such date as the Specified Currency ceases to be a subdivision of the euro. Such payments will be made in euro by credit or transfer to a euro account (or any other account to which euro may be credited or transferred) specified by the payee;

(e)
the amount of interest in respect of Notes will be calculated by reference to the aggregate nominal amount of Bearer Definitive Notes presented (or, as the case may be, in respect of which Receipts or Coupons are presented) for payment by the relevant holder and the amount of such payment shall be rounded down to the nearest euro 0.01; and

(f)
if the Notes are Notes other than Fixed-Rate Notes, Zero Coupon Notes or other non-interest-bearing Notes, the applicable Final Terms will specify any relevant changes to the provisions relating to interest.

In connection with such redenomination, the Issuer, after consultation with the Principal Agent, may make such other changes to the Terms and Conditions applicable to the relevant Notes, including, without limitation, with respect to any Business Day, Fixed Day Count Fraction, Day Count Fraction, or other conventions as it may decide, so as to conform them to the then market practice in respect of euro-denominated debt securities issued in the Euromarkets, which are held in international clearing systems.
Any such changes will not take effect until the next following Interest Payment Date after the Noteholders have been given notice in accordance with Condition 14.
The circumstances and consequences described in this Condition 7 and any resulting amendment to the Terms and Conditions of the Notes will not entitle any Noteholder (i) to any legal remedy, including, without limitation, redemption, rescission, notice, repudiation, adjustment, or renegotiation of the Notes, or (ii) to raise any defense or make any claim (including, without limitation, claims of breach, force majeure, frustration of purpose, or impracticability) or any other claim for compensation, damages, or any other relief.

LN2-9694
 
38
 
 




8.
Taxation

The Issuer will pay a United States Alien such additional amounts of interest ("Additional Amounts") as may be necessary so that every net payment of the principal of and interest on any Note or any Coupon appertaining thereto, after deduction or withholding for or on account of any present or future tax, assessment, or other governmental charge imposed upon such holder by the United States or any political subdivision or taxing authority thereof or therein (other than any territory or possession) upon or as a result of such payment, will not be less than the amount provided for in such Note and the coupons appertaining thereto; provided, however, that the foregoing obligation to pay Additional Amounts shall not apply to:
(a)
any tax, assessment, or other governmental charge which would not have been so imposed but for:

(i)
the existence of any present or former connection between such holder (or between a fiduciary, settlor, beneficiary, member, or stockholder of, or a person holding a power over, such holder, if such holder is an estate, trust, partnership, or corporation) and the United States or any of its possessions, including, without limitation, such holder (or such fiduciary, settlor, beneficiary, member, stockholder, or person holding a power) being or having been a citizen or resident or treated as a resident thereof or being or having been engaged in a trade or business therein or being or having been present therein or having or having had a permanent establishment therein or having or having had a qualified business unit which has the U.S. Dollar as its functional currency;

(ii)
such holder's present or former status as a personal holding company, foreign personal holding company, passive foreign investment company, private foundation, or other tax-exempt entity, or controlled foreign corporation for United States tax purposes or a corporation which accumulates earnings to avoid United States federal income tax; or

(iii)
such holder's status as a bank extending credit pursuant to a loan agreement entered into in the ordinary course of business;

(b)
any tax, assessment, or governmental charge that would not have been so imposed but for the failure of the holder to comply with certification, identification, or information reporting requirements under United States income tax laws, without regard to any tax treaty, with respect to the payment, concerning the nationality, residence, identity, or connection with the United States or any of its possessions of the holder or a beneficial owner of such Note or Coupon, if such compliance is required by United States income tax laws, without regard to any tax treaty, as a precondition to relief or exemption from such tax, assessment, or governmental charge;

(c)
any tax, assessment, or governmental charge that would not have been so imposed but for the presentation by the holder of such Note or Coupon for payment on a date more than 30 calendar days after the date on which such payment became due and payable or the date on which payment thereof is duly provided for, whichever occurs later;

(d)
any estate, inheritance, gift, sales, transfer, excise, wealth, or personal property tax or any similar tax, assessment, or governmental charge;

(e)
any tax, assessment, or governmental charge which is payable otherwise than by withholding by the Issuer or a Paying Agent from the payment of the principal of or interest on any Note or Coupon;

LN2-9694
 
39
 
 





(f)
any tax, assessment, or governmental charge imposed solely because the payment is to be made by a particular Paying Agent or a particular office of a Paying Agent and would not be imposed if made by another Agent or by another office of this Agent;

(g)
any tax, assessment, or other governmental charge imposed on interest received by a person holding, actually or constructively, 10.00 per cent. or more of the total combined voting power of all classes of stock of the Issuer entitled to vote;

(h)
any withholding or deduction imposed on a payment to an individual and required to be made pursuant to European Council Directive 2003/48/EC (the "Directive") or any law implementing or complying with, or introduced in order to conform to, such Directive;

(i)
any tax, assessment, or other government charge imposed on a payment of principal or interest (or any other payment) on any Note which is (i) a Dual Currency Note or (ii) a Note which is an Index Linked Note, Share Linked Note, GDR/ADR Linked Note, FX Linked Note, Commodity Linked Note, Fund Linked Note, Inflation Linked Note, Hybrid Note, Physical Delivery Note, or Note linked to other Underlying Asset(s) and in respect of which the holder may not receive at least 90 per cent. of the Specified Denomination per Note (or, in the case of a Partly Paid Note, 90 per cent. of the amount paid up in respect of such Note or, in the case of a Zero Coupon Note, 90 per cent. of the Amortized Face Amount of such Note), unless in each case the applicable Final Terms expressly provide that the Issuer will pay Additional Amounts with respect to such Note;

(j)
any Note presented for payment by or on behalf of a Noteholder who would have been able to avoid such withholding or deduction by presenting the relevant Note to another Paying Agent in a member state of the European Union;

(k)
any tax, assessment, or other governmental charge that is imposed or withheld by reason of the application of section 1471 (or any successor provision) or section 1472 (or any successor provision) of the Code or any related administrative regulation or pronouncement;

(l)
any tax, assessment, or other governmental charge that is imposed or withheld by reason of the payment being treated as a dividend or "dividend equivalent" for United States tax purposes; or

(m)
any combination of items (a) through (l) above,

nor shall Additional Amounts be paid with respect to any payment of the principal of or interest on any Note or Coupon to a person other than the sole beneficial owner of such payment or that is a partnership or fiduciary to the extent either (i) such beneficial owner, member of such partnership or beneficiary or settlor with respect to such fiduciary would not have been entitled to the payment of Additional Amounts had such beneficial owner, member, beneficiary, or settlor been the Noteholder or Couponholder, or (ii) the Noteholder does not provide a statement, in the form, manner, and time required by applicable United States income tax laws, from such beneficial owner, member of such partnership or beneficiary or settlor with respect to such fiduciary concerning its nationality, residence, identity, or connection with the United States.
"United States Alien" means any corporation, partnership, entity, individual, or fiduciary that is for United States federal income tax purposes (1) a foreign corporation, (2) a foreign partnership to the extent one or more of the members of which is, for United States federal income tax purposes, a foreign

LN2-9694
 
40
 
 




corporation, a non-resident alien individual, or a foreign estate or trust, (3) a non-resident alien individual, or (4) a foreign estate or trust.
Except as specifically provided herein and in the Agency Agreement, the Issuer shall not be required to make any payment with respect to any tax, assessment, or other governmental charge imposed by any government or any political subdivision or taxing authority thereof or therein.
Whenever any Additional Amounts are to be paid on Notes or Coupons, the Issuer will give notice to the Principal Agent and the other Paying Agents, as provided in the Agency Agreement.
9.
Prescription

The Notes, Receipts, and Coupons will become void unless presented for payment within a period of five years after the date on which such payment first becomes due (the "Relevant Date"). However, if the full amount of the money payable has not been duly received by the Principal Agent or other relevant Paying Agent on or prior to the Relevant Date, then the Relevant Date shall mean the date on which, after the full amount of such money has been so received, notice to that effect is duly given to the Noteholders in accordance with Condition 14.
No Coupon sheet issued upon exchange of a Talon shall include a Coupon on which the claim for payment would be void pursuant to this Condition 9 or Condition 5(d) or any Talon which would be void pursuant to Condition 5(d).
10.
Events of Default

(a)
Events of Default in Relation to Senior Notes

The occurrence of any of the following events with respect to any Series of Senior Notes shall constitute an "Event of Default" with respect to such Series:
(i)
the Issuer shall fail to pay the principal amount or deliver the Entitlement (if any) of any of such Senior Notes when due whether at maturity or upon early redemption or otherwise; or

(ii)
the Issuer shall fail to pay any installment of interest, other amounts payable, or Additional Amounts on any of such Senior Notes for a period of 30 calendar days after the due date; or

(iii)
the Issuer shall fail duly to perform or observe any other term, covenant, or agreement applicable to such Senior Notes contained in any of such Senior Notes or in the Agency Agreement for a period of 90 calendar days after the date on which written notice of such failure, requiring the Issuer to remedy the same, shall first have been given to the Issuer and the Principal Agent by the Noteholders of at least 33.00 per cent. in aggregate principal amount of such Senior Notes at the time outstanding; provided, however, that in the event the Issuer within the aforesaid period of 90 calendar days shall commence legal action in a court of competent jurisdiction seeking a determination that the Issuer had not failed duly to perform or observe the term or terms, covenant or covenants, or agreement or agreements specified in the aforesaid notice, such failure shall not be an Event of Default unless the same continues for a period of ten calendar days after the date of any final determination to the effect that the Issuer had failed to duly perform or observe one or more of such terms, covenants, or agreements; or

(iv)
a court having jurisdiction in the premises shall enter a decree or order for relief in respect of the Issuer in an involuntary case or proceeding under any applicable bankruptcy, insolvency,

LN2-9694
 
41
 
 




reorganization, or other similar law now or hereafter in effect, or appointing a receiver, liquidator, conservator, assignee, custodian, trustee, sequestrator (or similar official) of the Issuer or for any substantial part of its property or ordering the winding-up or liquidation of its affairs and such decree or order shall remain unstayed and in effect for a period of 60 consecutive calendar days; o

(v)
the Issuer shall commence a voluntary case or proceeding under any applicable bankruptcy, insolvency, liquidation, receivership, reorganization, or other similar law now or hereafter in effect, or shall consent to the entry of an order for relief in an involuntary case under any such law, or shall consent to the appointment of or taking possession by a receiver, liquidator, conservator, assignee, trustee, custodian, sequestrator (or similar official) of the Issuer or for any substantial part of its property, or shall make any general assignment for the benefit of creditors, or shall admit in writing its inability to pay its debts as they become due or shall take any corporate action in furtherance of any of the foregoing.

(b)
Events of Default in Relation to Subordinated Notes

The occurrence of any of the following events with respect to any Series of Subordinated Notes shall constitute an "Event of Default" with respect to such Series:
(i)
a court having jurisdiction in the premises shall enter a decree or order for relief in respect of the Issuer in an involuntary case or proceeding under any applicable bankruptcy, insolvency, reorganization, or other similar law now or hereafter in effect, or appointing a receiver, liquidator, conservator, assignee, custodian, trustee, sequestrator (or similar official) of the Issuer or for any substantial part of its property or ordering the winding-up or liquidation of its affairs and such decree or order shall remain unstayed and in effect for a period of 60 consecutive calendar days; or

(ii)
the Issuer shall commence a voluntary case or proceeding under any applicable bankruptcy, insolvency, liquidation, receivership, reorganization, or other similar law now or hereafter in effect, or shall consent to the entry of an order for relief in an involuntary case under any such law, or shall consent to the appointment of or taking possession by a receiver, liquidator, conservator, assignee, trustee, custodian, sequestrator (or similar official) of the Issuer or for any substantial part of its property, or shall make any general assignment for the benefit of creditors, or shall admit in writing its inability to pay its debts as they become due or shall take any corporate action in furtherance of any of the foregoing.

(c)
Acceleration of Notes, Notices, Certain Calculations, and Amounts to be Paid

If an Event of Default shall occur and be continuing with respect to any Series of Notes, then the holder of any Notes of the applicable Series, at such holder's option, by written notice to the Issuer and the Principal Agent, may declare the principal of such Note, the interest accrued, or any other amounts then payable thereon (and Additional Amounts, if any, thereon) to be due and payable immediately and if any such Event of Default shall continue at the time of receipt of such written notice, such amounts shall become immediately due and payable, subject to the qualification in bold-type immediately below. Upon payment of such amount of principal, interest, or any other amounts payable (and Additional Amounts, if any), all of the Issuer's obligations in respect of payment of principal of, interest, or any other amounts payable (and Additional Amounts, if any) on such Note shall terminate. Interest on overdue principal, interest, or any other amounts payable (and Additional

LN2-9694
 
42
 
 




Amounts, if any) shall accrue from the date on which such principal, interest, or any other amounts payable (and Additional Amounts, if any) were due and payable to the date such principal, interest, or any other amounts payable (and Additional Amounts, if any) are paid or duly provided for, at the rate borne by the Notes (to the extent payment of such interest shall be legally enforceable).
Payment of principal, the interest accrued, or any other amounts then payable thereon (and Additional Amounts, if any) of the Subordinated Notes may not be accelerated in the case of a default in the payment of principal, interest, or any other amounts then payable or the performance of any other covenant of the Issuer. Payment of the principal, the interest accrued, or any other amounts then payable thereon (and Additional Amounts, if any) of the Subordinated Notes may be accelerated only in the case of the bankruptcy or insolvency of the Issuer.
If an Event of Default with respect to the Notes, or an event which, with the passing of time or the giving of notice, or both, would be an Event of Default, shall occur and be continuing, the Issuer shall notify the Principal Agent in writing of such Event of Default no later than the following Business Day after it becomes aware of such Event of Default, and the Principal Agent thereupon promptly shall notify all of the relevant Noteholders of such Event of Default.
If any Note shall become so repayable, it shall be repaid at its Early Redemption Amount (as defined in Condition 6(f)) together, if appropriate, with accrued interest thereon, such interest to accrue and be paid in accordance with Condition 4.
11.
Replacement of Notes, Receipts, Coupons, and Talons

Should any Note (including any Registered Certificate representing such Registered Note), Receipt, Coupon, or Talon be lost, stolen, mutilated, defaced, or destroyed, it may be replaced at the specified office of the Principal Agent in London (or such other place outside the United States and its possessions as may be notified to Noteholders) (in the case of Bearer Notes, Receipts, Coupons or Talons) and of the Registrar (in the case of Registered Certificates) or such other Paying Agent or Transfer Agent, as the case may be, as may from time to time be designated by the Issuer for the purpose and notice of whose designation is given to Noteholders, upon payment by the claimant of such costs and expenses as may be incurred in connection therewith and on such terms as to evidence and indemnity as the Issuer may reasonably require. Mutilated or defaced Notes, Receipts, Coupons, or Talons must be surrendered before replacements will be issued.
12.
Agent and Paying Agents

Bank of America, N.A. (operating through its London Branch) of 5 Canada Square, London E14 5AQ, United Kingdom shall be the initial Principal Agent. Merrill Lynch International Bank Limited of Dublin Road, Carrick on Shannon, Ireland shall be the Registrar and Transfer Agent.
The Issuer is entitled to vary or terminate the appointment of any Paying Agent, the Registrar, or Transfer Agent and to appoint an alternative Principal Agent or other Paying Agents, Registrars, or Transfer Agents and approve any change in the specified office through which any Paying Agent, Registrar or Transfer Agent acts, provided that:
(a)
so long as the Notes are listed on any stock exchange, there will at all times be a Paying Agent with a specified office in such place as may be required by the rules and regulations of the relevant stock exchange;

(b)
there will at all times be a Paying Agent with a specified office in a city in continental Europe;

LN2-9694
 
43
 
 





(c)
there will at all times be a Principal Agent;

(d)
the Issuer will maintain a Paying Agent in a member state of the European Union that will not be obliged to withhold or deduct tax pursuant to the Directive (as defined in Condition 8) or any law implementing or complying with, or introduced in order to conform to, such Directive; and

(e)
there will at all times be a Transfer Agent and a Registrar with a specified office in continental Europe (outside the United Kingdom).

In addition, the Issuer shall immediately appoint a Paying Agent having a specified office in New York City in the circumstances described in Condition 5(c). Any variation, termination, appointment, or change shall take effect only (other than in the case of insolvency, when it shall be of immediate effect) after not less than 30 nor more than 45 calendar days' prior notice thereof shall have been given to the Noteholders in accordance with Condition 14.
13.
Exchange of Talons

On and after the Fixed Interest Payment Date or the Interest Payment Date, as appropriate, on which the final Coupon comprised in any Coupon sheet matures, the Talon, if any, forming part of such Coupon sheet, may be surrendered at the specified office of the Principal Agent or any other Paying Agent in exchange for a further Coupon sheet including (if such further Coupon sheet does not include Coupons to (and including) the final date for the payment of interest due in respect of the Note to which it appertains) a further Talon, subject to the provisions of Condition 9. Each Talon, for purposes of these Terms and Conditions, shall be deemed to mature on the Fixed Interest Payment Date or the Interest Payment Date (as the case may be) on which the final Coupon comprised in the relative Coupon sheet matures.
14.
Notices

Notices to the holders of Registered Notes shall be (a) mailed to them (or, in the case of joint holders, to the first named) at their respective addresses in the Register and (b) save where another means of effective communication has been specified herein or in the Final Terms, published (i) in the case of any Registered Notes which are admitted to trading on the London Stock Exchange's Regulated Market (so long as the rules of that exchange so require), in a leading newspaper having general circulation in London (which is expected to be the Financial Times), or, if such publication is not practicable, published in a leading English language daily newspaper having general circulation in Europe, or (ii) in the case of Registered Notes which are admitted to listing, trading, and/or quotation by any other listing authority, stock exchange, and/or quotation system (so long as the rules of such listing authority, stock exchange, and/or quotation system so require), in a leading daily newspaper having general circulation in London (which is expected to be the Financial Times) and in such other place or manner as may be required by the rules and regulations of such listing authority, stock exchange, and/or quotation system.
Notices to the holders of Registered Notes shall be deemed to have been given on the fourth weekday (being a day other than a Saturday or Sunday) after the later of the date of mailing and (if applicable) the date of publication (or if required to be published in more than one newspaper, the first date on which publication shall have been made in all required newspapers).
Notices to the holders of Bearer Notes shall be, save where another means of effective communication has been specified herein or in the Final Terms, published in a leading newspaper having general circulation in London (which is expected to be the Financial Times), or, if such publication is not practicable, published

LN2-9694
 
44
 
 




in a leading English language daily newspaper having general circulation in Europe provided that (A) in the case of any Bearer Notes which are admitted to trading on the London Stock Exchange's Regulated Market (so long as the rules of that exchange so require), in a leading newspaper having general circulation in London (which is expected to be the Financial Times), or, if such publication is not practicable, in a leading English language daily newspaper having general circulation in Europe, or (B) in the case of Bearer Notes which are admitted to listing, trading, and/or quotation by any other listing authority, stock exchange, and/or quotation system (so long as the rules of such listing authority, stock exchange, and/or quotation system so require), in a leading daily newspaper having general circulation in London (which is expected to be the Financial Times) and in such other place as may be required by the rules and regulations of such listing authority, stock exchange, and/or quotation system.
Notices to the holders of Bearer Notes shall be deemed to have been given on the date of publication (or, if required to be published in more than one newspaper, the first date on which publication shall have been made in all required newspapers). Couponholders shall be deemed for all purposes to have notice of the contents of any notice given to the holders of Bearer Notes in accordance with this Condition 14.
For so long as the Global Notes are held in their entirety on behalf of the Relevant Clearing System and until such time as any Definitive Notes are issued, if any are issued, there may be substituted for such publication in such newspaper the delivery of the relevant notice to the Relevant Clearing System for communication by them to the Noteholders and, in addition, so long as the Notes are listed on a stock exchange or are admitted to trading by another relevant authority and the rules of that stock exchange or relevant authority so require, notices will be published in a daily newspaper of general circulation in a place or places required by those rules. Any such notice to the Relevant Clearing System shall be deemed to have been given to Noteholders on the Business Day after the day on which that notice was given to the Relevant Clearing System.
Notices to be given by any Noteholder shall be in writing and given by lodging the same, together with the related Note or Notes, with the Principal Agent. While any of the Notes are represented by a Global Note, that notice may be given by any Noteholder to the Principal Agent through the Relevant Clearing System, in such manner as the Principal Agent and the Relevant Clearing System may approve for this purpose.
15.
Meetings of Noteholders, Modification, and Waiver

The Agency Agreement contains provisions for convening meetings of the Noteholders to consider any matter affecting their interests, including approving by Extraordinary Resolution (as defined in the Agency Agreement), a modification of the Notes, the Receipts, the Coupons, or certain provisions of the Agency Agreement. Such a meeting may be convened by the Issuer or Noteholders holding not less than 33.00 per cent. in principal amount of the Notes of the relevant Series that at such time remain outstanding. The quorum at any such meeting for passing an Extraordinary Resolution is one or more persons holding or representing a clear majority in principal amount of the Notes of the relevant Series that at such time remain outstanding, or at any adjourned meeting one or more persons being or representing Noteholders whatever the principal amount of the Notes so held or represented, except that at any meeting the business of which includes the modification of certain provisions of the Notes, Receipts, or Coupons (including modifying the date of maturity of the Notes or any date for payment of interest thereon, reducing or cancelling the amount of principal or the rate of interest payable in respect of the Notes or altering the currency of payment of the Notes, Receipts, or Coupons), the necessary quorum for passing an Extraordinary Resolution will be one or more persons holding or representing not less than two-thirds, or at any adjourned such meeting not less than one-third, in principal amount of the Notes of the relevant Series that at such time remain outstanding. An Extraordinary Resolution passed at any

LN2-9694
 
45
 
 




meeting of the Noteholders shall be binding on all the Noteholders, whether or not they are present at the meeting, and on all related Receiptholders and Couponholders.
Without the consent of the Noteholders, Receiptholders, or Couponholders, the Principal Agent and the Issuer may agree to modifications of or amendments to the Agency Agreement, the Notes, the Receipts, or the Coupons for any of the following purposes:
(a)
to evidence the succession of another entity to the Issuer and the assumption by any such successor of the covenants of the Issuer in the Agency Agreement, the Notes, Receipts, or Coupons;

(b)
to add to the covenants of the Issuer for the benefit of the Noteholders, the Receiptholders, or the Couponholders, or to surrender any right or power herein conferred upon the Issuer;

(c)
to relax or eliminate the restrictions on payment of principal and interest in respect of the Notes, Receipts, or Coupons in the United States or its possessions, provided that such payment is permitted by United States tax laws and regulations then in effect and provided that no adverse tax consequences would result to the Noteholders, the Receiptholders, or the Couponholders;

(d)
to cure any ambiguity, to correct or supplement any defective provision herein or any provision which may be inconsistent with any other provision herein;

(e)
to make any other provisions with respect to matters or questions arising under the Notes, the Receipts, the Coupons, or the Agency Agreement, provided such action pursuant to this sub-paragraph (e) shall not adversely affect the interests of the Noteholders, the Receiptholders, or the Couponholders;

(f)
to facilitate the issuance of Notes in accordance with the laws of a particular jurisdiction; and

(g)
to permit further issuances of Notes in accordance with the terms of the Program Agreement.

Any such modification or amendment shall be binding on the Noteholders, the Receiptholders, and the Couponholders and any such modification or amendment shall be notified to the Noteholders, the Receiptholders, or the Couponholders in accordance with Condition 14 as soon as practicable thereafter.
16.
Merger, Consolidation, Sale, Conveyance and Assumption

Any entity into which the Principal Agent or any Agent may be merged or converted, or any entity with which the Principal Agent or any of the Principal Agents may be consolidated or any entity resulting from any merger, conversion, or consolidation to which the Principal Agent or any of the Agents shall be a party, or any entity to which the Principal Agent or any Agent shall sell or otherwise transfer all or substantially all the assets of the Principal Agent or any Agent shall become, on the date when such merger, conversion, consolidation, or transfer becomes effective and to the extent permitted by any applicable laws, the successor Principal Agent or, as the case may be, Agent under the Agency Agreement without the execution or filing of any paper or any further act on the part of the parties to the Agency Agreement, unless otherwise required by the Issuer, and after the effective date all references in the Agency Agreement to the Principal Agent or, as the case may be, such Agent shall be deemed to be references to such entity. Written notice of any such merger, conversion, consolidation, or transfer shall be given immediately to the Issuer by the relevant Principal Agent or Agent.

LN2-9694
 
46
 
 




17.
Additional Issuances

The Issuer from time to time without the consent of the relevant Noteholders, Receiptholders, or Couponholders may create and issue additional Series of Notes having terms and conditions the same as (or the same in all respects except for the Issue Date, Interest Commencement Date, and the Issue Price) Notes of an existing Series. These additional Notes shall be consolidated and form a single Series with the outstanding Notes of the existing Series.
18.
Governing Law and Submission to Jurisdiction

The Agency Agreement, the Notes, and any Coupons, Receipts, and Talons appertaining to the Notes shall be governed by and construed in accordance with the laws of the State of New York, United States, applicable to agreements made and to be performed wholly within such jurisdiction without regard to principles of conflicts of laws.
The Issuer submits to the non-exclusive jurisdiction of any United States federal court sitting in New York City, the Borough of Manhattan, solely for purposes of any legal action or proceeding brought to enforce its obligations under the Agency Agreement, the Notes, or any Coupon, Receipt, or Talon. As long as any Note or Coupon remains outstanding, the Issuer shall either maintain an office or have an authorized agent in New York City upon whom process may be served in any such legal action or proceeding. Service of process upon the Issuer at its office or upon such agents with written notice of such service mailed or delivered to the Issuer shall to the fullest extent permitted by applicable law be deemed in every respect effective service of process upon the Issuer in any such legal action or proceeding. The Issuer continues the appointment of CT Corporation System at 111 Eighth Avenue, New York, New York 10011 as its agent upon whom process may be served in any suit, action, or proceeding relating to or arising out of the Agency Agreement, the Notes or any Coupon, Receipt, or Talon appertaining hereto, and with a copy to the Issuer at Bank of America Corporation, Bank of America Corporate Center, NC 1-007-06-10, 100 North Tryon Street, Charlotte, North Carolina 28255-0065, Attn: Corporate Treasury Global Funding Transaction Management, and with an additional copy to Bank of America Corporation, Legal Department, NC1-027-20-05, 214 North Tryon Street, Charlotte, North Carolina 28255-0065, Attn: General Counsel.

LN2-9694
 
47
 
 




EXHIBIT 2
PRODUCT ANNEXES
ANNEX 1
ADDITIONAL TERMS AND CONDITIONS FOR INDEX LINKED NOTES

The terms and conditions applicable to Index Linked Notes shall comprise the Terms and Conditions of the Notes and the additional Terms and Conditions set out below (the "Index Linked Conditions"), in each case subject to completion and/or amendment in the applicable Final Terms. In the event of any inconsistency between the Terms and Conditions of the Notes and the Index Linked Conditions, the Index Linked Conditions shall prevail. In the event of any inconsistency between (i) the Terms and Conditions of the Notes and/or the Index Linked Conditions and (ii) the Final Terms, the Final Terms shall prevail.
1.
Definitions

For the purposes of these Index Linked Conditions:
"Averaging Cut-Off Date" means the eighth Scheduled Trading Day (or, where the Index Linked Notes relate to a Basket of Indices and the applicable Final Terms provides that "Common Scheduled Trading Days" shall be applicable, the eighth Common Scheduled Trading Day) immediately following the original date that, but for the occurrence of another Averaging Date or Disrupted Day, or on account of such date not being a Scheduled Trading Day (or, where the Index Linked Notes relate to a Basket of Indices and the applicable Final Terms provides that "Common Scheduled Trading Days" shall be applicable, a Common Scheduled Trading Day), would have been the final Averaging Date, or, if earlier, the Scheduled Trading Day (or, where the Index Linked Notes relate to a Basket of Indices and the applicable Final Terms provides that "Common Scheduled Trading Days" shall be applicable, the Common Scheduled Trading Day) falling on or immediately preceding the second Business Day immediately preceding the date on which payment of any amount or delivery of any assets may have to be made pursuant to any calculation or determination made on the relevant Averaging Dates, provided that the Averaging Cut-Off Date shall not fall prior to the original date on which the final Averaging Date was scheduled to fall.
"Averaging Date" means each date specified as an Averaging Date in the applicable Final Terms or, if any such date is not a Scheduled Trading Day, the immediately following Scheduled Trading Day (or, where the Index Linked Notes relate to a Basket of Indices and the applicable Final Terms provides that "Common Scheduled Trading Days" shall be applicable, the immediately following Common Scheduled Trading Day) or, if earlier, the Averaging Cut-Off Date. If any such day is a Disrupted Day:
(a)
if "Omission" is specified as applying in the applicable Final Terms, then such date will be deemed not to be an Averaging Date for the purposes of determining the relevant level or price provided that, if through the operation of this provision there would not be an Averaging Date, then the provisions of the definition of "Valuation Date" will apply for purposes of determining the relevant level or price on the final Averaging Date, as if such final Averaging Date were a Valuation Date that was a Disrupted Day; or


LN2-9694
 
48
 
 




(b)
if "Postponement" is specified as applying in the applicable Final Terms, then the provisions of the definition of "Valuation Date" will apply for the purposes of determining the relevant level or price on that Averaging Date as if such Averaging Date were a Valuation Date that was a Disrupted Day irrespective of whether, pursuant to such determination, that deferred Averaging Date would fall on a day that already is or is deemed to be an Averaging Date; or

(c)
if "Modified Postponement" is specified as applying in the applicable Final Terms then:

(i)
where the Index Linked Notes relate to a single Index, the Averaging Date shall be the first succeeding Valid Date. If the first succeeding Valid Date has not occurred as of the Valuation Time on the Averaging Cut-Off Date or if such Averaging Date falls on the Averaging Cut-Off Date owing to the original date on which it was scheduled to fall not being a Scheduled Trading Day for the Index, then (A) the Averaging Cut-Off Date shall be deemed to be the Averaging Date (irrespective of whether the Averaging Cut-Off Date is already an Averaging Date), and (B) the Calculation Agent shall determine the relevant level or price for that Averaging Date in accordance with sub-paragraph (a)(ii) of the definition of "Valuation Date" below;

(ii)
where the Index Linked Notes relate to a Basket of Indices and the applicable Final Terms provides that "Common Scheduled Trading Days" shall not be applicable, the Averaging Date for each Index not affected by the occurrence of a Disrupted Day shall be the originally designated Averaging Date (following adjustment of such date owing to the original date not being a Scheduled Trading Day, if applicable) (the "Scheduled Averaging Date") and the Averaging Date for an Index affected by the occurrence of a Disrupted Day shall be the first succeeding Valid Date in relation to such Index. If the first succeeding Valid Date in relation to such Index has not occurred as of the Valuation Time on the Averaging Cut-Off Date or if such Averaging Date falls on the Averaging Cut-Off Date owing to the original date on which it was scheduled to fall not being a Scheduled Trading Day for the Index, then (A) the Averaging Cut-Off Date shall be deemed to be the Averaging Date (irrespective of whether the Averaging Cut-Off Date is already an Averaging Date) in relation to such Index, and (B) the Calculation Agent shall determine the relevant level or price for that Averaging Date in accordance with sub-paragraph (b)(ii) of the definition of "Valuation Date" below;

(iii)
where the Index Linked Notes relate to a Basket of Indices and the applicable Final Terms provides that "Common Scheduled Trading Days" and "Individual Disrupted Days" shall be applicable, the Averaging Date for each Index not affected by the occurrence of a Disrupted Day shall be the originally designated Averaging Date (following adjustment of such date owing to the original date not being a Common Scheduled Trading Day, if applicable) (the "Scheduled Averaging Date") and the Averaging Date for an Index affected by the occurrence of a Disrupted Day shall be the first succeeding Valid Date in relation to such Index. If the first succeeding Valid Date in relation to such Index has not occurred as of the Valuation Time on the Averaging Cut-Off Date or if such Averaging Date falls on the Averaging Cut-Off Date owing to the original date on which it was scheduled to fall not being a Common Scheduled Trading Day for the Index, then (A) the Averaging Cut-Off Date shall be deemed to be the Averaging Date (irrespective of whether the Averaging Cut-Off Date is already an Averaging Date) in relation to such Index, and (B) the Calculation Agent shall determine the relevant level or price for that Averaging Date in accordance with sub-paragraph (c)(ii) of the definition of "Valuation Date" below; or


LN2-9694
 
49
 
 




(iv)
where the Index Linked Notes relate to a Basket of Indices and the applicable Final Terms provides that "Common Scheduled Trading Days" and "Common Disrupted Days" shall be applicable, the Averaging Date for each Index shall be the first succeeding Common Valid Date in relation to such Index. If the first succeeding Common Valid Date has not occurred as of the Valuation Time on the Averaging Cut-Off Date or if such Averaging Date falls on the Averaging Cut-Off Date owing to the original date on which it was scheduled to fall not being a Common Scheduled Trading Day, then (A) the Averaging Cut-Off Date shall be deemed to be the Averaging Date (irrespective of whether the Averaging Cut-Off Date is already an Averaging Date), and (B) the Calculation Agent shall determine the relevant level or price for that Averaging Date in accordance with sub-paragraph (d)(ii) of the definition of "Valuation Date" below,

and, for the purposes of these Index Linked Conditions "Valid Date" means a Scheduled Trading Day that is not a Disrupted Day and on which another Averaging Date does not or is deemed not to occur, and "Common Valid Date" means a Common Scheduled Trading Day that is not a Disrupted Day for any Index, and on which another Averaging Date does not or is deemed not to occur.
"Barrier Event Determination Day" means, in respect of each Index:
(a)
if the applicable Final Terms provides that the Barrier Event (intraday) provisions shall apply, unless otherwise specified in the applicable Final Terms, each day on which the level of such Index is published and/or disseminated by the Index Sponsor during the relevant Observation Period, regardless of whether or not such day is a Scheduled Trading Day for such Index (and if the Calculation Agent in its sole and absolute discretion determines that a Market Disruption Event is occurring for such Index at any time on any Barrier Event Determination Day, it shall disregard the period during which it determines in its sole and absolute discretion that such Market Disruption Event has occurred and is continuing for the purposes of determining whether or not a Barrier Event (intraday) has occurred); or

(b)
if the applicable Final Terms provides that the Barrier Event (closing) provisions shall apply, each day specified as such in the applicable Final Terms.

"Barrier Event Valuation Time (closing)" means:

(a)
in relation to an Index which is specified in the applicable Final Terms as being a Unitary Index, the Scheduled Closing Time on the relevant Exchange on the relevant Barrier Event Determination Day, as the case may be, in relation to each Index to be valued. If the relevant Exchange closes prior to its Scheduled Closing Time and the specified Barrier Event Valuation Time (closing) is after the actual closing time for its regular trading session, then the Barrier Event Valuation Time (closing) shall be such actual closing time;

(b)
in relation to an Index which is specified in the applicable Final Terms as being a Multi-Exchange Index, (i) for the purposes of determining whether a Market Disruption Event has occurred: (A) in respect of any Component Security, the Scheduled Closing Time on the relevant Exchange and (B) in respect of any options contracts or futures contracts on the Index, the close of trading on the relevant Related Exchange, and (ii) in all other circumstances, the time at which the official closing level of the Index is calculated and published by the Index Sponsor; or

(c)
in relation to an Index which is specified in the applicable Final Terms as being a Proprietary Index, the time at which the Index Sponsor calculates and publishes the official closing level of the Index.

LN2-9694
 
50
 
 





"Barrier Event Valuation Time (intraday)" means any time during the regular trading session (without regard to any after hours or any other trading outside of the regular session) on the relevant Exchange.
"Barrier Level" means, in respect of an Index, such level for such Index as is specified in the applicable Final Terms.
"Basket of Indices" means, subject to adjustment in accordance with these Index Linked Conditions, a basket composed of indices in their relative proportions or number of indices, as specified in the applicable Final Terms.
"Common Scheduled Trading Day" means, in respect of a Basket of Indices, each day which is a Scheduled Trading Day for all the Indices in the Basket of Indices.
"Component Security" means, in respect of an Index, any share or other component security included in such Index as determined by the Calculation Agent and related expressions shall be construed accordingly.
"Disrupted Day" means:
(a)
in relation to an Index which is specified in the applicable Final Terms as being a Unitary Index, any Scheduled Trading Day on which a relevant Exchange or any Related Exchange fails to open for trading during its regular trading session or on which a Market Disruption Event has occurred;

(b)
in relation to an Index which is specified in the applicable Final Terms as being a Multi-Exchange Index, any Scheduled Trading Day on which (i) the Index Sponsor fails to publish the level of the Index (provided that the Calculation Agent may, in its discretion, determine that such event instead results in the occurrence of an Index Disruption), (ii) the Related Exchange fails to open for trading during its regular trading session or (iii) a Market Disruption Event has occurred; or

(c)
in relation to an Index which is specified in the applicable Final Terms as being a Proprietary Index, any Scheduled Trading Day on which a Market Disruption Event has occurred (provided that the Calculation Agent may, in its discretion, determine that such event instead results in the occurrence of an Index Disruption).

"Early Closure" means:
(a)
in relation to an Index which is specified in the applicable Final Terms as being a Unitary Index, the closure on any Exchange Business Day of any relevant Exchange(s) relating to securities that comprise 20 per cent. or more of the level of the relevant Index or any Related Exchange(s) prior to its Scheduled Closing Time unless such earlier closing time is announced by such Exchange(s) or Related Exchange(s) at least one hour prior to the earlier of (i) the actual closing time for the regular trading session on such Exchange(s) or Related Exchange(s) on such Exchange Business Day and (ii) the submission deadline for orders to be entered into the Exchange or Related Exchange system for execution at the Valuation Time on such Exchange Business Day; or


LN2-9694
 
51
 
 




(b)
or in relation to an Index which is specified in the applicable Final Terms as being a Multi-Exchange Index, the closure on any Exchange Business Day of the Exchange in respect of any Component Security or the Related Exchange prior to its Scheduled Closing Time unless such earlier closing is announced by such Exchange or Related Exchange, as the case may be, at least one hour prior to the earlier of (i) the actual closing time for the regular trading session on such Exchange or Related Exchange, as the case may be, on such Exchange Business Day, or (ii) the submission deadline for orders to be entered into on the relevant Exchange or Related Exchange system for execution at the relevant Valuation Time on such Exchange Business Day.

"Exchange" means:
(a)
in relation to an Index which is specified in the applicable Final Terms as being a Unitary Index, each exchange or quotation system specified as such for such Index in the applicable Final Terms, any successor to such exchange or quotation system or any substitute exchange or quotation system to which trading in the securities comprising such Index has temporarily relocated (provided that the Calculation Agent has determined that there is comparable liquidity relative to the securities comprising such Index on such temporary substitute exchange or quotation system as on the original Exchange); or

(b)
in relation to an Index which is specified in the applicable Final Terms as being a Multi-Exchange Index, in respect of each Component Security, the principal stock exchange on which such Component Security is principally traded, as determined by the Calculation Agent.

"Exchange Business Day" means (a) where the relevant Index is specified in the applicable Final Terms to be a Unitary Index, any Scheduled Trading Day on which each Exchange and each Related Exchange are open for trading during their respective regular trading sessions, notwithstanding any such Exchange or Related Exchange closing prior to its Scheduled Closing Time or (b) where the relevant Index is specified in the applicable Final Terms to be a Multi-Exchange Index, any Scheduled Trading Day on which (i) the Index Sponsor publishes the level of the Index, and (ii) the Related Exchange is open for trading during its regular trading session, notwithstanding the Related Exchange closing prior to its Scheduled Closing Time.
"Exchange Disruption" means:
(a)
in relation to an Index which is specified in the applicable Final Terms as being a Unitary Index, any event (other than an Early Closure) that disrupts or impairs (as determined by the Calculation Agent) the ability of market participants in general (i) to effect transactions in, or obtain market values for, on any relevant Exchange(s) in securities that comprise 20 per cent. or more of the level of the relevant Index, or (ii) to effect transactions in, or obtain market values for, futures or options contracts relating to the relevant Index on any relevant Related Exchange; or

(b)
in relation to an Index which is specified in the applicable Final Terms as being a Multi-Exchange Index, any event (other than an Early Closure) that disrupts or impairs (as determined by the Calculation Agent) the ability of market participants in general to effect transactions in, or obtain market values for: (i) any Component Security on the Exchange in respect of such Component Security; or (ii) futures or options contracts relating to the Index on the relevant Related Exchange.

"Final Level" means, in respect of an Index, unless otherwise specified in the applicable Final Terms, the Index Closing Level of such Index on the Valuation Date, subject to adjustment in accordance with these Index Linked Conditions.

LN2-9694
 
52
 
 




"Index" and "Indices" mean, subject to adjustment in accordance with these Index Linked Conditions, the indices or index specified in the applicable Final Terms and related expressions shall be construed accordingly.
"Index Closing Level" means, in respect of an Index and any relevant date, subject to these Index Linked Conditions, an amount equal to the official closing level (which shall be deemed to be an amount in the Index Currency) of such Index as determined by the Calculation Agent on such date.
"Index Currency" means, in respect of an Index, the index currency specified in the applicable Final Terms.
"Index Level" means, in respect of an Index and a time on any day, and subject to these Index Linked Conditions, the level of such Index at such time on such day as determined by the Calculation Agent.
"Index Performance" means, unless otherwise specified in the applicable Final Terms, in respect of an Index and any relevant date, an amount (expressed as a percentage) determined by the Calculation Agent as being equal to (a) the Index Closing Level of such Index on such date, divided by (b) the Initial Level of such Index.
"Index Sponsor" means, in relation to an Index, the corporation or other entity that (a) is responsible for setting and reviewing the rules and procedures and the methods of calculation and adjustments, if any, related to such Index and (b) announces (directly or through an agent) the level of such Index on a regular basis during each Scheduled Trading Day, which as of the Issue Date is the index sponsor specified for such Index in the applicable Final Terms.
"Initial Level" means, in respect of an Index, unless otherwise specified in the applicable Final Terms, the Index Closing Level of such Index on the Strike Date, subject to adjustment in accordance with these Index Linked Conditions.
"Multi-Exchange Index" means any Index for which the "Type of Index" is specified as such in the applicable Final Terms, or, if not specified, any Index the Calculation Agent determines as such.
"Observation Cut-Off Date" means the eighth Scheduled Trading Day (or, where the Index Linked Notes relate to a Basket of Indices and the applicable Final Terms provides that "Common Scheduled Trading Days" shall be applicable, the eighth Common Scheduled Trading Day) immediately following the Scheduled Observation Date or, if earlier, the Scheduled Trading Day (or, where the Index Linked Notes relate to a Basket of Indices and the applicable Final Terms provides that "Common Scheduled Trading Days" shall be applicable, the Common Scheduled Trading Day) falling on or immediately preceding the second Business Day immediately preceding the date on which payment of any amount or delivery of any assets may have to be made pursuant to any calculation or determination made on such Observation Date, provided that the Observation Cut-Off Date shall not fall prior to the original date on which such Observation Date was scheduled to fall.
"Observation Date" means each Observation Date specified in the applicable Final Terms, or if such date is not a Scheduled Trading Day the immediately following Scheduled Trading Day (or, where the Index Linked Notes relate to a Basket of Indices and the applicable Final Terms provides that "Common Scheduled Trading Days" shall be applicable, the immediately following Common Scheduled Trading Day) or, if earlier, the Observation Cut-Off Date. If any such day is a Disrupted Day, then:
(a)
where the Index Linked Notes relate to a single Index, the Observation Date shall be the first succeeding Scheduled Trading Day that is not a Disrupted Day, unless each of the Scheduled Trading Days immediately following the Scheduled Observation Date up to, and including, the Observation Cut-

LN2-9694
 
53
 
 




Off Date is a Disrupted Day. In that case, or if such Observation Date falls on the Observation Cut-Off Date owing to the original date on which it was scheduled to fall not being a Scheduled Trading Day for the Index, (i) the Observation Cut-Off Date shall be deemed to be such Observation Date (notwithstanding the fact that such day may be a Disrupted Day) and (ii) the Calculation Agent shall determine the relevant level or price in the manner set out in the applicable Final Terms or, if not set out or if not practicable, determine the relevant level or price by determining the level of the Index as of the Valuation Time on the Observation Cut-Off Date in accordance with (subject to Index Linked Condition 4 below) the formula for and method of calculating the Index last in effect prior to the occurrence of the first Disrupted Day (A) in respect of a Unitary Index or Multi-Exchange Index, using the Exchange traded or quoted price as of the Valuation Time on the Observation Cut-Off Date of each security comprised in the Index (or, if an event giving rise to a Disrupted Day (as defined in the Share Linked Conditions in relation to a share) has occurred in respect of the relevant security on the Observation Cut-Off Date, its good faith estimate of the value for the relevant security as of the Valuation Time on the Observation Cut-Off Date), or (B) in respect of a Proprietary Index, using such levels or values as the Calculation Agent determines to be appropriate as of the Valuation Time on the Observation Cut-Off Date of each component comprised in the Index, or, if the value of any component cannot be determined at such time on such day, its good faith estimate of the value for the relevant component as of the Valuation Time on the Observation Cut-Off Date;

(b)
where the Index Linked Notes relate to a Basket of Indices and the applicable Final Terms provides that "Common Scheduled Trading Days" shall not be applicable, the Observation Date for each Index not affected by the occurrence of a Disrupted Day shall be the Scheduled Observation Date (or, if earlier, the Observation Cut-Off Date) and the Observation Date for each Index affected (each an "Affected Index") by the occurrence of a Disrupted Day shall be the first succeeding Scheduled Trading Day that is not a Disrupted Day relating to the Affected Index, unless each of the Scheduled Trading Days immediately following the Scheduled Observation Date up to, and including, the Observation Cut-Off Date is a Disrupted Day relating to the Affected Index. In that case, or if such Observation Date falls on the Observation Cut-Off Date for an Index owing to the original date on which it was scheduled to fall not being a Scheduled Trading Day for such Index, (i) the Observation Cut-Off Date shall be deemed to be the Observation Date for such Index (notwithstanding the fact that such day may be a Disrupted Day) and (ii) the Calculation Agent shall determine the relevant level or price using, in relation to such Index, the level of such Index determined in the manner set out in the applicable Final Terms or, if not set out or if not practicable, using the level of such Index as of the Valuation Time on the Observation Cut-Off Date in accordance with (subject to Index Linked Condition 4) the formula for and method of calculating such Index last in effect prior to the occurrence of the first Disrupted Day (A) in respect of a Unitary Index or Multi-Exchange Index, using the Exchange traded or quoted price as of the Valuation Time on the Observation Cut-Off Date of each security comprised in such Index (or, if an event giving rise to a Disrupted Day (as defined in the Share Linked Conditions in relation to a share) has occurred in respect of the relevant security on the Observation Cut-Off Date, its good faith estimate of the value for the relevant security as of the Valuation Time on the Observation Cut-Off Date), or (B) in respect of a Proprietary Index, using such levels or values as the Calculation Agent determines to be appropriate as of the Valuation Time on the Observation Cut-Off Date of each component comprised in the Index, or, if the value of any component cannot be determined at such time on such day, its good faith estimate of the value for the relevant component as of the Valuation Time on the Observation Cut-Off Date;

(c)
where the Index Linked Notes relate to a Basket of Indices and the applicable Final Terms provides that "Common Scheduled Trading Days" and "Individual Disrupted Days" shall be applicable, the Observation Date for each Index not affected by the occurrence of a Disrupted Day shall be the

LN2-9694
 
54
 
 




Scheduled Observation Date (or if the Scheduled Observation Date is not a Common Scheduled Trading Day, the immediately following Common Scheduled Trading Day, or in either case, if earlier, the Observation Cut-Off Date) and the Observation Date for each Index affected (each an "Affected Index") by the occurrence of a Disrupted Day shall be the first succeeding Scheduled Trading Day that is not a Disrupted Day relating to the Affected Index, unless each of the Scheduled Trading Days immediately following the Scheduled Observation Date (or if such Scheduled Observation Date is not a Common Scheduled Trading Day, the immediately following Common Scheduled Trading Day) up to, and including, the Observation Cut-Off Date is a Disrupted Day relating to the Affected Index. In that case, or if such Observation Date falls on the Observation Cut-Off Date owing to the original date on which it was scheduled to fall not being a Common Scheduled Trading Day, (i) the Observation Cut-Off Date shall be deemed to be the Observation Date for such Index (notwithstanding the fact that such day may be a Disrupted Day for an Index or not a Common Scheduled Trading Day) and (ii) the Calculation Agent shall determine the relevant level or price using, in relation to such Index, the level of such Index determined in the manner set out in the applicable Final Terms or, if not set out or if not practicable, using the level of such Index as of the Valuation Time on the Observation Cut-Off Date in accordance with (subject to Index Linked Condition 4) the formula for and method of calculating such Index last in effect prior to the occurrence of the first Disrupted Day (A) in respect of a Unitary Index or Multi-Exchange Index, using the Exchange traded or quoted price as of the Valuation Time on the Observation Cut-Off Date of each security comprised in such Index (or, if an event giving rise to a Disrupted Day (as defined in the Share Linked Conditions in relation to a share) has occurred in respect of the relevant security on the Observation Cut-Off Date, its good faith estimate of the value for the relevant security as of the Valuation Time on the Observation Cut-Off Date), or (B) in respect of a Proprietary Index, using such levels or values as the Calculation Agent determines to be appropriate as of the Valuation Time on the Observation Cut-Off Date of each component comprised in the Index, or, if the value of any component cannot be determined at such time on such day, its good faith estimate of the value for the relevant component as of the Valuation Time on the Observation Cut-Off Date; or

(d)
where the Index Linked Notes relate to a Basket of Indices and the applicable Final Terms provides that "Common Scheduled Trading Days" and "Common Disrupted Days" shall be applicable, the Observation Date shall be the first succeeding Common Scheduled Trading Day that is not a Disrupted Day for any Index, unless each of the Common Scheduled Trading Days immediately following the Scheduled Observation Date up to, and including, the Observation Cut-Off Date is a Disrupted Day for one or more Indices. In that case, or if such Observation Date falls on the Observation Cut-Off Date owing to the original date on which it was scheduled to fall not being a Common Scheduled Trading Day, (i) the Observation Cut-Off Date shall be deemed to be the Observation Date (notwithstanding the fact that such day may be a Disrupted Day for an Index or not a Common Scheduled Trading Day) and (ii) the Calculation Agent shall determine the relevant level or price using, in relation to each Index for which the Observation Cut-Off Date is a Disrupted Day or is not a Common Scheduled Trading Day, the level of such Index determined in the manner set out in the applicable Final Terms or, if not set out or if not practicable, using the level of such Index as of the Valuation Time on the Observation Cut-Off Date in accordance with (subject to Index Linked Condition 4) the formula for and method of calculating such Index last in effect prior to the occurrence of the first Disrupted Day (A) in respect of a Unitary Index or Multi-Exchange Index, using the Exchange traded or quoted price as of the Valuation Time on the Observation Cut-Off Date of each security comprised in each Index for which the Observation Cut-Off Date is a Disrupted Day or is not a Common Scheduled Trading Day (or, if an event giving rise to a Disrupted Day (as defined in the Share Linked Conditions in relation to a share) has occurred in respect of the relevant security on the Observation Cut-Off Date, its good faith estimate of the value for the relevant security as of the

LN2-9694
 
55
 
 




Valuation Time on the Observation Cut-Off Date), or (B) in respect of a Proprietary Index, using such levels or values as the Calculation Agent determines to be appropriate as of the Valuation Time on the Observation Cut-Off Date of each component comprised in the Index, or, if the value of any component cannot be determined at such time on such day, its good faith estimate of the value for the relevant component as of the Valuation Time on the Observation Cut-Off Date.

"Observation Period" means, in respect of an Index:
(a)
if the consequence of "Extension" is specified in the applicable Final Terms to be applicable, each period commencing on the Observation Period Start Date, following adjustment of such date pursuant to these Index Linked Conditions or as specified in the applicable Final Terms, if applicable (and including or excluding such Observation Period Start Date, as specified in the applicable Final Terms) and ending on the immediately following Observation Period End Date, following adjustment of such date pursuant to these Index Linked Conditions or as specified in the applicable Final Terms, if applicable (and including or excluding such Observation Period End Date, as specified in the applicable Final Terms); or

(b)
if the consequence of "No Extension" is specified in the applicable Final Terms to be applicable, each period commencing on the Observation Period Start Date, prior to any adjustment of such date pursuant to these Index Linked Conditions or as specified in the applicable Final Terms, if applicable (and including or excluding such Observation Period Start Date, as specified in the applicable Final Terms) and ending on the immediately following Observation Period End Date, prior to any adjustment of such date pursuant to these Index Linked Conditions or as specified in the applicable Final Terms, if applicable (and including or excluding such Observation Period End Date, as specified in the applicable Final Terms).

"Observation Period End Date" means, in respect of an Index, each date specified as such in the applicable Final Terms, subject to adjustment in accordance with the provisions of "Observation Date", "Valuation Date" or otherwise as specified in the applicable Final Terms, if applicable.
"Observation Period Start Date" means, in respect of an Index, each date specified as such in the applicable Final Terms, subject to adjustment in accordance with the provisions of "Observation Date", "Valuation Date" or otherwise as specified in the applicable Final Terms, if applicable.
"Proprietary Index" means any Index for which the "Type of Index" is specified as such in the applicable Final Terms, or, if not specified, any Index the Calculation Agent determines as such.
"Related Exchange" means, in relation to any Unitary Index or Multi-Exchange Index, each exchange or quotation system specified as such for such Index in the applicable Final Terms, any successor to such exchange or quotation system or any substitute exchange or quotation system to which trading in futures or options contracts relating to such Index has temporarily relocated (provided that the Calculation Agent has determined that there is comparable liquidity relative to the futures or options contracts relating to such Index on such temporary substitute exchange or quotation system as on the original Related Exchange), provided, however, that where "All Exchanges" is specified as the Related Exchange in the applicable Final Terms, "Related Exchange" shall mean each exchange or quotation system where trading has a material effect (as determined by the Calculation Agent) on the overall market for futures or options contracts relating to the Index.

LN2-9694
 
56
 
 




"Scheduled Closing Time" means, in respect of an Exchange or Related Exchange and a Scheduled Trading Day, the scheduled weekday closing time of such Exchange or Related Exchange on such Scheduled Trading Day, without regard to after hours or any other trading outside of the regular trading session hours.
"Scheduled Observation Date" means any original date that, but for the occurrence of an event causing a Disrupted Day, would have been an Observation Date.
"Scheduled Trading Day" means in respect of:
(a)
any Unitary Index, any day on which each Exchange and each Related Exchange for the Index are scheduled to be open for trading for their respective regular trading sessions;

(b)
any Multi-Exchange Index, any day on which (i) the Index Sponsor is scheduled to publish the level of the Index, and (ii) the Related Exchange for the Index is scheduled to be open for trading for its regular trading session; and

(c)
any Proprietary Index, any day on, or, as the case may be, in respect of, which the Index Sponsor is scheduled to publish the level of such Index.

"Scheduled Valuation Date" means any original date that, but for the occurrence of an event causing a Disrupted Day, would have been a Valuation Date.
"Strike Date" means the date specified as such in the applicable Final Terms.
"Trade Date" means the date specified as such in the applicable Final Terms.
"Trading Disruption" means:
(a)
in respect of any Unitary Index, any suspension of, or limitation imposed on, trading by any relevant Exchange or Related Exchange or otherwise and whether by reason of movements in price exceeding limits permitted by the relevant Exchange or Related Exchange or otherwise, (i) relating to securities that comprise 20 per cent. or more of the level of such Index on any relevant Exchange, or (ii) in futures or options contracts relating to such Index on any relevant Related Exchange; and

(b)
in respect of any Multi-Exchange Index, any suspension or limitation imposed on trading by any relevant Exchange or Related Exchange or otherwise, and whether by reason of movements in price exceeding limits permitted by the relevant Exchange or Related Exchange or otherwise, (i) relating to any Component Security on the Exchange in respect of such Component Security, or (ii) in futures or options contracts relating to the Index on the Related Exchange.

"Unitary Index" means any Index for which the "Type of Index" is specified as such in the applicable Final Terms, or, if not specified, any Index the Calculation Agent determines as such.
"Valuation Cut-Off Date" means the eighth Scheduled Trading Day (or, where the Index Linked Notes relate to a Basket of Indices and the applicable Final Terms provides that "Common Scheduled Trading Days" shall be applicable, the eighth Common Scheduled Trading Day) immediately following the Scheduled Valuation Date, or, if earlier, the Scheduled Trading Day (or, where the Index Linked Notes relate to a Basket of Indices and the applicable Final Terms provides that "Common Scheduled Trading Days" shall be applicable, the Common Scheduled Trading Day) falling on or immediately preceding the second Business Day immediately preceding the date on which payment of any amount or delivery of any

LN2-9694
 
57
 
 




assets may have to be made pursuant to any calculation or determination made on such Valuation Date, provided that the Valuation Cut-Off Date shall not fall prior to the original date on which such Valuation Date was scheduled to fall.
"Valuation Date" means each Valuation Date specified in the applicable Final Terms, or if such date is not a Scheduled Trading Day, the immediately following Scheduled Trading Day (or, where the Index Linked Notes relate to a Basket of Indices and the applicable Final Terms provides that "Common Scheduled Trading Days" shall be applicable, the immediately following Common Scheduled Trading Day) or, if earlier, the Valuation Cut-Off Date. If such day is a Disrupted Day, then:
(a)
where the Index Linked Notes relate to a single Index, the Valuation Date shall be the first succeeding Scheduled Trading Day that is not a Disrupted Day, unless each of the Scheduled Trading Days immediately following the Scheduled Valuation Date up to, and including, the Valuation Cut-Off Date is a Disrupted Day. In that case, or if such Valuation Date falls on the Valuation Cut-Off Date owing to the original date on which it was scheduled to fall not being a Scheduled Trading Day for the Index, (i) the Valuation Cut-Off Date shall be deemed to be the Valuation Date (notwithstanding the fact that such day may be a Disrupted Day) and (ii) the Calculation Agent shall determine the relevant level or price in the manner set out in the applicable Final Terms or, if not set out or if not practicable, determine the relevant level or price by determining the level of the Index as of the Valuation Time on the Valuation Cut-Off Date in accordance with (subject to Index Linked Condition 4) the formula for and method of calculating the Index last in effect prior to the occurrence of the first Disrupted Day (A) in respect of a Unitary Index or Multi-Exchange Index, using the Exchange traded or quoted price as of the Valuation Time on the Valuation Cut-Off Date of each security comprised in the Index (or, if an event giving rise to a Disrupted Day (as defined in the Share Linked Conditions in relation to a share) has occurred in respect of the relevant security on the Valuation Cut-Off Date, its good faith estimate of the value for the relevant security as of the Valuation Time on the Valuation Cut-Off Date), or (B) in respect of a Proprietary Index, using such levels or values as the Calculation Agent determines to be appropriate as of the Valuation Time on the Valuation Cut-Off Date of each component comprised in the Index, or, if the value of any component cannot be determined at such time on such day, its good faith estimate of the value for the relevant component as of the Valuation Time on the Valuation Cut-Off Date;

(b)
where the Index Linked Notes relate to a Basket of Indices and the applicable Final Terms provides that "Common Scheduled Trading Days" shall not be applicable, the Valuation Date for each Index not affected by the occurrence of a Disrupted Day shall be the Scheduled Valuation Date (or, if earlier, the Valuation Cut-Off Date) and the Valuation Date for each Index affected (each an "Affected Index") by the occurrence of a Disrupted Day shall be the first succeeding Scheduled Trading Day that is not a Disrupted Day relating to the Affected Index, unless each of the Scheduled Trading Days immediately following the Scheduled Valuation Date up to, and including, the Valuation Cut-Off Date is a Disrupted Day relating to the Affected Index. In that case, or if such Valuation Date falls on the Valuation Cut-Off Date owing to the original date on which it was scheduled to fall not being a Scheduled Trading Day for such Index, (i) the Valuation Cut-Off Date shall be deemed to be the Valuation Date for such Index (notwithstanding the fact that such day may be a Disrupted Day) and (ii) the Calculation Agent shall determine the relevant level or price using, in relation to such Index, the level of such Index determined in the manner set out in the applicable Final Terms or, if not set out or if not practicable, using the level of such Index as of the Valuation Time on the Valuation Cut-Off Date in accordance with (subject to Index Linked Condition 4) the formula for and method of calculating such Index last in effect prior to the occurrence of the first Disrupted Day (A) in respect of a Unitary Index or Multi-Exchange Index, using the Exchange traded or quoted price as of the Valuation Time on the Valuation

LN2-9694
 
58
 
 




Cut-Off Date of each security comprised in that Index (or, if an event giving rise to a Disrupted Day (as defined in the Share Linked Conditions in relation to a share) has occurred in respect of the relevant security on the Valuation Cut-Off Date, its good faith estimate of the value for the relevant security as of the Valuation Time on the Valuation Cut-Off Date), or (B) in respect of a Proprietary Index, using such levels or values as the Calculation Agent determines to be appropriate as of the Valuation Time on the Valuation Cut-Off Date of each component comprised in the Index, or, if the value of any component cannot be determined at such time on such day, its good faith estimate of the value for the relevant component as of the Valuation Time on the Valuation Cut-Off Date;

(c)
where the Index Linked Notes relate to a Basket of Indices and the applicable Final Terms provides that "Common Scheduled Trading Days" and "Individual Disrupted Days" shall be applicable, the Valuation Date for each Index not affected by the occurrence of a Disrupted Day shall be the Scheduled Valuation Date (or if the Scheduled Valuation Date is not a Common Scheduled Trading Day, the immediately following Common Scheduled Trading Day, or in either case, if earlier, the Valuation Cut-Off Date) and the Valuation Date for each Index affected (each an "Affected Index") by the occurrence of a Disrupted Day shall be the first succeeding Scheduled Trading Day that is not a Disrupted Day relating to the Affected Index, unless each of the Scheduled Trading Days immediately following the Scheduled Valuation Date (or if the Scheduled Valuation Date is not a Common Scheduled Trading Day, the immediately following Common Scheduled Trading Day) up to, and including, the Valuation Cut-Off Date is a Disrupted Day relating to the Affected Index. In that case, or if such Valuation Date falls on the Valuation Cut-Off Date owing to the original date on which it was scheduled to fall not being a Common Scheduled Trading Day, (i) the Valuation Cut-Off Date shall be deemed to be the Valuation Date for such Index (notwithstanding the fact that such day may be a Disrupted Day for an Index or not a Common Scheduled Trading Day) and (ii) the Calculation Agent shall determine the relevant level or price using, in relation to such Index, the level of such Index determined in the manner set out in the applicable Final Terms or, if not set out or if not practicable, using the level of such Index as of the Valuation Time on the Valuation Cut-Off Date in accordance with (subject to Index Linked Condition 4) the formula for and method of calculating such Index last in effect prior to the occurrence of the first Disrupted Day (A) in respect of a Unitary Index or Multi-Exchange Index, using the Exchange traded or quoted price as of the Valuation Time on the Valuation Cut-Off Date of each security comprised in such Index (or, if an event giving rise to a Disrupted Day (as defined in the Share Linked Conditions in relation to a share) has occurred in respect of the relevant security on the Valuation Cut-Off Date, its good faith estimate of the value for the relevant security as of the Valuation Time on the Valuation Cut-Off Date), or (B) in respect of a Proprietary Index, using such levels or values as the Calculation Agent determines to be appropriate as of the Valuation Time on the Valuation Cut-Off Date of each component comprised in the Index, or, if the value of any component cannot be determined at such time on such day, its good faith estimate of the value for the relevant component as of the Valuation Time on the Valuation Cut-Off Date; or

(d)
where the Index Linked Notes relate to a Basket of Indices and the applicable Final Terms provides that "Common Scheduled Trading Days" and "Common Disrupted Days" shall be applicable, the Valuation Date shall be the first succeeding Common Scheduled Trading Day that is not a Disrupted Day for any Index, unless each of the Common Scheduled Trading Days immediately following the Scheduled Valuation Date up to, and including, the Valuation Cut-Off Date is a Disrupted Day for one or more Indices. In that case, or if the Valuation Date falls on the Valuation Cut-Off Date owing to the original date on which it was scheduled to fall not being a Common Scheduled Trading Day, (i) the Valuation Cut-Off Date shall be deemed to be the Valuation Date (notwithstanding the fact that such day may be a Disrupted Day for an Index or not a Common Scheduled Trading Day) and (ii) the Calculation Agent shall determine the relevant level or price using, in relation to each Index for

LN2-9694
 
59
 
 




which the Valuation Cut-Off Date is a Disrupted Day or is not a Common Scheduled Trading Day, the level of such Index determined in the manner set out in the applicable Final Terms or, if not set out or if not practicable, using the level of such Index as of the Valuation Time on the Valuation Cut-Off Date in accordance with (subject to Index Linked Condition 4) the formula for and method of calculating such Index last in effect prior to the occurrence of the first Disrupted Day (A) in respect of a Unitary Index or Multi-Exchange Index, using the Exchange traded or quoted price as of the Valuation Time on the Valuation Cut-Off Date of each security comprised in each Index for which the Valuation Cut-Off Date is a Disrupted Day or is not a Common Scheduled Trading Day (or, if an event giving rise to a Disrupted Day (as defined in the Share Linked Conditions in relation to a share) has occurred in respect of the relevant security on the Valuation Cut-Off Date, its good faith estimate of the value for the relevant security as of the Valuation Time on the Valuation Cut-Off Date), or (B) in respect of a Proprietary Index, using such levels or values as the Calculation Agent determines to be appropriate as of the Valuation Time on the Valuation Cut-Off Date of each component comprised in the Index, or, if the value of any component cannot be determined at such time on such day, its good faith estimate of the value for the relevant component as of the Valuation Time on the Valuation Cut-Off Date.

"Valuation Time" means:
(a)
in respect of any Unitary Index, (i) for the purposes of determining whether an Early Closure, an Exchange Disruption or a Trading Disruption has occurred in respect of (A) any Exchange, the Scheduled Closing Time of the Exchange (provided that, if the relevant Exchange closes prior to its Scheduled Closing Time, then the Valuation Time shall be such actual closing time), and (B) any options contracts or futures contracts on such Index, the close of trading on the Related Exchange, and (ii) in all other circumstances, the time at which the official closing level of the Index is calculated and published by the Index Sponsor;

(b)
in respect of any Multi-Exchange Index, (i) for the purposes of determining whether an Early Closure, an Exchange Disruption or a Trading Disruption has occurred in respect of (A) any Component Security, the Scheduled Closing Time on the Exchange in respect of such Component Security (provided that, if the relevant Exchange closes prior to its Scheduled Closing Time, then the Valuation Time shall be such actual closing time), and (B) any options contracts or futures contracts on the Index, the close of trading on the Related Exchange, and (ii) in all other circumstances, the time at which the official closing level of the Index is calculated and published by the Index Sponsor; and

(c)
in respect of any Proprietary Index, the time at which the Index Sponsor calculates and publishes the official closing level of the Index.

"Worst Performing Index" means, in respect of a Basket of Indices and the Valuation Date (unless otherwise specified in the applicable Final Terms), the Index with the lowest Index Performance on such day as determined by the Calculation Agent (provided that if two or more Indices have the same lowest Index Performance on such day, the Calculation Agent shall determine which Index shall be the Worst Performing Index in its sole and absolute discretion, and such Index shall be the Worst Performing Index).
2.
Market Disruption

"Market Disruption Event" means:
(a)
in respect of any Unitary Index, the occurrence or existence of (i) a Trading Disruption, (ii) an Exchange Disruption, which in either case the Calculation Agent determines is material, at any time during the

LN2-9694
 
60
 
 




one-hour period that ends at the relevant Valuation Time, or (iii) an Early Closure.
For the purposes of determining whether a Market Disruption Event in respect of a Unitary Index exists at any time, if a Market Disruption Event (as defined in the Share Linked Conditions in relation to a Share) occurs in respect of a Component Security included in the Index at any time, then the relevant percentage contribution of such Component Security to the level of the Index shall be based on a comparison of (A) the portion of the level of the Index attributable to such Component Security and (B) the overall level of the Index, in each case immediately before the occurrence of such Market Disruption Event;
(b)
in respect of any Multi-Exchange Index either:
(i)
(A)    the occurrence or existence, in respect of any Component Security, of:

(1)
a Trading Disruption, which the Calculation Agent determines is material, at any time during the one-hour period that ends at the relevant Valuation Time in respect of the Exchange on which such Component Security is principally traded;

(2)
an Exchange Disruption, which the Calculation Agent determines is material, at any time during the one-hour period that ends at the relevant Valuation Time in respect of the Exchange on which such Component Security is principally traded; or

(3)
an Early Closure; and

(B)
the aggregate of all Component Securities in respect of which a Trading Disruption, an Exchange Disruption or an Early Closure occurs or exists, comprises 20 per cent. or more of the level of the Index; or

(ii)
the occurrence or existence, in respect of futures or options contracts relating to the Index, of (A) a Trading Disruption, (B) an Exchange Disruption which in either case the Calculation Agent determines is material, at any time during the one-hour period that ends at the Valuation Time in respect of the Related Exchange or (C) an Early Closure.

For the purposes of determining whether a Market Disruption Event in respect of a Multi-Exchange Index exists at any time, if a Market Disruption Event (as defined in the Share Linked Conditions in relation to a share) occurs in respect of a Component Security at that time, then the relevant percentage contribution of such Component Security to the level of the Index shall be based on a comparison of (x) the portion of the level of the Index attributable to that Component Security and (y) the overall level of the Index, in each case using the official opening weightings as published by the Index Sponsor as part of the market "opening data".
(c)
in respect of any Proprietary Index, the failure by the Index Sponsor to calculate and publish the level of the Index on any Scheduled Trading Day or in respect of such Scheduled Trading Day within the scheduled timeframe for publication.

3.
Barrier Event

(a)
A "Barrier Event (intraday)" means (and a Barrier Event (intraday) shall be deemed to occur if), in respect of an Index, the Calculation Agent determines that the Index Level of such Index as of the Barrier Event Valuation Time (intraday) on any Barrier Event Determination Day is less than or equal

LN2-9694
 
61
 
 




to the corresponding Barrier Level for such Index and such Barrier Event Determination Day.
For the purpose of determining whether a Barrier Event (intraday) has occurred on any day in respect of a Unitary Index and a Multi-Exchange Index, the definition of Market Disruption Event specified in Index Linked Condition 2 shall be amended such that (i) all references to "during the one-hour period that ends at the relevant Valuation Time" shall be deleted, and (ii) in the definition of "Early Closure" appearing in Index Linked Condition 1, each reference to "Valuation Time" and "Scheduled Closing Time" shall be construed as a reference to "Barrier Event Valuation Time (intraday)".
(b)
A "Barrier Event (closing)" means (and a Barrier Event (closing) shall be deemed to occur if), in respect of an Index, the Calculation Agent determines that the Index Closing Level of such Index as of the Barrier Event Valuation Time (closing) on any Barrier Event Determination Day is less than or equal to the corresponding Barrier Level for such Index and such Barrier Event Determination Day.

4.
Adjustments and Corrections to an Index

(a)
Consequences of a Successor Index Sponsor or a Successor Index
If a relevant Index is (i) not calculated and announced by the Index Sponsor but is calculated and announced by a successor sponsor (the "Successor Index Sponsor") acceptable to the Calculation Agent, or (ii) replaced by a successor index using, in the determination of the Calculation Agent, the same or a substantially similar formula for and method of calculation as used in the calculation of that Index, then in each case that index (the "Successor Index") will be deemed to be the Index.
(b)
Modification and Cessation of Calculation of an Index
If (i) on or prior to a Valuation Date, an Observation Date or an Averaging Date (or other relevant date, as determined by the Calculation Agent), the relevant Index Sponsor makes or announces that it will make a material change in the formula for or the method of calculating a relevant Index or in any other way materially modifies that Index (other than a modification prescribed in that formula or method to maintain that Index in the event of changes in constituent stock and capitalization or contracts and other routine events) (an "Index Modification"), or permanently cancels a relevant Index and no Successor Index exists (an "Index Cancellation"), or (ii) on a Valuation Date, an Observation Date or an Averaging Date (or other relevant date, as determined by the Calculation Agent), the Index Sponsor or, if applicable, the Successor Index Sponsor fails to calculate and announce a relevant Index, provided that, in respect of an Index which is specified in the applicable Final Terms as being a Multi-Exchange Index or a Proprietary Index, the Calculation Agent may, in its discretion, determine that such event instead results in the occurrence of a Disrupted Day (an "Index Disruption" and, together with an Index Modification and an Index Cancellation, each an "Index Adjustment Event"), then the Issuer may take the action described in (A) or (B) below:
(B)
require the Calculation Agent to determine if such Index Adjustment Event has a material effect on the Index Linked Notes and, if so, calculate the relevant level or price using, in lieu of a published level for such Index, the level for such Index as at the Valuation Time on that Valuation Date, Observation Date or Averaging Date, as the case may be, as determined by the Calculation Agent in accordance with the formula for and method of calculating such Index last in effect prior to the change, failure or cancellation, but using only those securities that comprised such Index immediately prior to that Index Adjustment Event; or

(C)
on giving notice to the Noteholders in accordance with Condition 14, redeem all (but not less than all) of the Notes, each Note being redeemed at the Early Redemption Amount.


LN2-9694
 
62
 
 




Upon the occurrence of an Index Adjustment Event, the Issuer shall give notice as soon as reasonably practicable to the Noteholders in accordance with Condition 14, giving details of the action proposed to be taken in relation thereto, provided that any failure to give, or non-receipt of, such notice will not affect the validity of such action. The Issuer shall make copies of any such determinations available for inspection by Noteholders.
(c)
Corrections to an Index

If the level of a relevant Index published on any Valuation Date, Observation Date or Averaging Date (or other relevant date, as determined by the Calculation Agent), as the case may be, by the relevant Index Sponsor or (if applicable) the relevant Successor Index Sponsor and which is utilized for any calculation or determination made for the purposes of the Index Linked Notes (a "Relevant Calculation") is subsequently corrected and the correction (the "Corrected Index Level") is published by the relevant Index Sponsor or (if applicable) the relevant Successor Index Sponsor no later than two Business Days prior to the date on which payment of any amount or delivery of any assets may have to be made pursuant to such Relevant Calculation, then such Corrected Index Level shall be deemed to be the relevant level for such Index on such Averaging Date, Observation Date or Valuation Date (or other relevant date, as determined by the Calculation Agent), as the case may be, and the Calculation Agent shall use such Corrected Index Level in determining the relevant level or price and/or whether the Barrier Event (closing) or Barrier Event (intraday), as the case may be, has been triggered.
(d)    Additional Index Adjustment Event
If, on or prior to a Strike Date, a Valuation Date, an Observation Date or an Averaging Date (or other relevant date, as determined by the Calculation Agent), the Issuer has determined and notified to the Calculation Agent that a U.S. Withholding Tax Event has occurred on or prior to such date, then:
(i)
regardless of whether an Index Substitution Event takes place pursuant to (ii) below, the Calculation Agent may make such adjustments or reductions to the Index Closing Level (or any other relevant level) of the relevant Index in respect of the Strike Date, any Valuation Date, any Observation Date, any Averaging Date or any other relevant date, and/or any adjustment(s), if any, to one or more of any variables relevant to the redemption, payment, calculation of any amount payable or other terms of the Notes, as the Calculation Agent determines appropriate to account for the economic effect of such U.S. Withholding Tax Event, including after giving effect to any Index Substitution Event (if any); and/or
(ii)
notwithstanding the Issuer's right to redeem the Notes early at its option pursuant to Condition 6 following the occurrence of such U.S. Withholding Tax Event, the Issuer may, at its option, upon notification by the Issuer to the Calculation Agent that it wishes to substitute a Successor Index for the relevant Index (such event, an "Index Substitution Event"), determine that the relevant Index shall be replaced by the Successor Index with effect from the date specified by the Issuer and not redeem the Notes early pursuant to Condition 6, and, following the Index Substitution Event coming into effect, the Calculation Agent may make such adjustments or reductions to the Index Closing Level (or any other relevant level) of the relevant Successor Index in respect of the Strike Date, any Valuation Date, any Observation Date, any Averaging Date or any other relevant date, and/or any adjustment(s), if any, to one or more of any variables relevant to the redemption, payment, calculation of any amount payable or other terms of the Notes, as the Calculation Agent determines appropriate to account for the economic effect of such Index Substitution Event (if any). The Issuer will notify Noteholders of the occurrence

LN2-9694
 
63
 
 




and terms of such Index Substitution Event in accordance with Condition 14 (the date of such notification, pursuant to Condition 14, being the "Index Substitution Event Notification Date"). The Issuer's determination not to redeem the Notes early following a U.S. Withholding Tax Event shall not affect its right to redeem the Notes early for any other tax reasons pursuant to Condition 6 at any time during the term of the Notes (whether before, at the same time, or after the occurrence of the U.S. Withholding Tax Event which gave rise to such Index Substitution Event).
Following the occurrence of an Index Substitution Event, each Noteholder shall have the option, upon such Noteholder giving the Issuer, in accordance with Condition 14, not less than 10 nor more than 30 calendar days' notice from the Index Substitution Event Notification Date to redeem the Notes held by such Noteholder in whole (but not in part), and, the Issuer, upon the expiration of such notice, will redeem such Notes on the Index Substitution Optional Redemption Date and at the Index Substitution Optional Redemption Amount.
The procedure specified in the second paragraph of Condition 6(e) shall apply to the election of the option described in the preceding paragraph.
"Index Substitution Optional Redemption Amount" means, in respect of each Note, the Market Value less Associated Costs (no floor) (determined on or after the Index Substitution Event Notification Date) as provided in Condition 6(f) (taking into account, if applicable, any and all adjustments made to the levels of the relevant Index or Successor Index and the terms of the Notes made pursuant to paragraphs (i) and (ii) of Index Linked Condition 4(d)).
"Index Substitution Optional Redemption Date" means, in respect of each Note, a date selected by the Issuer, which shall be not earlier than the fifth Business Day following the Index Substitution Event Notification Date and not later than the 60th calendar day following the Index Substitution Event Notification Date.
"U.S. Withholding Tax Event" means an event as defined in Condition 6(b)(ii).
5.
Additional Disruption Events

(a)
"Additional Disruption Event" means any of Change in Law, Hedging Disruption and/or Increased Cost of Hedging, in each case if specified in the applicable Final Terms.

"Change in Law" means that, on or after the Trade Date (as specified in the applicable Final Terms) (i) due to the adoption of or any change in any applicable law or regulation (including, without limitation, any tax law), or (ii) due to the promulgation of or any change in the interpretation by any court, tribunal or regulatory authority with competent jurisdiction of any applicable law or regulation (including any action taken by a taxing authority), the Calculation Agent determines in its sole and absolute discretion that (A) it has become illegal to hold, acquire or dispose of any relevant security comprised in an Index or (B) the Issuer will incur a materially increased cost in performing its obligations in relation to the Index Linked Notes (including, without limitation, due to any increase in tax liability, decrease in tax benefit, or other adverse effect on the tax position of the Issuer and/or any of its Affiliates).
"Hedging Disruption" means that the Issuer and/or any of its Affiliates or agents is unable, after using commercially reasonable efforts, to (i) acquire, establish, re-establish, substitute, maintain, unwind or dispose of any transaction(s) or asset(s) it deems necessary to hedge the equity or other price risk of the Issuer issuing and performing its obligations with respect to the Index Linked Notes,

LN2-9694
 
64
 
 




or (ii) realize, recover or remit the proceeds of any such transaction(s) or asset(s).
"Increased Cost of Hedging" means that the Issuer and/or any of its Affiliates or agents acting on its behalf would incur a materially increased (as compared with circumstances existing on the Trade Date) amount of tax, duty, expense, or fee (other than brokerage commissions) to (i) acquire, establish, re-establish, substitute, maintain, unwind, or dispose of any transaction(s) or asset(s) it deems necessary to hedge the equity or other price risk of the Issuer issuing and performing its obligations with respect to the Index Linked Notes, or (ii) realize, recover, or remit the proceeds of any such transaction(s) or asset(s), provided that any such materially increased amount that is incurred solely due to the deterioration of the creditworthiness of the Issuer and/or any of its Affiliates or agents shall not be deemed an Increased Cost of Hedging.
(b)
If Additional Disruption Events are specified as applicable in the applicable Final Terms, then if an Additional Disruption Event occurs, the Issuer in its sole and absolute discretion may take the action described in (i) or (ii) below:

(i)
require the Calculation Agent to determine in its sole and absolute discretion the appropriate adjustment, if any, to be made to any one or more of the terms of these Terms and Conditions and/or the applicable Final Terms to account for the Additional Disruption Event and determine the effective date of that adjustment; or

(ii)
give notice to Noteholders in accordance with Condition 14 and redeem all, but not less than all, of the Notes, each nominal amount of Notes equal to the Specified Denomination being redeemed at the Early Redemption Amount.

(c)
Upon the occurrence of an Additional Disruption Event, the Issuer shall give notice as soon as practicable to the Noteholders stating the occurrence of the Additional Disruption Event, giving details thereof and the action proposed to be taken in relation thereto provided that any failure to give, or non-receipt of, such notice will not affect the validity of the Additional Disruption Event.

LN2-9694
 
65
 
 




ANNEX 2

ADDITIONAL TERMS AND CONDITIONS FOR SHARE LINKED NOTES

The terms and conditions applicable to Share Linked Notes shall comprise the Terms and Conditions of the Notes and the additional Terms and Conditions set out below (the "Share Linked Conditions"), in each case subject to completion and/or amendment in the applicable Final Terms. In the event of any inconsistency between the Terms and Conditions of the Notes and the Share Linked Conditions, the Share Linked Conditions shall prevail. In the event of any inconsistency between (i) the Terms and Conditions of the Notes and the Share Linked Conditions and (ii) the Final Terms, the Final Terms shall prevail.
1.
Definitions

For the purposes of these Share Linked Conditions:
"Averaging Cut-Off Date" means the eighth Scheduled Trading Day (or, where the Share Linked Notes relate to a Basket of Shares and the applicable Final Terms provides that "Common Scheduled Trading Days" shall be applicable, the eighth Common Scheduled Trading Day) immediately following the original date that, but for the occurrence of another Averaging Date or Disrupted Day, or on account of such date not being a Scheduled Trading Day (or, where the Share Linked Notes relate to a Basket of Shares and the applicable Final Terms provides that "Common Scheduled Trading Days" shall be applicable, a Common Scheduled Trading Day), would have been the final Averaging Date, or, if earlier, the Scheduled Trading Day (or, where the Share Linked Notes relate to a Basket of Shares and the applicable Final Terms provides that "Common Scheduled Trading Days" shall be applicable, the Common Scheduled Trading Day) falling on or immediately preceding the second Business Day immediately preceding the date on which payment of any amount or delivery of any assets may have to be made pursuant to any calculation or determination made on the relevant Averaging Dates, provided that the Averaging Cut-Off Date shall not fall prior to the original date on which the final Averaging Date was scheduled to fall.
"Averaging Date" means each date specified as an Averaging Date in the applicable Final Terms or, if any such date is not a Scheduled Trading Day, the immediately following Scheduled Trading Day (or, where the Share Linked Notes relate to a Basket of Shares and the applicable Final Terms provides that "Common Scheduled Trading Days" shall be applicable, the immediately following Common Scheduled Trading Day) or, if earlier, the Averaging Cut-Off Date. If any such day is a Disrupted Day:
(a)
if "Omission" is specified as applying in the applicable Final Terms, then such date will be deemed not to be an Averaging Date for the purposes of determining the relevant price; provided that, if through the operation of this provision there would not be an Averaging Date, then the provisions of the definition of "Valuation Date" will apply for purposes of determining the relevant price on the final Averaging Date, as if such final Averaging Date were a Valuation Date that was a Disrupted Day; or

(b)
if "Postponement" is specified as applying in the applicable Final Terms, then the provisions of the definition of "Valuation Date" will apply for the purposes of determining the relevant price on that Averaging Date as if such Averaging Date were a Valuation Date that was a Disrupted Day irrespective of whether, pursuant to such determination, that deferred Averaging Date would fall on a day that already is or is deemed to be an Averaging Date; or


LN2-9694
 
66
 
 




(c)
if "Modified Postponement" is specified as applying in the applicable Final Terms then:

(i)
where the Share Linked Notes relate to a single Share, the Averaging Date shall be the first succeeding Valid Date. If the first succeeding Valid Date has not occurred as of the Valuation Time on the Averaging Cut-Off Date or if such Averaging Date falls on the Averaging Cut-Off Date owing to the original date on which it was scheduled to fall not being a Scheduled Trading Day for the Share, then (A) the Averaging Cut-Off Date shall be deemed to be the Averaging Date (irrespective of whether the Averaging Cut-Off Date is already an Averaging Date), and (B) the Calculation Agent shall determine the relevant price for that Averaging Date in accordance with sub-paragraph (a)(ii) of the definition of "Valuation Date" below;

(ii)
where the Share Linked Notes relate to a Basket of Shares and the applicable Final Terms provides that "Common Scheduled Trading Days" shall not be applicable, the Averaging Date for each Share not affected by the occurrence of a Disrupted Day shall be the originally designated Averaging Date (following adjustment of such date owing to the original date not being a Scheduled Trading Day, if applicable) (the "Scheduled Averaging Date") and the Averaging Date for a Share affected by the occurrence of a Disrupted Day shall be the first succeeding Valid Date in relation to such Share. If the first succeeding Valid Date in relation to such Share has not occurred as of the Valuation Time on the Averaging Cut-Off Date or if such Averaging Date falls on the Averaging Cut-Off Date owing to the original date on which it was scheduled to fall not being a Scheduled Trading Day for such Share, then (A) the Averaging Cut-Off Date shall be deemed to be the Averaging Date (irrespective of whether the Averaging Cut-Off Date is already an Averaging Date) in relation to such Share, and (B) the Calculation Agent shall determine the relevant price for that Averaging Date in accordance with sub-paragraph (b)(ii) of the definition of "Valuation Date" below;

(iii)
where the Share Linked Notes relate to a Basket of Shares and the applicable Final Terms provides that "Common Scheduled Trading Days" and "Individual Disrupted Days" shall be applicable, the Averaging Date for each Share not affected by the occurrence of a Disrupted Day shall be the originally designated Averaging Date (following adjustment of such date owing to the original date not being a Common Scheduled Trading Day, if applicable) (the "Scheduled Averaging Date") and the Averaging Date for a Share affected by the occurrence of a Disrupted Day shall be the first succeeding Valid Date in relation to such Share. If the first succeeding Valid Date in relation to such Share has not occurred as of the Valuation Time on the Averaging Cut-Off Date or if such Averaging Date falls on the Averaging Cut-Off Date owing to the original date on which it was scheduled to fall not being a Common Scheduled Trading Day, then (A) the Averaging Cut-Off Date shall be deemed to be the Averaging Date (irrespective of whether the Averaging Cut-Off Date is already an Averaging Date) in relation to such Share, and (B) the Calculation Agent shall determine the relevant price for that Averaging Date in accordance with sub-paragraph (c)(ii) of the definition of "Valuation Date" below; or

(iv)
where the Share Linked Notes relate to a Basket of Shares and the applicable Final Terms provides that "Common Scheduled Trading Days" and "Common Disrupted Days" shall be applicable, the Averaging Date for each Share shall be the first succeeding Common Valid Date in relation to such Share. If the first succeeding Common Valid Date has not occurred as of the Valuation Time on the Averaging Cut-Off Date or if such Averaging Date falls on the Averaging Cut-Off Date owing to the original date on which it was scheduled to fall not being a Common Scheduled Trading Day, then (A) the Averaging Cut-Off Date shall be deemed to be the Averaging Date (irrespective of whether the Averaging Cut-Off Date is already an Averaging

LN2-9694
 
67
 
 




Date), and (B) the Calculation Agent shall determine the relevant level or price for that Averaging Date in accordance with sub-paragraph (d)(ii) of the definition of "Valuation Date" below,

and, for the purposes of these Share Linked Conditions "Valid Date" means a Scheduled Trading Day that is not a Disrupted Day and on which another Averaging Date does not or is deemed not to occur, and "Common Valid Date" means a Common Scheduled Trading Day that is not a Disrupted Day for any Share and on which another Averaging Date does not or is deemed not to occur.
"Barrier Event Determination Day" means, in respect of each Share:
(a)
if the applicable Final Terms provides that the Barrier Event (intraday) provisions shall apply, unless otherwise specified in the applicable Final Terms, each day on which the price of such Share is quoted on the relevant Exchange during the relevant Observation Period, regardless of whether or not such day is a Scheduled Trading Day for such Share (and, for the avoidance of doubt, if the Calculation Agent in its sole and absolute discretion determines that a Market Disruption Event is occurring at any time on any Barrier Event Determination Day, it shall disregard the period during which it determines in its sole and absolute discretion that such Market Disruption Event has occurred and is continuing for the purposes of determining whether or not a Barrier Event (intraday) has occurred); or

(b)
if the applicable Final Terms provides that the Barrier Event (closing) provisions shall apply, each day specified as such in the applicable Final Terms.

"Barrier Event Valuation Time (closing)" means, in respect of each share to be valued, the Scheduled Closing Time on the relevant Exchange on the relevant Barrier Event Determination Day. If the relevant Exchange closes prior to its Scheduled Closing Time and the specified Barrier Event Valuation Time (closing) is after the actual closing time for its regular trading session, then the Barrier Event Valuation Time (closing) shall be such actual closing time.
"Barrier Event Valuation Time (intraday)" means any time during the regular trading session (without regard to any after hours or any other trading outside of the regular session) on the Exchange.
"Barrier Price" means, in respect of a Share, such price for such Share as is specified in the applicable Final Terms.
"Basket of Shares" means a basket composed of Shares in their relative proportions or number of Shares, as specified in the applicable Final Terms.
"Common Scheduled Trading Day" means, in respect of a Basket of Shares, each day which is a Scheduled Trading Day for all the Shares in the Basket of Shares.
"Disrupted Day" means any Scheduled Trading Day on which a relevant Exchange or any Related Exchange fails to open for trading during its regular trading session or on which a Market Disruption Event has occurred.
"Early Closure" means the closure on any Exchange Business Day of the relevant Exchange or any Related Exchange(s) prior to its Scheduled Closing Time unless such earlier closing time is announced by such Exchange(s) or Related Exchange(s) at least one hour prior to the earlier of (i) the actual closing time for the regular trading session on such Exchange(s) or Related Exchange(s) on such Exchange Business Day, and (ii) the submission deadline for orders to be entered into the Exchange or Related Exchange system for execution at the Valuation Time on such Exchange Business Day.

LN2-9694
 
68
 
 




"Exchange" means, in relation to a Share, each exchange or quotation system specified as such for such Share in the applicable Final Terms, any successor to such exchange or quotation system or any substitute exchange or quotation system to which trading in the Share has temporarily relocated (provided that the Calculation Agent has determined that there is comparable liquidity relative to such Share on such temporary substitute exchange or quotation system as on the original Exchange).
"Exchange Business Day" means any Scheduled Trading Day on which each Exchange and each Related Exchange are open for trading during their respective regular trading sessions, notwithstanding any such Exchange or Related Exchange closing prior to its Scheduled Closing Time.
"Exchange Disruption" means any event (other than an Early Closure) that disrupts or impairs (as determined by the Calculation Agent) the ability of market participants in general (i) to effect transactions in, or obtain market values for, the Shares on the Exchange or (ii) to effect transactions in, or obtain market values for, futures or options contracts relating to the Share on any relevant Related Exchange.
"Final Price" means, in respect of a Share, unless otherwise specified in the applicable Final Terms, the Share Closing Price on the Valuation Date, subject to adjustment in accordance with these Share Linked Conditions.
"Initial Price" means, in respect of a Share, unless otherwise specified in the applicable Final Terms, the Share Closing Price of such Share on the Strike Date, subject to adjustment in accordance with these Share Linked Conditions.
"Observation Cut-Off Date" means the eighth Scheduled Trading Day (or, where the Share Linked Notes relate to a Basket of Shares and the applicable Final Terms provides that "Common Scheduled Trading Days" shall be applicable, the eighth Common Scheduled Trading Day) immediately following the Scheduled Observation Date or, if earlier, the Scheduled Trading Day (or, where the Share Linked Notes relate to a Basket of Shares and the applicable Final Terms provides that "Common Scheduled Trading Days" shall be applicable, the Common Scheduled Trading Day) falling on or immediately preceding the second Business Day immediately preceding the date on which payment of any amount or delivery of any assets may have to be made pursuant to any calculation or determination made on such Observation Date, provided that the Observation Cut-Off Date shall not fall prior to the original date on which such Observation Date was scheduled to fall.
"Observation Date" means each date specified as such in the applicable Final Terms, or if such date is not a Scheduled Trading Day the immediately following Scheduled Trading Day (or, where the Share Linked Notes relate to a Basket of Shares and the applicable Final Terms provides that "Common Scheduled Trading Days" shall be applicable, the immediately following Common Scheduled Trading Day) or, if earlier, the Observation Cut-Off Date. If any such day is a Disrupted Day, then:
(a)
where the Share Linked Notes relate to a single Share, the Observation Date shall be the first succeeding Scheduled Trading Day that is not a Disrupted Day, unless each of the Scheduled Trading Days immediately following the Scheduled Observation Date up to, and including, the Observation Cut-Off Date is a Disrupted Day. In that case, or if such Observation Date falls on the Observation Cut-Off Date owing to the original date on which it was scheduled to fall not being a Scheduled Trading Day for such Share, (i) the Observation Cut-Off Date shall be deemed to be such Observation Date (notwithstanding the fact that such day may be a Disrupted Day) and (ii) the Calculation Agent shall determine the relevant price in the manner set out in the applicable Final Terms or, if not set out or if not practicable, determine the relevant price in accordance with its good faith estimate of the relevant price as of the Valuation Time on the Observation Cut-Off Date;


LN2-9694
 
69
 
 




(b)
where the Share Linked Notes relate to a Basket of Shares and the applicable Final Terms provides that "Common Scheduled Trading Days" shall not be applicable, the Observation Date for each Share not affected by the occurrence of a Disrupted Day shall be the Scheduled Observation Date (or, if earlier, the Observation Cut-Off Date) and the Observation Date for each Share affected (each an "Affected Share") by the occurrence of a Disrupted Day shall be the first succeeding Scheduled Trading Day that is not a Disrupted Day relating to the Affected Share, unless each of the Scheduled Trading Days immediately following the Scheduled Observation Date up to, and including, the Observation Cut-Off Date is a Disrupted Day relating to the Affected Share. In that case, or if such Observation Date falls on the Observation Cut-Off Date owing to the original date on which it was scheduled to fall not being a Scheduled Trading Day for such Share, (i) the Observation Cut-Off Date shall be deemed to be the Observation Date for such Share (notwithstanding the fact that such day may be a Disrupted Day) and (ii) the Calculation Agent shall determine the relevant price using, in relation to such Share, a price determined in the manner set out in the applicable Final Terms or, if not set out or if not practicable, using its good faith estimate of the price for such Share as of the Valuation Time on the Observation Cut-Off Date, and otherwise in accordance with the above provisions;

(c)
where the Share Linked Notes relate to a Basket of Shares and the applicable Final Terms provides that "Common Scheduled Trading Days" and "Individual Disrupted Days" shall be applicable, the Observation Date for each Share not affected by the occurrence of a Disrupted Day shall be the Scheduled Observation Date (or if the Scheduled Observation Date is not a Common Scheduled Trading Day, the immediately following Common Scheduled Trading Day, or in either case, if earlier, the Observation Cut-Off Date) and the Observation Date for each Share affected (each an "Affected Share") by the occurrence of a Disrupted Day shall be the first succeeding Scheduled Trading Day that is not a Disrupted Day relating to the Affected Share, unless each of the Scheduled Trading Days immediately following the Scheduled Observation Date (or if the Scheduled Observation Date is not a Common Scheduled Trading Day, the immediately following Common Scheduled Trading Day) up to, and including, the Observation Cut-Off Date is a Disrupted Day relating to the Affected Share. In that case, or if such Observation Date falls on the Observation Cut-Off Date owing to the original date on which it was scheduled to fall not being a Common Scheduled Trading Day, (i) the Observation Cut-Off Date shall be deemed to be the Observation Date for such Share (notwithstanding the fact that such day may be a Disrupted Day for a Share or not a Common Scheduled Trading Day) and (ii) the Calculation Agent shall determine the relevant price using, in relation to such Share, a price determined in the manner set out in the applicable Final Terms or, if not set out or if not practicable, using its good faith estimate of the price for such Share as of the Valuation Time on the Observation Cut-Off Date, and otherwise in accordance with the above provisions; or

(d)
where the Share Linked Notes relate to a Basket of Shares and the applicable Final Terms provides that "Common Scheduled Trading Days" and "Common Disrupted Days" shall be applicable, the Observation Date shall be the first succeeding Common Scheduled Trading Day that is not a Disrupted Day for any Share, unless each of the Common Scheduled Trading Days immediately following the Scheduled Observation Date up to, and including, the Observation Cut-Off Date is a Disrupted Day for one or more Shares. In that case, or if such Observation Date falls on the Observation Cut-Off Date owing to the original date on which it was scheduled to fall not being a Common Scheduled Trading Day, (i) the Observation Cut-Off Date shall be deemed to be the Observation Date (notwithstanding the fact that such day may be a Disrupted Day for a Share or not a Common Scheduled Trading Day) and (ii) the Calculation Agent shall determine the relevant price using, in relation to each Share for which the Observation Cut-Off Date is a Disrupted Day or is not a Common Scheduled Trading Day, a price determined in the manner set out in the applicable Final Terms or, if not set out

LN2-9694
 
70
 
 




or if not practicable, using its good faith estimate of the price for such Share as of the Valuation Time on the Observation Cut-Off Date, and otherwise in accordance with the above provisions.

"Observation Period" means, in respect of a Share:
(a)
if the consequence of "Extension" is specified in the applicable Final Terms to be applicable, each period commencing on the Observation Period Start Date, following adjustment of such date pursuant to these Share Linked Conditions or as specified in the applicable Final Terms, if applicable (and including or excluding such Observation Period Start Date, as specified in the applicable Final Terms) and ending on the immediately following Observation Period End Date, following adjustment of such date pursuant to these Share Linked Conditions or as specified in the applicable Final Terms, if applicable (and including or excluding such Observation Period End Date, as specified in the applicable Final Terms); or

(b)
if the consequence of "No Extension" is specified in the applicable Final Terms to be applicable, each period commencing on the Observation Period Start Date, prior to any adjustment of such date pursuant to these Share Linked Conditions or as specified in the applicable Final Terms, if applicable (and including or excluding such Observation Period Start Date, as specified in the applicable Final Terms) and ending on the immediately following Observation Period End Date, prior to any adjustment of such date pursuant to these Share Linked Conditions or as specified in the applicable Final Terms, if applicable (and including or excluding such Observation Period End Date, as specified in the applicable Final Terms).

"Observation Period End Date" means, in respect of a Share, each date specified as such in the applicable Final Terms, subject to adjustment in accordance with the provisions of "Observation Date", "Valuation Date" or otherwise as specified in the applicable Final Terms, if applicable.
"Observation Period Start Date" means, in respect of a Share, each date specified as such in the applicable Final Terms, subject to adjustment in accordance with the provisions of "Observation Date", "Valuation Date" or otherwise as specified in the applicable Final Terms, if applicable.
"Physical Delivery Notes" means Notes redeemed by physical delivery.
"Related Exchange" means, in relation to a Share, each exchange or quotation system specified as such for such Share in the applicable Final Terms, any successor to such exchange or quotation system or any substitute exchange or quotation system to which trading in futures or options contracts relating to such Share has temporarily relocated (provided that the Calculation Agent has determined that there is comparable liquidity relative to the futures or options contracts relating to such Share on such temporary substitute exchange or quotation system as on the original Related Exchange), provided, however, that where "All Exchanges" is specified as the Related Exchange in the applicable Final Terms, "Related Exchange" shall mean each exchange or quotation system where trading has a material effect (as determined by the Calculation Agent) on the overall market for futures or options contracts relating to such Share.
"Scheduled Closing Time" means, in respect of an Exchange or Related Exchange and a Scheduled Trading Day, the scheduled weekday closing time of such Exchange or Related Exchange on such Scheduled Trading Day, without regard to after hours or any other trading outside of the regular trading session hours.
"Scheduled Observation Date" means any original date that, but for the occurrence of an event causing a Disrupted Day, would have been an Observation Date.

LN2-9694
 
71
 
 




"Scheduled Trading Day" means any day on which each Exchange and each Related Exchange are scheduled to be open for trading for their respective regular trading sessions.
"Scheduled Valuation Date" means any original date that, but for the occurrence of an event causing a Disrupted Day, would have been a Valuation Date.
"Shares" and "Share" mean, subject to adjustment in accordance with these Share Linked Conditions, the shares or a share specified in the applicable Final Terms and related expressions shall be construed accordingly.
"Share Closing Price" means, in respect of a Share and any relevant date, subject to these Share Linked Conditions, an amount equal to the official closing price of such Share quoted on the relevant Exchange as determined by the Calculation Agent on such date.
"Share Company" means, in respect of a Share, the company that has issued such Share.
"Share Performance" means unless otherwise specified in the applicable Final Terms in respect of a Share and any relevant date, an amount (expressed as a percentage) determined by the Calculation Agent as being equal to (a) the Share Closing Price of such Share on such day, divided by (b) the Initial Price of such Share.
"Share Price" means, in respect of a Share and a time on any day and subject to these Share Linked Conditions, the price of such Share at such time on such day as determined by the Calculation Agent.
"Share Substitution Criteria" means (and the Share Substitution Criteria shall be deemed to be satisfied if), unless otherwise provided in the applicable Final Terms, in respect of a Share and any other relevant share:
(c)
the relevant issuer of such other relevant share belongs to a similar economic sector as the Share Company of such Share; and

(d)
the relevant issuer of such other relevant share has a comparable market capitalization and international standing as the Share Company in respect of such Share.

"Strike Date" means the date specified as such in the applicable Final Terms.
"Trade Date" means the date specified as such in the applicable Final Terms.
"Trading Disruption" means any suspension of or limitation imposed on trading by the relevant Exchange or Related Exchange or otherwise and whether by reason of movements in price exceeding limits permitted by the relevant Exchange or Related Exchange or otherwise (a) relating to the Share on the Exchange or (b) in futures or options contracts relating to the Share on any relevant Related Exchange.

LN2-9694
 
72
 
 




"Valuation Cut-Off Date" means the eighth Scheduled Trading Day (or, where the Share Linked Notes relate to a Basket of Shares and the applicable Final Terms provides that "Common Scheduled Trading Days" shall be applicable, the eighth Common Scheduled Trading Day) immediately following the Scheduled Valuation Date or, if earlier, the Scheduled Trading Day (or, where the Share Linked Notes relate to a Basket of Shares and the applicable Final Terms provides that "Common Scheduled Trading Days" shall be applicable, the Common Scheduled Trading Day) falling on or immediately preceding the second Business Day immediately preceding the date on which payment of any amount or delivery of any assets may have to be made pursuant to any calculation or determination made on such Valuation Date, provided that the Valuation Cut-Off Date shall not fall prior to the original date on which such Valuation Date was scheduled to fall.
"Valuation Date" means each Valuation Date specified in the applicable Final Terms or if that is not a Scheduled Trading Day the immediately following Scheduled Trading Day (or, where the Share Linked Notes relate to a Basket of Shares and the applicable Final Terms provides that "Common Scheduled Trading Days" shall be applicable, the immediately following Common Scheduled Trading Day) or, if earlier, the Valuation Cut-Off Date. If such day is a Disrupted Day, then:
(a)
where the Share Linked Notes relate to a single Share, the Valuation Date shall be the first succeeding Scheduled Trading Day that is not a Disrupted Day, unless each of the Scheduled Trading Days up to, and including, the Valuation Cut-Off Date is a Disrupted Day. In that case, or if such Valuation Date falls on the Valuation Cut-Off Date owing to the original date on which it was scheduled to fall not being a Scheduled Trading Day for such Share, (i) the Valuation Cut-Off Date shall be deemed to be the Valuation Date (notwithstanding the fact that such day may be a Disrupted Day) and (ii) the Calculation Agent shall determine the relevant price in the manner set out in the applicable Final Terms or, if not set out or if not practicable, determine the relevant price in accordance with its good faith estimate of the relevant price as of the Valuation Time on the Valuation Cut-Off Date;

(b)
where the Share Linked Notes relate to a Basket of Shares and the applicable Final Terms provides that "Common Scheduled Trading Days" shall not be applicable, the Valuation Date for each Share not affected by the occurrence of a Disrupted Day shall be the Scheduled Valuation Date (or, if earlier, the Valuation Cut-Off Date) and the Valuation Date for each Share affected (each an "Affected Share") by the occurrence of a Disrupted Day shall be the first succeeding Scheduled Trading Day that is not a Disrupted Day relating to the Affected Share, unless each of the Scheduled Trading Days immediately following the Scheduled Valuation Date up to, and including, the Valuation Cut-Off Date is a Disrupted Day relating to the Affected Share. In that case, or if such Valuation Date falls on the Valuation Cut-Off Date owing to the original date on which it was scheduled to fall not being a Scheduled Trading Day for such Share, (i) the Valuation Cut-Off Date shall be deemed to be the Valuation Date for such Share (notwithstanding the fact that such day may be a Disrupted Day) and (ii) the Calculation Agent shall determine the relevant price using, in relation to such Share, a price determined in the manner set out in the applicable Final Terms or, if not set out or if not practicable, using its good faith estimate of the price for such Share as of the Valuation Time on the Valuation Cut-Off Date, and otherwise in accordance with the above provisions;

(c)
where the Share Linked Notes relate to a Basket of Shares and the applicable Final Terms provides that "Common Scheduled Trading Days" and "Individual Disrupted Days" shall be applicable, the Valuation Date for each Share not affected by the occurrence of a Disrupted Day shall be the Scheduled Valuation Date (or if the Scheduled Valuation Date is not a Common Scheduled Trading Day, the immediately following Common Scheduled Trading Day, or in either case, if earlier, the Valuation Cut-Off Date) and the Valuation Date for each Share affected (each an "Affected Share") by the

LN2-9694
 
73
 
 




occurrence of a Disrupted Day shall be the first succeeding Scheduled Trading Day that is not a Disrupted Day relating to the Affected Share, unless each of the Scheduled Trading Days immediately following the Scheduled Valuation Date (or if the Scheduled Valuation Date is not a Common Scheduled Trading Day, the immediately following Common Scheduled Trading Day) up to, and including, the Valuation Cut-Off Date is a Disrupted Day relating to the Affected Share. In that case, or if such Valuation Date falls on the Valuation Cut-Off Date owing to the original date on which it was scheduled to fall not being a Common Scheduled Trading Day, (i) the Valuation Cut-Off Date shall be deemed to be the Valuation Date for such Share (notwithstanding the fact that such day may be a Disrupted Day for a Share or not a Common Scheduled Trading Day) and (ii) the Calculation Agent shall determine the relevant price using, in relation to such Share, a price determined in the manner set out in the applicable Final Terms or, if not set out or if not practicable, using its good faith estimate of the price for such Share as of the Valuation Time on the Valuation Cut-Off Date, and otherwise in accordance with the above provisions; or

(d)
where the Share Linked Notes relate to a Basket of Shares and the applicable Final Terms provides that "Common Scheduled Trading Days" and "Common Disrupted Days" shall be applicable, the Valuation Date shall be the first succeeding Common Scheduled Trading Day that is not a Disrupted Day for any Share, unless each of the Common Scheduled Trading Days immediately following the Scheduled Valuation Date up to, and including, the Valuation Cut-Off Date is a Disrupted Day for one or more Shares. In that case, or if the Valuation Date falls on the Valuation Cut-Off Date owing to the original date on which it was scheduled to fall not being a Common Scheduled Trading Day, (i) the Valuation Cut-Off Date shall be deemed to be the Valuation Date (notwithstanding the fact that such day may be a Disrupted Day for a Share or not a Common Scheduled Trading Day) and (ii) the Calculation Agent shall determine the relevant price using, in relation to each Share for which the Valuation Cut-Off Date is a Disrupted Day or is not a Common Scheduled Trading Day, a price determined in the manner set out in the applicable Final Terms or, if not set out or if not practicable, using its good faith estimate of the price for such Share as of the Valuation Time on the Valuation Cut-Off Date, and otherwise in accordance with the above provisions.

"Valuation Time" means the Valuation Time specified in the applicable Final Terms or, if no Valuation Time is specified, the Scheduled Closing Time on the relevant Exchange on the relevant Valuation Date, Observation Date or Averaging Date, as the case may be, in relation to each Share to be valued. If the relevant Exchange closes prior to its Scheduled Closing Time and the specified Valuation Time is after the actual closing time for its regular trading session, then the Valuation Time shall be such actual closing time.
"Worst Performing Share" means, in respect of a Basket of Shares and the Valuation Date (unless otherwise specified in the applicable Final Terms), the Share with the lowest Share Performance on such day, as determined by the Calculation Agent (provided that if two or more Shares have the same lowest Share Performance on such day, the Calculation Agent shall determine which Share shall be the Worst Performing Share in its sole and absolute discretion, and such Share shall be the Worst Performing Share).
2.
Barrier Event

(a)
A "Barrier Event (intraday)" means (and a Barrier Event (intraday) shall be deemed to occur if), in respect of a Share, the Calculation Agent determines that the Share Price of such Share as of the Barrier Event Valuation Time (intraday) on any Barrier Event Determination Day is less than or equal to the corresponding Barrier Level for such Share and such Barrier Event Determination Day.
For the purpose of determining whether a Barrier Event (intraday) has occurred on any day, the

LN2-9694
 
74
 
 




definition of Market Disruption Event specified in Share Linked Condition 3 shall be amended such that (i) all references to "during the one-hour period that ends at the relevant Valuation Time" shall be deleted, and (ii) in the definition of "Early Closure" appearing in Share Linked Condition 1, each reference to "Valuation Time" and "Scheduled Closing Time" shall be construed as a reference to "Barrier Event Valuation Time (intraday)".
(b)
A "Barrier Event (closing)" means (and a Barrier Event (closing) shall be deemed to occur if), in respect of a Share, the Calculation Agent determines that the Share Closing Price of any Share as of the Barrier Event Valuation Time (closing) on any Barrier Event Determination Day is less than or equal to the corresponding Barrier Level for such Share and such Barrier Event Determination Day.

3.
Market Disruption

"Market Disruption Event" means, in relation to a Share, the occurrence or existence of (a) a Trading Disruption, (b) an Exchange Disruption, which in either case the Calculation Agent determines is material, at any time during the one-hour period that ends at the Valuation Time for such Share or (c) an Early Closure.
4.
Correction to Share Prices

If the price of a Share published on any Valuation Date, Observation Date, or an Averaging Date (or other relevant date, as determined by the Calculation Agent), as the case may be, by the relevant Exchange and which is utilized for any calculation or determination made for the purposes of the Notes (a "Relevant Calculation") is subsequently corrected and the correction (the "Corrected Share Price") published by the relevant Exchange no later than two Business Days prior to the date on which payment of any amount or delivery of any assets may have to be made pursuant to such Relevant Calculation, then such Corrected Share Price shall be deemed to be the relevant price for such Share on such Averaging Date, Observation Date or Valuation Date (or other relevant date, as determined by the Calculation Agent), as the case may be, and the Calculation Agent shall use such Corrected Share Price in determining the relevant price and/or whether the Barrier Event (closing) or Barrier Event (intraday), as the case may be, has been triggered.
5.
Potential Adjustment Events, Merger Event, Tender Offer, De-listing, Nationalization and Insolvency

(a)
"Potential Adjustment Event" means any of the following:

(i)
a subdivision, consolidation or reclassification of relevant Shares (unless resulting in a Merger Event or, if Tender Offer is specified as applying in the applicable Final Terms, a Tender Offer) or a free distribution or dividend of any such Shares to existing holders by way of bonus, capitalization or similar issue;

(ii)
a distribution, issue or dividend to existing holders of the relevant Shares of (A) such Shares or (B) other share capital or securities granting the right to payment of dividends and/or the proceeds of liquidation of the Share Company equally or proportionately with such payments to holders of such Shares or (C) share capital or other securities of another issuer acquired or owned (directly or indirectly) by the Share Company as a result of a spin-off or other similar transaction or (D) any other type of securities, rights or warrants or other assets, in any case for payment (in cash or otherwise) at less than the prevailing market price as determined by the Calculation Agent;


LN2-9694
 
75
 
 




(iii)
an extraordinary dividend as determined by the Calculation Agent;

(iv)
a call by a Share Company in respect of relevant Shares that are not fully paid;

(v)
a repurchase by the Share Company or any of its subsidiaries, as the case may be, of relevant Shares whether out of profits or capital and whether the consideration for such repurchase is cash, securities or otherwise;

(vi)
in respect of a Share Company an event that results in any shareholder rights being distributed or becoming separated from shares of common stock or other shares of the capital stock of such Share Company pursuant to a shareholder rights plan or arrangement directed against hostile takeovers that provides upon the occurrence of certain events for a distribution of preferred stock, warrants, debt instruments or stock rights at a price below their market value as determined by the Calculation Agent, provided that any adjustment effected as a result of such an event shall be readjusted upon any redemption of such rights; or

(vii)
any other event having, in the opinion of the Calculation Agent, a diluting or concentrative effect on the theoretical value of the relevant Shares.

Following the declaration by the Share Company of the terms of any Potential Adjustment Event, the Calculation Agent will, in its sole and absolute discretion, determine whether such Potential Adjustment Event has a diluting or concentrative effect on the theoretical value of the Shares and, if so, will make the corresponding adjustment, if any, to any one or more of the terms of the Terms and Conditions and/or the applicable Final Terms as the Calculation Agent in its sole and absolute discretion determines appropriate to account for that diluting or concentrative effect (provided that no adjustments will be made to account solely for changes in volatility, expected dividends stock loan rate or liquidity relative to the relevant Share) and determine the effective date of that adjustment. The Calculation Agent may, but need not, determine the appropriate adjustment by reference to the adjustment in respect of such Potential Adjustment Event made by an options exchange to options on the Shares traded on that options exchange.
If "Local Tax Adjustment" is specified in the applicable Final Terms as being applicable, then, in its determinations of the existence and extent of any dilutive or concentrative effect on the theoretical value of the Shares of any Potential Adjustment Event, and any related adjustments to the terms of the Notes, the Calculation Agent shall take into account any amounts of Local Taxes that would, in the determination of the Calculation Agent, be withheld from or paid or otherwise incurred by an Offshore Investor in connection with such Potential Adjustment Event.
"Local Taxes" shall mean taxes, duties, and similar charges imposed by the taxing authority of the Local Jurisdiction as specified in the applicable Final Terms.
"Offshore Investor" shall mean a holder of Shares who is an institutional investor not resident in the Local Jurisdiction for the purposes of the tax laws and regulations of the Local Jurisdiction and, for the avoidance of doubt, whose jurisdiction of residence (i) shall be determined by the Calculation Agent and (ii) may be the jurisdiction of residence of the Issuer or any of its affiliates or agents.

LN2-9694
 
76
 
 




Upon the making of any such adjustment, the Calculation Agent shall give notice as soon as practicable to the Noteholders in accordance with Condition 14, stating the adjustment to the terms of the Terms and Conditions and/or the applicable Final Terms and giving brief details of the Potential Adjustment Event provided that any failure to give, or non-receipt of, such notice will not affect the validity of any such adjustment.
(b)
"De-listing" means, in respect of any relevant Shares:

(i)
in the case where the Exchange is not located in the United States, such Exchange announces that pursuant to the rules of such Exchange, such Shares cease (or will cease) to be listed, traded or publicly quoted on the Exchange for any reason (other than a Merger Event or, if Tender Offer is specified as applying in the applicable Final Terms, a Tender Offer) and are not immediately re-listed, re-traded or re-quoted on an exchange or quotation system located in the same country as the Exchange (or, where the Exchange is within the European Union, in a member state of the European Union); or

(ii)
in the case where the Exchange is located in the United States, such Exchange announces that pursuant to the rules of such Exchange, such Shares cease (or will cease) to be listed, traded or publicly quoted on the Exchange for any reason (other than a Merger Event or, if Tender Offer is specified as applying in the applicable Final Terms, a Tender Offer) and are not immediately re-listed, re-traded or re-quoted on any of the New York Stock Exchange, the American Stock Exchange, the NASDAQ Global Select Market or the NASDAQ Global Market (or their respective successors).

If the Shares are immediately re-listed, re-traded or re-quoted on any exchange or quotation system, such exchange or quotation system shall be deemed to be the Exchange in respect of such Shares.
"Insolvency" means that by reason of the voluntary or involuntary liquidation, bankruptcy, insolvency, dissolution, or winding-up of or any analogous proceeding affecting the Share Company (i) all the Shares of that Share Company are required to be transferred to a trustee, liquidator, or other similar official or (ii) holders of the Shares of that Share Company become legally prohibited from transferring them.
"Merger Date" means the closing date of a Merger Event or, where a closing date cannot be determined under the local law applicable to such Merger Event, such other date as determined by the Calculation Agent.
"Merger Event" means, in respect of any relevant Shares, any (i) reclassification or change of such Shares that results in a transfer of or an irrevocable commitment to transfer all of such Shares outstanding to another entity or person, (ii) consolidation, amalgamation, merger or binding share exchange of a Share Company with or into another entity or person (other than a consolidation, amalgamation, merger or binding share exchange in which such Share Company is the continuing entity and which does not result in a reclassification or change of all of such Shares outstanding), (iii) takeover offer, tender offer, exchange offer, solicitation, proposal or other event by any entity or person to purchase or otherwise obtain 100 per cent. of the outstanding Shares of the Share Company that results in a transfer of or an irrevocable commitment to transfer all such Shares (other than such Shares owned or controlled by such other entity or person), or (iv) consolidation, amalgamation, merger or binding share exchange of the Share Company or its subsidiaries with or into another entity in which the Share Company is the continuing entity and which does not result in a reclassification or change of all such Shares outstanding but results in the outstanding Shares (other than Shares

LN2-9694
 
77
 
 




owned or controlled by such other entity) immediately prior to such event collectively representing less than 50 per cent. of the outstanding Shares immediately following such event, in each case if the Merger Date is on or before (A) in the case of Cash Settled Notes, the last occurring Valuation Date or Observation Date, as the case may be, or where Averaging is specified in the applicable Final Terms, the final Averaging Date in respect of the relevant Security or (B) in the case of Physical Delivery Notes, the Maturity Date.
"Nationalization" means that all the Shares or all or substantially all the assets of the Share Company are nationalized, expropriated, or are otherwise required to be transferred to any governmental agency, authority, entity, or instrumentality thereof.
"Tender Offer" means a takeover offer, tender offer, exchange offer, solicitation, proposal, or other event by any entity or person that results in such entity or person purchasing, or otherwise obtaining or having the right to obtain, by conversion or other means, greater than 10 per cent. and less than 100 per cent. of the outstanding voting shares of the Share Company as determined by the Calculation Agent, based upon the making of filings with governmental or self-regulatory agencies or such other information as the Calculation Agent deems relevant.
"Tender Offer Date" means, in respect of a Tender Offer, the date on which voting shares in the amount of the applicable percentage threshold are actually purchased or otherwise obtained (as determined by the Calculation Agent).
(c)
If (x) a Merger Event, De-listing, Nationalization, or Insolvency occurs in relation to a Share and/or (y) if Tender Offer is specified as applicable in the applicable Final Terms, a Tender Offer occurs, the Issuer in its sole and absolute discretion may take the action described in (i), (ii), (iii) or (iv) below:

(i)
require the Calculation Agent to determine in its sole and absolute discretion the appropriate adjustment, if any, to be made to any terms of the Terms and Conditions and/or the applicable Final Terms to account for the De-listing, Merger Event, Tender Offer, Nationalization, or Insolvency, as the case may be, and determine the effective date of that adjustment. The Calculation Agent may (but need not) determine the appropriate adjustment by reference to the adjustment in respect of the Merger Event, Tender Offer, De-listing, Nationalization, or Insolvency made by any options exchange to options on the Shares traded on that options exchange and the relevant adjustments may in the case of adjustments following a Merger Event or Tender Offer include, without limitation, adjustments to account for changes in volatility, expected dividends, stock loan rate or liquidity relevant to the Shares; or

(ii)
give notice to the Noteholders in accordance with Condition 14 and redeem all, but not less than all, of the Notes, each nominal amount of Notes equal to the Specified Denomination being redeemed at the Early Redemption Amount; or

(iii)
following such adjustment to the settlement terms of options on the Shares traded on such exchange(s) or quotation system(s) as the Issuer in its sole discretion shall select (the "Options Exchange"), require the Calculation Agent to make a corresponding adjustment to any one or more of the terms of the Terms and Conditions and/or the applicable Final Terms which adjustment will be effective as of the date determined by the Calculation Agent to be the effective date of the corresponding adjustment made by the Options Exchange. If options on the Shares are not traded on the Options Exchange, the Calculation Agent will make such adjustment, if any, to any one or more of the terms of the Terms and Conditions and/or the applicable Final Terms as the Calculation Agent in its sole and absolute discretion determines appropriate, with

LN2-9694
 
78
 
 




reference to the rules and precedents (if any) set by the Options Exchange to account for the Merger Event, Tender Offer, De-listing, Nationalization, or Insolvency, as the case may be, that in the determination of the Calculation Agent would have given rise to an adjustment by the Options Exchange if such options were so traded; or

(iv)
unless the applicable Final Terms provides that "Share Substitution" shall not be applicable, then on or after the relevant Merger Date, Tender Offer Date, or the date of the Nationalization, Insolvency, or De-listing (as the case may be):

(A)
where the Share Linked Notes relate to a single Share, the Calculation Agent may substitute the share (the "Substitute Share") selected by it in accordance with the Share Substitution Criteria in place of such Share (the "Affected Share") which is affected by such Merger Event, Tender Offer, Nationalization, Insolvency, or De-listing and the Substitute Share will be deemed to be a "Share" and the relevant issuer of such shares, a "Share Company" for the purposes of the Notes, and the Calculation Agent will make such adjustment, if any, to any of the terms of the Terms and Conditions and/or the applicable Final Terms as the Calculation Agent in its sole and absolute discretion determines appropriate, provided that in the event that any amount payable under the Notes was to be determined by reference to the price of the Affected Share on the Trade Date (or any such other historical date specified in the applicable Final Terms), the relevant price of each Substitute Share will be determined by the Calculation Agent in accordance with the following formula:
A x (B/C)
where:
"A"    is the official closing price of the relevant Substitute Share on the relevant exchange, as determined by the Calculation Agent, on the date that the substitution is effected;
"B"    is the price of the Affected Share on the Trade Date (or any such other historical date specified in the applicable Final Terms) where such price is defined in the applicable Final Terms for the purposes of calculating any value or determining any amount payable in respect of the Notes; and
"C"     is the official closing price of the relevant Affected Share on the relevant Exchange on the date that the substitution is effected;

LN2-9694
 
79
 
 




(B)
where the Share Linked Notes relate to a Basket of Shares, the Calculation Agent may adjust the Basket of Shares to include a share or shares (the "Substitute Shares") selected by it in accordance with the Share Substitution Criteria in place of the Share(s) (the "Affected Share(s)") which are affected by such Merger Event, Tender Offer, Nationalization, Insolvency, or De-listing and the Substitute Shares will be deemed to be "Shares" and the relevant issuer of each such share, a "Share Company" for the purposes of the Notes, and the Calculation Agent will make such adjustment, if any, to any of the terms of the Terms and Conditions and/or the applicable Final Terms as the Calculation Agent in its sole and absolute discretion determines appropriate, provided that in the event that any amount payable under the Notes was to be determined by reference to the price of the Affected Share on the Trade Date (or any such other historical date specified in the applicable Final Terms), the relevant price of each Substitute Share will be determined by the Calculation Agent in accordance with the following formula:

A x (B/C)
where:
"A"    is the official closing price of the relevant Substitute Share on the relevant exchange, as determined by the Calculation Agent on the date that the substitution is effected;
"B"    is the price of the Affected Share on the Trade Date (or any such other historical date specified in the applicable Final Terms) where such price is defined in the applicable Final Terms for the purposes of calculating any value or determining any amount payable in respect of the Notes; and
"C"    is the official closing price of the relevant Affected Share on the relevant Exchange on the date that the substitution is effected.
The weighting of each Substitute Share in the basket will be equal to the weighting of the relevant Affected Share.
Upon the occurrence of a Merger Event, De-listing, Nationalization, Insolvency, or, if applicable, Tender Offer, the Issuer shall give notice as soon as practicable to the Noteholders in accordance with Condition 14 stating the occurrence of the Merger Event, Tender Offer, Nationalization, or Insolvency, as the case may be, giving details thereof and the action proposed to be taken in relation thereto provided that any failure to give, or non-receipt of, such notice will not affect the validity of any such Merger Event, Tender Offer, De-listing, Nationalization or Insolvency, as the case may be.
6.
Non-euro Quoted Shares

In respect of Share Linked Notes relating to Shares originally quoted, listed and/or dealt as of the Trade Date in a currency of a member state of the European Union that has not adopted the single currency in accordance with the Treaty, if such Shares are at any time after the Trade Date quoted, listed and/or dealt exclusively in euro on the relevant Exchange or, where the Exchange is specified as not applicable in the Final Terms, the principal market on which those Shares are traded, then the Calculation Agent will adjust any of the terms of the Terms and Conditions and/or the applicable Final Terms as the Calculation Agent determines in its sole and absolute discretion to be appropriate to preserve the economic terms of the Notes. The Calculation Agent will make any conversion necessary for purposes of any such adjustment as

LN2-9694
 
80
 
 




of the Valuation Time at an appropriate mid market spot rate of exchange determined by the Calculation Agent prevailing as of the Valuation Time. No adjustments under this provision will affect the currency denomination of any payment obligation arising out of the Notes.
7.
Additional Disruption Events

(a)
"Additional Disruption Event" means any of Change in Law, Hedging Disruption, Increased Cost of Hedging, Increased Cost of Stock Borrow, Loss of Stock Borrow, and/or Insolvency Filing, in each case if specified in the applicable Final Terms.

"Change in Law" means that, on or after the Trade Date (as specified in the applicable Final Terms) (i) due to the adoption of or any change in any applicable law or regulation (including, without limitation, any tax law), or (ii) due to the promulgation of or any change in the interpretation by any court, tribunal or regulatory authority with competent jurisdiction of any applicable law or regulation (including any action taken by a taxing authority), the Calculation Agent determines in its sole and absolute discretion that (A) it has become illegal to hold, acquire or dispose of any relevant Share or (B) it will incur a materially increased cost in performing its obligations in relation to the Share Linked Notes (including, without limitation, due to any increase in tax liability, decrease in tax benefit, or other adverse effect on the tax position of the Issuer and/or any of its affiliates).
"Hedging Disruption" means that the Issuer and/or any of its Affiliates or agents is unable, after using commercially reasonable efforts, to (i) acquire, establish, re-establish, substitute, maintain, unwind, or dispose of any transaction(s) or asset(s) it deems necessary to hedge the equity or other price risk of the Issuer issuing and performing its obligations with respect to the Share Linked Notes, or (ii) realize, recover, or remit the proceeds of any such transaction(s) or asset(s).
"Hedging Shares" means the number of Shares that the Calculation Agent deems necessary to hedge the equity or other price risk of entering into and performing its obligations with respect to the Share Linked Notes.
"Increased Cost of Hedging" means that the Issuer and/or any of its Affiliates or agents would incur a materially increased (as compared with circumstances existing on the Trade Date) amount of tax, duty, expense or fee (other than brokerage commissions) to (i) acquire, establish, re-establish, substitute, maintain, unwind, or dispose of any transaction(s) or asset(s) it deems necessary to hedge the equity or other price risk of the Issuer issuing and performing its obligations with respect to the Share Linked Notes, or (ii) realize, recover, or remit the proceeds of any such transaction(s) or asset(s), provided that any such materially increased amount that is incurred solely due to the deterioration of the creditworthiness of the Issuer and/or any of its Affiliates or agents shall not be deemed an Increased Cost of Hedging.
"Increased Cost of Stock Borrow" means that the Issuer and/or any of its affiliates would incur a rate to borrow Shares that is greater than the Initial Stock Loan Rate.
"Initial Stock Loan Rate" means, in respect of a Share, the Initial Stock Loan Rate specified in relation to such Share in the applicable Final Terms.
"Insolvency Filing" means that a Share Company institutes or has instituted against it by a regulator, supervisor or any similar official with primary insolvency, rehabilitative, or regulatory jurisdiction over it in the jurisdiction of its incorporation or organization or the jurisdiction of its head or home office, or it consents to a proceeding seeking a judgment of insolvency or bankruptcy or any other relief under any bankruptcy or insolvency law or other similar law affecting creditors' rights, or a

LN2-9694
 
81
 
 




petition is presented for its winding-up or liquidation by it or such regulator, supervisor or similar official or it consents to such a petition, provided that proceedings instituted or petitions presented by creditors and not consented to by the Share Company shall not be deemed an Insolvency Filing.
"Loss of Stock Borrow" means that the Issuer and/or any Affiliate is unable, after using commercially reasonable efforts, to borrow (or maintain a borrowing of) any Share in an amount equal to the Hedging Shares at a rate equal to or less than the Maximum Stock Loan Rate.
"Maximum Stock Loan Rate" means in respect of a Share, the Maximum Stock Loan Rate specified in the applicable Final Terms.
(b)
If an Additional Disruption Event occurs, the Issuer in its sole and absolute discretion may take the action described in (i) or (ii) below:

(i)
require the Calculation Agent to determine in its sole and absolute discretion the appropriate adjustment, if any, to be made to any of the other terms of the Terms and Conditions and/or the applicable Final Terms to account for the Additional Disruption Event and determine the effective date of that adjustment; or

(ii)
give notice to Noteholders in accordance with Condition 14 and redeem all, but not less than all, of the Notes, each nominal amount of Notes equal to the Specified Denomination being redeemed at the Early Redemption Amount.

(c)
Upon the occurrence of an Additional Disruption Event, the Issuer shall give notice as soon as practicable to the Noteholders in accordance with Condition 14 stating the occurrence of the Additional Disruption Event giving details thereof and the action proposed to be taken in relation thereto provided that any failure to give, or non-receipt of, such notice will not affect the validity of the Additional Disruption Event.

(d)
If the applicable Final Terms provides that "Share Substitution" is applicable upon the occurrence of an Additional Disruption Event, the provisions of Share Linked Condition 5(c)(iv)(A) or 5(c)(iv)(B) (as is applicable) shall apply in respect of an Additional Disruption Event where any reference to "Merger Event, Tender Offer, Nationalization, Insolvency or De-listing" in Share Linked Conditions 5(c)(iv)(A) and 5(c)(iv)(B) shall be replaced by "Additional Disruption Event", and any other relevant references shall be construed accordingly.

LN2-9694
 
82
 
 




ANNEX 3

ADDITIONAL TERMS AND CONDITIONS FOR GDR/ADR LINKED NOTES

The terms and conditions applicable to GDR/ADR Linked Notes shall comprise the Terms and Conditions of the Notes and the additional Terms and Conditions set out below (the "GDR/ADR Linked Conditions"), in each case subject to completion and/or amendment in the applicable Final Terms. In the event of any inconsistency between the Terms and Conditions of the Notes and the GDR/ADR Linked Conditions, the GDR/ADR Linked Conditions shall prevail. In the event of any inconsistency between (i) the Terms and Conditions of the Notes and/or the GDR/ADR Linked Conditions and (ii) the Final Terms, the Final Terms shall prevail.
1.
General

The provisions of Annex 2 - "Additional Terms and Conditions for Share Linked Notes" shall apply to GDR/ADR Linked Notes; and
(a)
where the applicable Final Terms specifies that "Partial Lookthrough" shall apply to a GDR or ADR as applicable, then the provisions set out in GDR/ADR Linked Condition 3 (Partial Lookthrough) shall apply, and, in relation to such GDR or ADR respectively, the provisions of the Share Linked Conditions shall be deemed to be amended and modified as set out in GDR/ADR Linked Condition 3 (Partial Lookthrough); or

(b)
where the applicable Final Terms specifies that "Full Lookthrough" shall apply to a GDR or ADR as applicable, then the provisions set out in GDR/ADR Linked Condition 4 (Full Lookthrough) shall apply, and, in relation to such GDR or ADR respectively, the provisions of the Share Linked Conditions shall be deemed to be amended and modified as set out in GDR/ADR Linked Condition 4 (Full Lookthrough).

2.
Definitions

For the purposes of these GDR/ADR Linked Conditions:
"Deposit Agreement" means, in relation to the Shares, the agreements or other instruments constituting the Shares, as from time to time amended or supplemented in accordance with their terms.
"Depository" means:
(a)
if GDR/ADR Linked Condition 3 (Partial Lookthrough) is applicable, the Share Company of the Shares; or

(b)
if GDR/ADR Linked Condition 4 (Full Lookthrough) is applicable, the Share Company in respect of the Shares or any successor issuer of the Shares from time to time.

"DR Amendment" means, where specified as applicable to a definition or provision, that the following changes shall be made to such definition or provision: (a) all references to "Shares" shall be deleted and replaced with the words "Shares and/or the Underlying Shares"; and (b) all references to "Share Company" shall be deleted and replaced with the words "Share Company or Underlying Shares Issuer, as appropriate".

LN2-9694
 
83
 
 




"Underlying Shares" means the shares or other securities which are the subject of the Deposit Agreement.
"Underlying Shares Issuer" means the issuer of the Underlying Shares.
3.
Partial Lookthrough

(a)
The definition of "Potential Adjustment Event" in Share Linked Condition 5(a) shall be amended as follows:

(i)
the DR Amendment shall be made, provided that an event under (i) to (vii) of the definition of "Potential Adjustment Event" in respect of the Underlying Shares shall not constitute a Potential Adjustment Event unless, in the opinion of the Calculation Agent, such event has a diluting or concentrative effect on the theoretical value of the Shares;

(ii)
"." shall be deleted where it appears at the end of (vii) in the definition of "Potential Adjustment Event" and replaced with "; or "; and

(iii)
the following shall be inserted as provision (viii): "(viii) the making of any amendment or supplement to the terms of the Deposit Agreement.".

(b)
In making any adjustment following any Potential Adjustment Event, the Calculation Agent may (amongst other factors) have reference to any adjustment made by the Depository under the Deposit Agreement. If the Calculation Agent determines that no adjustment that it could make will produce a commercially reasonable result, it shall notify the Issuer and the Noteholders that the relevant consequence shall be the early redemption of the Notes, in which case the Issuer shall, on giving notice to the Noteholders in accordance with Condition 14, redeem all (but not less than all) of the Notes, each Note being redeemed at the Early Redemption Amount.

(c)
If a Potential Adjustment Event specified under (viii) of the definition of "Potential Adjustment Event" (as amended by (a) above) has occurred, then the following amendments shall be deemed to be made to Share Linked Condition 5 in respect of such Potential Adjustment Event:

(i)
the words "has a diluting or concentrative effect on the theoretical value of the Shares" shall be deleted and replaced with the words "has an economic effect on the Notes"; and

(ii)
the words "determines appropriate to account for that diluting or concentrative effect" shall be deleted and replaced with the words "determines appropriate to account for such economic effect on the Notes".

(d)
The definitions of "Merger Event" and "Tender Offer" shall be amended in accordance with the DR Amendment.

(e)
If (i) a Merger Event occurs in relation to a Share and/or (ii) if Tender Offer is specified as applicable in the applicable Final Terms, a Tender Offer occurs, the Issuer in its sole and absolute discretion may take the action described in Share Linked Condition 5(c).

(f)
Following the declaration by the Underlying Shares Issuer of the terms of any Merger Event or Tender Offer, then in each case where the Calculation Agent makes an adjustment to the Notes the Calculation

LN2-9694
 
84
 
 




Agent may (amongst other factors) have reference to any adjustment made by the Depository under the Deposit Agreement.

(g)
The definitions of "Nationalization", "Insolvency" and "De-listing" shall be amended in accordance with the DR Amendment.

(h)
Notwithstanding anything to the contrary in the definition of "De-listing", a De-listing shall not occur in respect of the Underlying Shares if the Underlying Shares are immediately re-listed, re-traded, or re-quoted on an exchange or quotation system regardless of the location of such exchange or quotation system.

(i)
If a De-listing, Nationalization or Insolvency occurs in relation to the Underlying Shares or the Underlying Shares Issuer, the Issuer in its sole and absolute discretion may take the action described in Share Linked Condition 5(c).

(j)
The paragraph in Share Linked Condition 5(c) which provides as follows: "If (x) a Merger Event, De-listing, Nationalization, or Insolvency occurs in relation to a Share and/or (y) if Tender Offer is specified as applicable in the applicable Final Terms, a Tender Offer occurs, the Issuer in its sole and absolute discretion may take the action described in (i), (ii), (iii), or (iv) below:" shall be deemed to be replaced by "If (x) a Merger Event, the announcement by the Depository that the Deposit Agreement is (or will be) terminated, De-listing, Nationalization, or Insolvency occurs in relation to a Share and/or (y) if Tender Offer is specified as applicable in the applicable Final Terms, a Tender Offer occurs, the Issuer in its sole and absolute discretion may take the action described in (i), (ii), (iii), or (iv) below:".

(k)
Each reference to "Merger Event" in Share Linked Condition 5(c)(i), (ii), (iii), and (iv) shall be deemed to replaced with a reference to "Merger Event, the announcement by the Depository that the Deposit Agreement is (or will be) terminated,".

(l)
If Hedging Disruption and Increased Cost of Hedging are specified as being applicable in the applicable Final Terms, the definitions of "Hedging Disruption" and "Increased Cost of Hedging" in Share Linked Condition 7(a) shall each be amended as follows:

(i)
the words "any transaction(s) or asset(s) it deems necessary to hedge the equity or other price risk of the Issuer issuing and performing its obligations with respect to the Share Linked Notes" shall be deleted and replaced with the words "any Share(s)"; and

(ii)
the words "any such transaction(s) or asset(s)" shall be deleted and replaced with the words "any Share(s)".

(m)
If Insolvency Filing is specified as being applicable in the applicable Final Terms, the definition of "Insolvency Filing" in Share Linked Condition 7(a) shall be amended in accordance with the DR Amendment.

(n)
For the avoidance of doubt, where a provision is amended pursuant to this GDR/ADR Linked Condition 3 (Partial Lookthrough) in accordance with the DR Amendment, if the event described in such provision occurs in respect of the Underlying Shares or the Underlying Shares Issuer, then the consequence of such event shall be interpreted consistently with the DR Amendment and such event.


LN2-9694
 
85
 
 




4.
Full Lookthrough

(a)
The definition of "Potential Adjustment Event" in Share Linked Condition 5(a) shall be amended as follows:

(i)
the DR Amendment shall be made, provided that an event under (i) to (vii) of the definition of "Potential Adjustment Event" in respect of the Underlying Shares shall not constitute a Potential Adjustment Event unless, in the opinion of the Calculation Agent, such event has a diluting or concentrative effect on the theoretical value of the Shares;

(ii)
"." shall be deleted where it appears at the end of (vii) in the definition of "Potential Adjustment Event" and replaced with "; or"; and

(iii)
the following shall be inserted as provision (viii): "(viii) the making of any amendment or supplement to the terms of the Deposit Agreement.".

(b)
In making any adjustment following any Potential Adjustment Event, the Calculation Agent may (amongst other factors) have reference to any adjustment made by the Depository under the Deposit Agreement. If the Calculation Agent determines that no adjustment that it could make will produce a commercially reasonable result, it shall notify the Issuer and the Noteholders that the relevant consequence shall be the early redemption of the Notes, in which case the Issuer shall, on giving notice to the Noteholders in accordance with Condition 14, redeem all (but not less than all) of the Notes, each Note being redeemed at the Early Redemption Amount.

(c)
If a Potential Adjustment Event specified under (viii) of the definition of "Potential Adjustment Event" (as amended by (a) above) has occurred, then the following amendments shall be deemed to be made to Share Linked Condition 5 in respect of such Potential Adjustment Event:

(i)
the words "determine whether such Potential Adjustment Event has a diluting or concentrative effect on the theoretical value of the Shares" shall be deleted and replaced with the words "determine whether such Potential Adjustment Event has an economic effect on the Notes"; and

(ii)
the words "determines appropriate to account for that diluting or concentrative effect" shall be deleted and replaced with the words "determines appropriate to account for such economic effect on the Notes".

(d)
The definitions of "Merger Event" and "Tender Offer" shall be amended in accordance with the DR Amendment.

(e)
If (i) a Merger Event occurs in relation to a Share and/or (ii) if Tender Offer is specified as applicable in the applicable Final Terms, a Tender Offer occurs, the Issuer in its sole and absolute discretion may take the action described in Share Linked Condition 5(c).

(f)
Following the declaration by the Underlying Shares Issuer of the terms of any Merger Event or Tender Offer in relation to the Underlying Shares, then in each case where the Calculation Agent makes an adjustment to the Notes the Calculation Agent shall (amongst other factors) have reference to any adjustment made by the Depository under the Deposit Agreement.


LN2-9694
 
86
 
 




(g)
The definitions of "Nationalization", "Insolvency", and "De-listing" shall be amended in accordance with the DR Amendment.

(h)
If a De-listing, Nationalization, or Insolvency occurs in relation to the Underlying Shares or the Underlying Shares Issuer, the Issuer in its sole and absolute discretion may take the action described in Share Linked Condition 5(c).

(i)
The paragraph in Share Linked Condition 5(c) which provides as follows: "If (x) a Merger Event, De-listing, Nationalization or Insolvency occurs in relation to a Share and/or (y) if Tender Offer is specified as applicable in the applicable Final Terms, a Tender Offer occurs, the Issuer in its sole and absolute discretion may take the action described in (i), (ii), (iii) or (iv) below:" shall be deemed to be replaced by "If (x) a Merger Event, the announcement by the Depository that the Deposit Agreement is (or will be) terminated, De-listing, Nationalization or Insolvency occurs in relation to a Share and/or (y) if Tender Offer is specified as applicable in the applicable Final Terms, a Tender Offer occurs, the Issuer in its sole and absolute discretion may take the action described in (i), (ii), (iii), or (iv) below:".

(j)
Each reference to "Merger Event" in Share Linked Condition 5(c) shall be deemed to replaced with a reference to "Merger Event, the announcement by the Depository that the Deposit Agreement is (or will be) terminated,".

(k)
The definition of any Additional Disruption Event specified as applicable in the applicable Final Terms shall be amended in accordance with the DR Amendment.

(l)
If applicable, the definition of "Hedging Shares" in Share Linked Condition 7(a) shall be amended in accordance with the DR Amendment.

(m)
For the purpose of determining whether a Market Disruption Event has occurred in respect of the Share, the following amendments shall be deemed to be made to the Share Linked Conditions:

(i)
each reference to the "Exchange" in the definitions of "Exchange Business Day", "Scheduled Closing Time", "Scheduled Trading Day", "Trading Disruption", "Exchange Disruption", and "Early Closure" shall be deemed to include a reference to the primary exchange or quotation system on which the Underlying Shares are traded, as determined by the Calculation Agent; and

(ii)
the definitions of "Market Disruption Event", "Trading Disruption", "Exchange Disruption", and "Related Exchange" shall be amended in accordance with the DR Amendment.

(n)
For the avoidance of doubt, where a provision is amended pursuant to this GDR/ADR Linked Condition 4 (Full Lookthrough) in accordance with the DR Amendment, if the event described in such provision occurs in respect of the Underlying Shares or the Underlying Shares Issuer, then the consequence of such event shall be interpreted consistently with the DR Amendment and such event.


LN2-9694
 
87
 
 




ANNEX 4

ADDITIONAL TERMS AND CONDITIONS FOR FX LINKED NOTES

The terms and conditions applicable to FX Linked Notes shall comprise the Terms and Conditions of the Notes and the additional Terms and Conditions set out below (the "FX Linked Conditions"), in each case subject to completion and/or amendment in the applicable Final Terms. In the event of any inconsistency between the Terms and Conditions of the Notes and the FX Linked Conditions, the FX Linked Conditions shall prevail. In the event of any inconsistency between (i) the Terms and Conditions of the Notes and/or FX Linked Conditions and (ii) the Final Terms, the Final Terms shall prevail.
1.
Definitions

"Averaging Cut-Off Date" means, in respect of an Averaging Date, the fifth FX Business Day immediately following the original date on which the final Averaging Date was scheduled to fall, or, if earlier, the FX Business Day falling on or immediately preceding the second Business Day immediately preceding the date on which payment of any amount or delivery of any assets may have to be made pursuant to any calculation or determination made on such Averaging Date, provided that the Averaging Cut-Off Date shall not fall prior to the original date on which such final Averaging Date was scheduled to fall.
"Averaging Date" means each Averaging Date specified in the applicable Final Terms, or, if that is not an FX Business Day the first following day which is an FX Business Day, or, if earlier, the Averaging Cut-Off Date (such day, the "Scheduled Averaging Date" corresponding to such Averaging Date). If an Averaging Date falls on the Averaging Cut-Off Date, then, subject to the applicable Final Terms, the next applicable Disruption Fallback specified as a consequence of an FX Market Disruption Event shall apply (as if an FX Market Disruption Event had occurred), or, if none is specified, Calculation Agent Determination shall be deemed to apply.
"Base Currency" means the currency specified as such in the applicable Final Terms.
"Calculation Agent Determination" means, in respect of a Currency Price and any relevant day, that such Currency Price for such relevant day (or a method for determining such Currency Price) will be determined by the Calculation Agent taking into consideration all available information that in good faith it deems relevant.
"Currency Price" means, in relation to each Note, the Currency Price specified in the applicable Final Terms, or if not so specified in the applicable Final Terms, in respect of each Subject Currency, an amount equal to the spot rate of exchange appearing on the FX Price Source at the Valuation Time on (a) if Averaging is not specified in the applicable Final Terms, the Valuation Date or (b) if Averaging is specified in the applicable Final Terms, an Averaging Date, for the exchange of such Subject Currency into the Base Currency (expressed as the number of units (or part units) of the Subject Currency for which one unit of the Base Currency can be exchanged).
"Currency-Reference Dealers" means, in respect of any relevant day, that the Calculation Agent will request each of the Reference Dealers to provide a quotation of its rate at which it will buy one unit of the Base Currency in units of the Subject Currency at the applicable Valuation Time on such relevant day. If, for any such rate, at least two quotations are provided, the relevant rate will be the arithmetic mean of the quotations. If fewer than two quotations are provided for any such rate, the relevant rate will be the arithmetic mean of the relevant rates quoted by major banks in the relevant market, selected by the Calculation Agent at or around the applicable Valuation Time on such relevant day.

LN2-9694
 
88
 
 




"Disruption Fallback" means, in respect of a Currency Price, Calculation Agent Determination, Currency-Reference Dealers, EM Fallback Valuation Postponement, EM Valuation Postponement, Fallback Reference Price, Other Published Sources, Postponement, and/or such other sources or methods specified as such or otherwise determined as an alternative basis for determining such Currency Price as may be provided in the applicable Final Terms. The applicable Disruption Fallback in respect of a Currency Price shall be as specified in the applicable Final Terms, and if two or more Disruption Fallbacks are specified, unless otherwise provided in the Final Terms, such Disruption Fallbacks shall apply in the order specified in the applicable Final Terms, such that if the Calculation Agent determines that the Currency Price cannot be determined by applying one Disruption Fallback, then the next Disruption Fallback specified shall apply.
"Fallback Reference Price(s)" means, in respect of a Currency Price, that the Currency Price for the relevant date will be the alternate price source(s) specified in the applicable Final Terms for such Currency Price, applied in the order specified in the applicable Final Terms.
"FX Business Day" means, in respect of a Currency Price, a day on which commercial banks and foreign exchange markets settle payments and are open for general business (including dealing in foreign exchange and foreign currency deposits), or but for the occurrence of an FX Market Disruption Event in respect of such Currency Price would have settled payments and been open for general business, in each of the Specified Financial Centers for such Currency Price, as specified in the applicable Final Terms.
"FX Disrupted Day" means any FX Business Day on which a FX Market Disruption Event occurs.
"FX Market Disruption Event" means:
(a)
in respect of a Currency Price, the occurrence or existence, as determined by the Calculation Agent in its sole and absolute discretion, of any FX Price Source Disruption and/or any FX Trading Suspension or Limitation and/or, if specified as applicable in the Final Terms, any Inconvertibility Event and/or any other event specified as applicable in the applicable Final Terms; and

(b)
if the applicable Final Terms provides that the EM Currency Provisions shall apply to a Currency Price, in respect of such Currency Price, the occurrence or existence, as determined by the Calculation Agent in its sole and absolute discretion, of any FX Price Source Disruption, Price Materiality Event and/or, if specified as applicable in the Final Terms, any Inconvertibility Event and/or Non-Transferability Event and/or any other event specified as applicable in the applicable Final Terms.

"FX Price Source(s)" means, in respect of a Currency Price, the price source(s) specified in the applicable Final Terms for such Currency Price, or if the relevant rate is not published or announced by such FX Price Source at the relevant time, the successor or alternative price source or page/publication for the relevant rate as determined by the Calculation Agent in its sole and absolute discretion.
"FX Price Source Disruption" means it becomes impossible or otherwise impracticable to obtain and/or execute the relevant rate(s) required to calculate the Currency Price on the Averaging Date or Valuation Date or other relevant date, or, if different, the day on which rates for that Averaging Date or Valuation Date or other relevant date, as the case may be, would in the ordinary course be published or announced by the relevant FX Price Source.
"FX Trading Suspension or Limitation" means the suspension of and/or limitation of trading in the rate(s) required to calculate the relevant Currency Price in the Interbank Market provided that such suspension or limitation of trading is material in the opinion of the Calculation Agent.

LN2-9694
 
89
 
 




"Inconvertibility Event" means the occurrence, as determined by the Calculation Agent in its sole and absolute discretion, of any action, event or circumstance whatsoever which, from a legal or practical perspective:
(a)
has the direct or indirect effect of hindering, limiting or restricting (i) the convertibility of the relevant Subject Currency into the Base Currency, or (ii) the transfer of the Subject Currency or the Base Currency to countries other than the countries for which the Subject Currency or the Base Currency, as the case may be, is the lawful currency (including without limitation, by way of any delays, increased costs or discriminatory rates of exchange or any current or future restrictions); and/or

(b)
results in the unavailability of any relevant Base Currency or Subject Currency in the interbank foreign exchange market in any Specified Financial Center(s) in accordance with normal commercial practice.

"Interbank Market" means the over-the-counter foreign exchange spot market open continuously from and including 5:00 a.m., Sydney time, on a Monday in any week to and including 5:00 p.m., New York time, on the Friday of such week.
"Maximum Days of Postponement" means five (5) FX Business Days or such other number of FX Business Days (or other type of days) as specified in the applicable Final Terms.
"Non-Transferability Event" means the occurrence, as determined by the Calculation Agent in its sole and absolute discretion, of any event that generally makes it impossible to deliver (a) the Base Currency from accounts inside the Subject Currency Jurisdiction to accounts outside the Subject Currency Jurisdiction or (b) the Subject Currency between accounts inside the Subject Currency Jurisdiction or to a party that is a non-resident of the Subject Currency Jurisdiction.
"Other Published Sources" means, in respect of any relevant day, that the Calculation Agent will determine the Currency Price on such relevant day on the basis of the exchange rate for one unit of the Base Currency in terms of the Subject Currency published by available recognized financial information vendors (as selected by the Calculation Agent) other than the applicable FX Price Source, at or around the applicable Valuation Time on such relevant day.
"Postponement" means, in respect of a Valuation Date or an Averaging Date, if such day (or, if applicable, if the original day on which such Valuation Date or an Averaging Date, as the case may be, is scheduled to fall (as specified in the applicable Final Terms) is postponed on account of such original day not being an FX Business Day, such postponed day) is an FX Disrupted Day, then:
(a)
where the FX Linked Notes relate to a single Currency Price, such Valuation Date or Averaging Date, as the case may be, shall be the first succeeding FX Business Day that is not an FX Disrupted Day, unless the Calculation Agent determines that each of the consecutive FX Business Days equal in number to the Maximum Days of Postponement immediately following such Scheduled Valuation Date or Scheduled Averaging Date, as the case may be, is an FX Disrupted Day. In that case, (i) that last consecutive FX Business Day shall be deemed to be the Valuation Date or the Averaging Date, as the case may be (notwithstanding the fact that such day may be an FX Disrupted Day) and (ii) the next applicable Disruption Fallback shall apply; or

(b)
where the FX Linked Notes relate to a Basket of Currency Prices, such Valuation Date or Averaging Date, as the case may be, for each Currency Price not affected by the occurrence of an FX Disrupted Day shall be the Scheduled Valuation Date or Scheduled Averaging Date, as the case may be, and the Valuation Date for each Currency Price affected (each an "Affected Currency Price") by the occurrence of an FX Disrupted Day shall be the first succeeding FX Business Day that is not an FX

LN2-9694
 
90
 
 




Disrupted Day relating to the Affected Currency Price, unless the Calculation Agent determines that each of the consecutive FX Business Days equal in number to the Maximum Days of Postponement immediately following such Scheduled Valuation Date or Scheduled Averaging Date, as the case may be, is an FX Disrupted Day. In that case for each Affected Currency Price, (i) that last consecutive FX Business Day shall be deemed to be the Valuation Date or the Averaging Date, as the case may be (notwithstanding the fact that such day may be an FX Disrupted Day) and (ii) the next applicable Disruption Fallback shall apply.

"Price Materiality Event" means, in respect of a Currency Price and a Valuation Date, Averaging Date or other relevant date, that the FX Price Source differs from the Fallback Reference Price by at least the Price Materiality Percentage (and if both an FX Price Source Disruption and a Price Materiality Event occur or exist on any day, it shall be deemed that an FX Price Source Disruption and not a Price Materiality Event occurred or existed on such day).
"Price Materiality Percentage" means the percentage specified as such in the applicable Final Terms.
"Reference Dealers" means, in respect of each Subject Currency, four leading dealers in the relevant foreign exchange market, as determined by the Calculation Agent (or any other number of dealers as specified in the applicable Final Terms).
"Specified Financial Center(s)" means the financial center(s) specified in the applicable Final Terms.
"Strike Date" means the date specified as such in the applicable Final Terms.
"Subject Currency" means the currency specified as such in the applicable Final Terms.
"Subject Currency Jurisdiction" means the country for which the Subject Currency is the lawful currency.
"Valuation Cut-Off Date" means, in respect of a Valuation Date, the fifth FX Business Day immediately following the original date on which such Valuation Date was scheduled to fall, or, if earlier, the FX Business Day falling on or immediately preceding the second Business Day immediately preceding the date on which payment of any amount or delivery of any assets may have to be made pursuant to any calculation or determination made on such Valuation Date, provided that the Valuation Cut-Off Date shall not fall prior to the original date on which such Valuation Date was scheduled to fall.
"Valuation Date" means:
(a)
if the applicable Final Terms specifies that the EM Currency Provisions shall not apply to a Currency Price, each Valuation Date specified in the applicable Final Terms or if that is not an FX Business Day the first following day which is an FX Business Day, or, if earlier, the Valuation Cut-Off Date (such day, the "Scheduled Valuation Date" corresponding to such Valuation Date). If a Valuation Date falls on the Valuation Cut-Off Date, then, subject to the applicable Final Terms, the first applicable Disruption Fallback specified as a consequence of an FX Market Disruption Event shall apply (as if an FX Market Disruption Event had occurred), or, if none is specified, Calculation Agent Determination shall be deemed to apply; or

(b)
if the applicable Final Terms specifies that the EM Currency Provisions shall apply to a Currency Price, each Valuation Date specified in the applicable Final Terms (the "Scheduled Valuation Date" in respect of such Currency Price, if such day is an FX Business Day for such Currency Price, or if such day is not an FX Business Day only by reason of being an Unscheduled Holiday for such Currency Price), or the immediately preceding FX Business Day for such Currency Price, as determined by the

LN2-9694
 
91
 
 




Calculation Agent (the "Scheduled Valuation Date" in respect of such Currency Price, if such day is not an FX Business Day and is not an Unscheduled Holiday for such Currency Price), provided that such Valuation Date shall be subject to adjustment in accordance with FX Linked Condition 2 (Consequences of an FX Disrupted Day) and FX Linked Condition 3 (EM Currency Provisions: Unscheduled Holiday) below.

"Valuation Time" means the Valuation Time specified in the applicable Final Terms.
2.
Consequences of an FX Disrupted Day

If the Calculation Agent determines that any Valuation Date or Averaging Date is an FX Disrupted Day, then the Currency Price for such Valuation Date or Averaging Date will be determined in accordance with the terms of the first applicable Disruption Fallback. The applicable Final Terms may provide that one or more Disruption Fallbacks may apply to any Valuation Date or Averaging Date and that such applicable Disruption Fallbacks may apply concurrently or sequentially, in such manner as specified in the applicable Final Terms.
3.
EM Currency Provisions: Unscheduled Holiday

(a)
If the applicable Final Terms provides that the EM Currency Provisions shall apply to a Currency Price or Fallback Reference Price, as applicable, and any Valuation Date or Averaging Date, and that Unscheduled Holidays shall be applicable, then, if the Calculation Agent determines that the relevant Scheduled Valuation Date or Scheduled Averaging Date, as applicable (each, a "Scheduled Reference Date"), is an Unscheduled Holiday for such Currency Price or Fallback Reference Price, then the Valuation Date or Averaging Date shall be postponed to the first FX Business Day falling after the Scheduled Reference Date (the "Adjusted Scheduled Reference Date"), provided that if such first FX Business Day has not occurred on or before the last day of the Maximum Days of Deferral, then the next day after the Last Deferred Day that would have been an FX Business Day but for an Unscheduled Holiday shall be deemed to be the Adjusted Scheduled Reference Date.

(b)
The following terms and expressions shall have the following meanings:

"Last Deferred Day" means, in respect of any postponement by a number of days equal to the Maximum Days of Deferral, the last day to which such day is postponed.
"Maximum Days of Deferral" means such number of calendar days (or other type of days) as specified in the applicable Final Terms.
"Unscheduled Holiday" means, in respect of a Currency Price or Fallback Reference Price, as applicable, a day that is not an FX Business Day and the market was not aware of such fact (by means of a public announcement or by reference to other publicly available information) until a time later than 9:00 a.m., local time in the Specified Financial Center in respect of such Currency Price or Fallback Reference Price, two FX Business Days prior to such day.
4.
EM Currency Provisions: EM Valuation Postponement

If the applicable Final Terms provides that the EM Currency Provisions shall apply to a Currency Price (which term shall include, where the Final Terms provides that the prior applicable Disruption Fallback is "Fallback Reference Price", the Currency Price determined using the applicable Fallback Reference Price) and any Valuation Date or Averaging Date, and that EM Valuation Postponement shall be applicable, then,

LN2-9694
 
92
 
 




if the Calculation Agent determines that the relevant Scheduled Reference Date (if the Scheduled Reference Date is not an Unscheduled Holiday for the Currency Price) or the Adjusted Scheduled Reference Date (if the Scheduled Reference Date is an Unscheduled Holiday for the Currency Price) is an FX Disrupted Day, then such Valuation Date or Averaging Date shall be the first FX Business Day which is not an FX Disrupted Day unless an FX Market Disruption Event continues to exist (measured from such Scheduled Reference Date or Adjusted Scheduled Reference Date, as applicable) for a consecutive number of calendar days equal to the Maximum Days of EM Valuation Postponement. In that case, the Currency Price will be determined on the next FX Business Day after the Maximum Days of EM Valuation Postponement in accordance with the next applicable Disruption Fallback as specified in the applicable Final Terms.
Where:
"Maximum Days of EM Valuation Postponement" means such number of calendar days (or other type of days) as specified in the applicable Final Terms.
5.
EM Currency Provisions: EM Fallback Valuation Postponement

If the applicable Final Terms provides that the EM Currency Provisions shall apply and that EM Fallback Valuation Postponement shall be applicable and where the Final Terms provides that the prior applicable Disruption Fallback is "Fallback Reference Price", if the Calculation Agent determines that the Currency Price (as determined by reference to the applicable Fallback Reference Price) is not available on (a) the first FX Business Day following the end of the Maximum Days of EM Valuation Postponement (where an FX Market Disruption Event has occurred or exists in respect of the Currency Price throughout the Maximum Days of EM Valuation Postponement) or (b) on the Adjusted Scheduled Reference Date (where the Adjusted Scheduled Reference Date falls after the Last Deferred Day) then the Valuation Date or Averaging Date shall be the first succeeding FX Business Day which is not an FX Disrupted Day in respect of the Currency Price unless an FX Market Disruption Event continues to exist throughout the Fallback Maximum Period of Postponement. In that case, the Currency Price will be determined on the Last Fallback Postponement Date in accordance with the next applicable Disruption Fallback.
Where:
"Fallback Maximum Period of Postponement" means the period commencing on, and including:
(i)
if an FX Market Disruption Event has occurred or exists in respect of the Currency Price throughout the Maximum Days of EM Valuation Postponement, the first FX Business Day following the end of the Maximum Days of EM Valuation Postponement; or

(ii)
if the Adjusted Scheduled Reference Date falls after the Last Deferred Day, the Adjusted Scheduled Reference Date,

and ending on, and including, the third FX Business Day (or such other day as specified in the applicable Final Terms) following such date as specified in paragraphs (i) and (ii) above, as applicable (such date, the "Last Fallback Postponement Date").
6.
EM Currency Provisions: Cumulative Events

If the applicable Final Terms provides that the EM Currency Provisions shall apply to a Currency Price and any Valuation Date or Averaging Date, and that Cumulative Events shall be applicable, then the total number of consecutive calendar days during which (a) such Valuation Date or Averaging Date is deferred

LN2-9694
 
93
 
 




due to an Unscheduled Holiday, (b) an EM Valuation Postponement shall occur in respect of such Valuation Date or Averaging Date, or (c) an EM Fallback Valuation Postponement shall occur in respect of such Valuation Date or Averaging Date (or any combination of (a), (b) and (c)), shall not exceed the Maximum Days of Cumulative Postponement in the aggregate. Accordingly, (i) if such Valuation Date or Averaging Date is postponed by the number of calendar days equal to the Maximum Days of Cumulative Postponement owing to an EM Valuation Postponement or EM Fallback Valuation Postponement (or both), and an Unscheduled Holiday shall have occurred or be continuing on the day following the relevant Last Postponed Day that otherwise would have been an FX Business Day, then such day shall be deemed to be such Valuation Date or Averaging Date and (ii) if such Valuation Date or Averaging Date is postponed by the number of calendar days equal to the Maximum Days of Cumulative Postponement owing to Unscheduled Holidays, and on the first day after the Last Postponed Day, an applicable FX Market Disruption Event shall have occurred or be continuing, then the Currency Price in respect of such Valuation Date or Averaging Date or other relevant date shall be determined in accordance with the next applicable Disruption Fallback.
Where:
"Last Postponed Day" means, in respect of any postponement by a number of days equal to the Maximum Days of Cumulative Postponement, the last day to which such day is postponed; and
"Maximum Days of Cumulative Postponement" means such number of calendar days (or other type of days) as specified in the applicable Final Terms.
7.
Corrections to Published and Displayed Rates

(a)
In any case where a Currency Price is based on information obtained from the Reuters Monitor Money Rates Service, or any other financial information service, the Currency Price will be subject to the corrections, if any, to that information subsequently displayed by that source within one hour of the time when such rate is first displayed by such source, unless the Calculation Agent determines in its sole and absolute discretion that it is not practicable to take into account such correction.

(b)
Notwithstanding FX Linked Condition 7(a) above, in any case where the Currency Price is based on information published or announced by any governmental authority in a relevant country, the Currency Price will be subject to the corrections, if any, to that information subsequently published or announced by that source within five calendar days of the relevant date, unless the Calculation Agent determines in its sole and absolute discretion that it is not practicable to take into account such correction.

8.
Successor Currency

Where the applicable Final Terms specifies that "Successor Currency" is applicable in respect of a Currency Price, then:
(a)
each Subject Currency and Base Currency will be deemed to include any lawful successor currency to the Subject Currency or Base Currency (the "Successor Currency");

(b)
if the Calculation Agent determines that on or after the Issue Date (or such other date as specified in the applicable Final Terms) but on or before any relevant date under the Notes on which an amount may be payable, a country has lawfully eliminated, converted, redenominated or exchanged its currency in effect on the Issue Date or any Successor Currency, as the case may be (the "Original Currency") for a Successor Currency, then for the purposes of calculating any amounts of the Original

LN2-9694
 
94
 
 




Currency or effecting settlement thereof, any Original Currency amounts will be converted to the Successor Currency by multiplying the amount of Original Currency by a ratio of Successor Currency to Original Currency, which ratio will be calculated on the basis of the exchange rate set forth by the relevant country of the Original Currency for converting the Original Currency into the Successor Currency on the date on which the elimination, conversion, redenomination or exchange took place, as determined by the Calculation Agent. If there is more than one such date, the date closest to such relevant date will be selected (or such other date as may be selected by the Calculation Agent in its sole and absolute discretion);

(c)
notwithstanding paragraph (b) above but subject to paragraph (d) below, the Calculation Agent may (to the extent permitted by the applicable law), in good faith and in its sole and absolute discretion, select such other exchange rate or other basis for the conversion of an amount of the Original Currency to the Successor Currency, and will make such adjustment(s) that it determines to be appropriate, if any, to any variable, calculation methodology, valuation, settlement, payment terms, or any other terms in respect of the Notes to account for such elimination, conversion, redenomination, or exchange of the Subject Currency or Base Currency, as the case may be; and

(d)
notwithstanding the foregoing provisions, with respect to any Subject Currency or Base Currency that is substituted or replaced by the Euro, the consequences of such substitution or replacement will be determined in accordance with applicable law.

9.
Rebasing of Notes

If the applicable Final Terms specifies that "Rebasing" is applicable, then if, on or prior to any Valuation Date or Averaging Date or any other relevant date, the Calculation Agent is unable to obtain a value for a Subject Currency (because the Subject Currency and/or Base Currency ceases to exist, or for any other reason other than a temporary disruption, as determined by the Calculation Agent), the Calculation Agent may rebase the Notes against another foreign exchange rate determined by the Calculation Agent, in its sole and absolute discretion, to be a comparable foreign exchange rate. If the Calculation Agent determines in its sole and absolute discretion that there is not such a comparable foreign exchange rate, the Issuer may take the action described in FX Linked Condition 10(a)(ii) below.
10.
Consequences of an Additional Disruption Event

If the applicable Final Terms specifies that Additional Disruption Events shall be applicable, then:
(a)
following the determination by the Calculation Agent that an Additional Disruption Event has occurred, the Issuer in its sole and absolute discretion may take the action described in (i) or (ii) below:

(i)
require the Calculation Agent to determine in its sole and absolute discretion the appropriate adjustment, if any, to be made to any of the other terms of the Terms and Conditions and/or the applicable Final Terms to account for the Additional Disruption Event and determine the effective date of that adjustment; or

(ii)
give notice to Noteholders in accordance with Condition 14 and redeem all, but not less than all, of the Notes, each nominal amount of Notes equal to the Specified Denomination being redeemed at the Early Redemption Amount;


LN2-9694
 
95
 
 




(b)
upon the occurrence of an Additional Disruption Event, the Issuer shall give notice as soon as practicable to the Noteholders in accordance with Condition 14 stating the occurrence of the Additional Disruption Event giving details thereof and the action proposed to be taken in relation thereto provided that any failure to give, or non-receipt of, such notice will not affect the validity of the Additional Disruption Event; and

(c)
the following terms and expressions shall have the following meanings:

"Additional Disruption Event" means any of a Change in Law, a Hedging Disruption and/or an Increased Cost of Hedging.
"Change in Law" means that, on or after the Trade Date (or such other date as specified in the applicable Final Terms) of the Notes (i) due to the adoption of or any change in any applicable law or regulation (including, without limitation, any tax law), or (ii) due to the promulgation of or any change in the interpretation by any court, tribunal or regulatory authority with competent jurisdiction of any applicable law or regulation (including any action taken by a taxing authority), the Calculation Agent determines in good faith that (A) it has become illegal to hold, acquire, or dispose of any relevant currency or asset, or (B) the Issuer or any affiliate(s) of the Issuer or any entity (or entities) acting on behalf of the Issuer engaged in any underlying or hedging transactions in respect of the Issuer's obligations under the Notes will incur a materially increased cost in performing its obligations in relation to the Notes (including, without limitation, due to any increase in tax liability, decrease in tax benefit, or other adverse effect on its tax position).
"Hedging Disruption" means that the Issuer or any entity (or entities) acting on behalf of the Issuer engaged in any underlying or hedging transactions in respect of the Issuer's obligations in relation to the Notes is unable, after using commercially reasonable efforts, to (i) acquire, establish, re-establish, substitute, maintain, unwind, or dispose of any transaction(s) or asset(s) it deems necessary to hedge the currency or other price risk of the Issuer issuing and performing its obligations with respect to or in connection with the relevant Notes, or (ii) realize, recover, or remit the proceeds of any such transaction(s) or asset(s).
"Increased Cost of Hedging" means that the Issuer and/or any of its Affiliates or agents would incur a materially increased (as compared with circumstances existing on the Trade Date) amount of tax, duty, expense or fee (other than brokerage commissions) to (i) acquire, establish, re-establish, substitute, maintain, unwind, or dispose of any transaction(s) or asset(s) it deems necessary to hedge the currency or other price risk of the Issuer issuing and performing its obligations with respect to the relevant Notes, or (ii) realize, recover, or remit the proceeds of any such transaction(s) or asset(s), provided that any such materially increased amount that is incurred solely due to the deterioration of the creditworthiness of the Issuer and/or any of its Affiliates or agents shall not be deemed an Increased Cost of Hedging.

LN2-9694
 
96
 
 




ANNEX 5

ADDITIONAL TERMS AND CONDITIONS FOR COMMODITY LINKED NOTES

The terms and conditions applicable to Commodity Linked Notes shall comprise the Terms and Conditions of the Notes and the additional Terms and Conditions set out below (the "Commodity Linked Conditions"), in each case subject to completion and/or amendment in the applicable Final Terms. In the event of any inconsistency between the Terms and Conditions of the Notes and the Commodity Linked Conditions, the Commodity Linked Conditions shall prevail. In the event of any inconsistency between (i) the Terms and Conditions of the Notes and/or the Commodity Linked Conditions and (ii) the Final Terms, the Final Terms shall prevail.
1.
Definitions

"Basket of Commodities" means a basket comprising Commodities in their relative proportions or numbers of Commodities, as specified in the applicable Final Terms.
"Basket of Commodity Indices" means a basket comprising Commodity Indices in their relative proportions or number of Commodity Indices.
"Calculation Agent Determination" means that the Calculation Agent will determine the Relevant Price (or method for determining the Relevant Price), taking into consideration the latest available quotation for the relevant Commodity Reference Price and any other information that in good faith it deems relevant.
"Commodity" and "Commodities" means subject to adjustment in accordance with these Commodity Linked Conditions, the commodity or commodities specified as such in the applicable Final Terms and related expressions shall be construed accordingly.
"Commodity Business Day" means:
(a)
with respect to a single Commodity or a Basket of Commodities; and:

(i)
where the Commodity Reference Price for a Commodity is a price announced or published by an Exchange, a day that is (or, but for the occurrence of a Market Disruption Event, would have been) a day on which such Exchange is open for trading during its regular trading session, notwithstanding any such Exchange closing prior to its scheduled closing time; and

(ii)
where the Commodity Reference Price for a Commodity is not a price announced or published by an Exchange, a day in respect of which the relevant Price Source published (or, but for the occurrence of a Market Disruption Event, would have published) a price;

(b)
with respect to a single Commodity Index or a Basket of Commodity Indices, as specified in the applicable Final Terms.

"Commodity Cut-Off Date" means in respect of a Pricing Date (or, if different, the day on which the price for that Pricing Date would, in the ordinary course, be published by the Price Source), the date specified in the applicable Final Terms, or if not so specified, the day falling two Business Days immediately preceding the date on which payment of any amount or delivery of any assets may have to be made pursuant to any calculation or determination made on such Pricing Date, provided that the Commodity Cut-Off Date shall not fall prior to the original date on which such Pricing Date was scheduled to fall (unless otherwise provided in the applicable Final Terms).

LN2-9694
 
97
 
 




"Commodity Index" and "Commodity Indices" means subject to adjustment in accordance with the Commodity Linked Conditions, the index or indices linked directly or indirectly to various commodities, commodity prices, or commodity futures contracts and specified as such in the applicable Final Terms.
"Commodity Index Cut-Off Date" means in respect of a Pricing Date (or, if different, the day on which the price for such Pricing Date would, in the ordinary course, be published by the Price Source), the date specified in the applicable Final Terms, or if not so specified, the day falling two Business Days immediately preceding the date on which payment of any amount may have to be made pursuant to any calculation or determination made on such Pricing Date, provided that the Commodity Index Cut-Off Date shall not fall prior to the original date on which such Pricing Date was scheduled to fall (unless otherwise provided in the applicable Final Terms).
"Commodity Reference Price" means (a) in respect of all Commodities, the Commodity Reference Price specified in the applicable Final Terms and (b) in respect of a Commodity Index, the Commodity Reference Price specified in the applicable Final Terms, or if not so specified, the official closing price of such Commodity Index.
"Commodity Trading Disruption" means the material suspension of, or the material limitation imposed on, trading in the Futures Contract or the Commodity on the Exchange or in any additional futures contract, options contract or commodity on any Exchange. For these purposes:
(a)
a suspension of the trading in the Futures Contract or the Commodity on any Commodity Business Day shall be deemed to be material only if:

i.
all trading in the Futures Contract or the Commodity is suspended for the entire Pricing Date; or

ii.
all trading in the Futures Contract or the Commodity is suspended subsequent to the opening of trading on the Pricing Date, trading does not recommence prior to the regularly scheduled close of trading in such Futures Contract or such Commodity on such Pricing Date and such suspension is announced less than one hour preceding its commencement; and

(b)
a limitation of trading in the Futures Contract or the Commodity on any Commodity Business Day shall be deemed to be material only if the relevant Exchange establishes limits on the range within which the price of the Futures Contract or the Commodity may fluctuate and the closing or settlement price of the Futures Contract or the Commodity on such day is at the upper or lower limit of that range.

"Delayed Publication or Announcement" means that the Relevant Price for a Pricing Date will be determined based on the Specified Price (or, if there is no Specified Price for a Commodity Reference Price, such Commodity Reference Price) in respect of the original day scheduled as such Pricing Date that is published or announced by the relevant Price Source retrospectively on the first succeeding Commodity Business Day on which the Market Disruption Event ceases to exist, unless that Market Disruption Event continues to exist (measured from and including the original day that would otherwise have been the Pricing Date (or, if applicable, if the Pricing Date as specified in the Final Terms is adjusted on account of such original date not being a Commodity Business Day, measured from and including the day that is the original date that would otherwise have been the Pricing Date, following any adjustment on account of such original date not being a Commodity Business Day)) or the Relevant Price continues to be unavailable for two (2) consecutive Commodity Business Days. In that case, the next Disruption Fallback (as defined below) specified in the applicable Final Terms will apply.

LN2-9694
 
98
 
 




"Delivery Date" means the date specified in the applicable Final Terms.
"Disappearance of Commodity Reference Price" means:
(a)
the permanent discontinuation of trading in the relevant Futures Contract on the relevant Exchange;

(b)
the disappearance of, or of trading in, the Commodity; or

(c)
the disappearance or permanent discontinuance or unavailability of a Commodity Reference Price,
notwithstanding the availability of the related Price Source or the status of trading in the relevant Futures Contract or the Commodity.
"Exchange" means in relation to a Commodity, the exchange or principal trading market specified as such for such Commodity in the applicable Final Terms or Commodity Reference Price.
"Fallback Reference Price" means that the Calculation Agent will determine the Relevant Price based on the price for that Pricing Date of the first alternate Commodity Reference Price, if any, specified in the applicable Final Terms and not subject to a Market Disruption Event.
"Futures Contract" means in respect of a Commodity Reference Price, the contract for future delivery of a contract size in respect of the relevant Delivery Date relating to the Commodity or Commodity Index referred to in that Commodity Reference Price.
"Material Change in Content" means the occurrence since the Trade Date of a material change in the content, composition or constitution of the relevant Commodity or relevant Futures Contract.
"Material Change in Formula" means the occurrence since the Trade Date of a material change in the formula for or method of calculating the relevant Commodity Reference Price.
"Nearby Month" when preceded by a numerical adjective, means in respect of a Delivery Date and a Pricing Date, the month of expiration of the Futures Contract identified by the numerical adjective, so that, for example, (a) "First Nearby Month" means the month of expiration of the first Futures Contract to expire following that Pricing Date and (b) "Second Nearby Month" means the month of expiration of the second Futures Contract to expire following that Pricing Date, etc.
"Postponement" means that the Pricing Date will be deemed, for purposes of the application of this Disruption Fallback, to be the first succeeding Commodity Business Day on which the Market Disruption Event ceases to exist, unless that Market Disruption Event continues to exist for two consecutive Commodity Business Days (measured from and including the original day that would otherwise have been the Pricing Date (or, if applicable, if the Pricing Date as specified in the Final Terms is adjusted on account of such original date not being a Commodity Business Day, measured from and including the day that is the original date that would otherwise have been the Pricing Date, following any adjustment on account of such original date not being a Commodity Business Day)). In that case, the next Disruption Fallback specified in the definition of "Disruption Fallback" below will apply.
"Price Source" means the publication (or such other origin of reference, including an Exchange) containing (or reporting) the Specified Price (or prices from which the Specified Price is calculated) for the Commodity Reference Price (or, if there is no Specified Price for a Commodity Reference Price, such Commodity Reference Price) or otherwise in the applicable Final Terms (provided that in respect of a Commodity Index, if the relevant Commodity Reference Price is not published on such Price Source, the Calculation Agent may, in its sole and absolute discretion, (a) use a successor page or publication or alternative source as it considers appropriate, (b) determine that such non-publication amounts to a Market

LN2-9694
 
99
 
 




Disruption Event in respect of such Commodity Index in accordance with Commodity Linked Condition 3 (Market Disruption and Disruption Fallback), or (c) determine that such non-publication amounts to a Commodity Index Adjustment Event in respect of the Commodity Index, and proceed in accordance with Commodity Linked Condition 4 (Adjustments to a Commodity Index)).
"Price Source Disruption" means:
(a)
the failure of the Price Source to announce or publish the Specified Price (or the information necessary for determining the Specified Price) for the relevant Commodity Reference Price (or, if there is no Specified Price for a Commodity Reference Price, such Commodity Reference Price); or

(b)
the temporary or permanent discontinuance or unavailability of the Price Source.

"Pricing Date" means with respect to a Commodity or a Commodity Index, each date specified as such or otherwise as provided in the applicable Final Terms (each such original date, a "Scheduled Pricing Date"), provided that if any Scheduled Pricing Date is not a Commodity Business Day for such Commodity or Commodity Index (as the case may be), then the Pricing Date for such Commodity or Commodity Index (as the case may be) will be the earlier of (a) the next following Commodity Business Day for such Commodity or Commodity Index (as the case may be), and (b) the Commodity Cut-Off Date or Commodity Index Cut-Off Date (as the case may be), and subject to adjustment as provided in Commodity Linked Condition 4 (Market Disruption and Disruption Fallback).
"Relevant Commodity" means in respect of a Commodity Linked Security, such Commodity as is so specified in the applicable Final Terms, and, if more than one commodity is so specified in the applicable Final Terms, then all such commodities shall be referred to as the "Relevant Commodities".
"Relevant Price" means for any Pricing Date, the price, expressed as a price per unit of the Commodity or the price of the Commodity Index, determined with respect to that day for the specified Commodity Reference Price calculated as provided in these Commodity Linked Conditions and the applicable Final Terms.
"Specified Price" means in respect of a Commodity Reference Price, any of the following prices (which must be a price reported in or by, or capable of being determined from information reported in or by, the relevant Price Source) as specified in the applicable Final Terms (and, if applicable, as of the time so specified): (a) the high price; (b) the low price; (c) the average of the high price and the low price; (d) the closing price; (e) the opening price; (f) the bid price; (g) the asked price; (h) the average of the bid price and the asked price; (i) the settlement price; (j) the official settlement price; (k) the official price; (l) the morning fixing; (m) the afternoon fixing; (n) the spot price; or (o) any other price specified in the applicable Final Terms.

LN2-9694
 
100
 
 




2.
Terms relating to Calculation of Prices

(a)
Common Pricing

If "Common Pricing" is specified in the applicable Final Terms to be:
(i)
"Applicable", then, if any Scheduled Pricing Date is not a day on which all referenced Commodity Reference Prices (for which such date would otherwise be a Pricing Date) are scheduled to be published or announced, as determined on the Trade Date of the Notes, then the Pricing Date shall be the next following day on which all referenced Commodity Reference Prices (for which such date would otherwise be a Pricing Date) are scheduled to be published or announced, as determined on the Trade Date of the Notes; or

(ii)
"Not Applicable", then this Commodity Linked Condition 2(a) shall not apply.

If the Calculation Agent determines that a Market Disruption Event has occurred or exists on any Pricing Date in respect of any relevant Commodity (an "Affected Commodity") and/or Commodity Index (an "Affected Commodity Index"), the Relevant Price of each Commodity and/or Commodity Index within the basket which is not affected by the occurrence of a Market Disruption Event shall be determined on the Scheduled Pricing Date and the Relevant Price for each Affected Commodity or Affected Commodity Index shall be determined in accordance with the first applicable Disruption Fallback that provides a Relevant Price.
All determinations made by the Calculation Agent pursuant to this Condition will be conclusive and binding on the Noteholders and the Issuer, except in the case of manifest error.
(b)
Correction to Published Prices
For purposes of determining or calculating the Relevant Price (or any price or value published or announced on any date which is utilized for any calculation or determination in connection with the Commodity Linked Notes), if the price published or announced on a given day and used or to be used by the Calculation Agent to determine a Relevant Price (or any price or value published or announced on any date which is utilized for any calculation or determination in connection with the Commodity Linked Notes) is subsequently corrected and the correction is published or announced by the person responsible for that publication or announcement within 30 calendar days after the original publication or announcement (or, if earlier, the day falling two Business Days preceding the date on which payment of any amount or delivery of any assets may have to be made, in each case calculated by reference to such Relevant Price (or any price or value published or announced on any date which is utilized for any calculation or determination in connection with the Commodity Linked Notes)), the Calculation Agent may, in its sole discretion, use such corrected price in such calculation.
3.
Market Disruption and Disruption Fallback

If, in the opinion of the Calculation Agent, a Market Disruption Event (as defined below) has occurred and is continuing on any Pricing Date (or, if different, the day on which the price for that Pricing Date would, in the ordinary course, be published by the Price Source), the Relevant Price for that Pricing Date will be determined by the Calculation Agent, in accordance with the first applicable Disruption Fallback (as set out below) that provides a Relevant Price:

LN2-9694
 
101
 
 




(a)
Market Disruption Event

"Market Disruption Event" means the occurrence of any of the following events:
(i)
with respect to all Commodities:

a.
Price Source Disruption;

b.
Commodity Trading Disruption;

c.
Disappearance of Commodity Reference Price; and

(ii)
with respect to all Commodities other than gold, silver, platinum or palladium:

a.
Material Change in Formula;

b.
Material Change in Content; and

c.
any additional Market Disruption Events as specified in the applicable Final Terms; and

(iii)
with respect to a Commodity Index:

a.
a temporary or permanent failure by the applicable exchange or other price source to announce or publish (I) the Commodity Reference Price (provided that the Calculation Agent may, in its sole and absolute discretion, determine that such failure (aa) shall not be a Market Disruption Event and shall instead be dealt with under paragraph (a) of the proviso to the definition of Price Source specified in Commodity Linked Condition 1 (Definitions), or (bb) shall instead amount to a Commodity Index Adjustment Event in respect of such Commodity Index, and proceed in accordance with Commodity Linked Condition 4 (Adjustments to a Commodity Index)) or (II) the closing price for any futures contract included in the Commodity Index;

b.
a material limitation, suspension or disruption of trading in one or more of the futures contracts included in the Commodity Index which results in a failure by the exchange on which each applicable futures contract is traded to report a closing price for such contract on the day on which such event occurs or any succeeding day on which it continues; or

c.
the closing price for any futures contract included in the Commodity Index is a "limit price", which means that the closing price for such contract for a day has increased or decreased from the previous day's closing price by the maximum amount permitted under applicable exchange rules.

(b)
Disruption Fallback

"Disruption Fallback" means a source or method that may give rise to an alternative basis for determining the Relevant Price in respect of a specified Commodity Reference Price when a Market Disruption Event occurs or exists on a day that is a Pricing Date in respect of the relevant Note. A Disruption Fallback is applicable if it is specified in the applicable Final Terms or, if no Disruption Fallback is specified in the applicable Final Terms, shall mean:

LN2-9694
 
102
 
 




(i)
with respect to a relevant Commodity (in the following order):

(A)
Fallback Reference Price (if applicable);

(B)
Delayed Publication or Announcement and Postponement (each to operate concurrently with the other and each subject to a period of two consecutive Commodity Business Days (measured from and including the original day that would otherwise have been the Pricing Date (or, if applicable, measured from and including the day that is the original date that would otherwise have been the Pricing Date, following any adjustment on account of such original date not being a Commodity Business Day)), or, if shorter, the period commencing on, and including, the original day that would otherwise have been the Pricing Date and ending on, and including, the Commodity Cut-Off Date) provided, however, that the price determined by Postponement shall be the Relevant Price only if Delayed Publication or Announcement does not yield a Relevant Price within those two consecutive Commodity Business Days (or, if applicable, the number of Commodity Business Days (if any) falling within the period ending on the Commodity Cut-Off Date); and

(C)
Calculation Agent Determination;

(ii)
with respect to a Commodity Index, the Calculation Agent shall determine the Relevant Price using (unless otherwise specified in the applicable Final Terms):

(A)
with respect to each futures contract included in the Commodity Index which is not affected by the Market Disruption Event, the closing prices of each such contract on the applicable determination date;

(B)
with respect to each futures contract included in the Commodity Index which is affected by the Market Disruption Event, but for which a Market Disruption Event ceased to exist on or prior to the Commodity Index Cut Off Date, the closing prices of each such contract on the first day following the applicable determination date on which no Market Disruption Event is occurring with respect to such contract; and

(C)
with respect to each futures contract included in the Commodity Index which is affected by the Market Disruption Event, where a Market Disruption Event continues to exist as of the Commodity Index Cut-Off Date, the Calculation Agent's good faith estimate of the closing price of each such contract on the Commodity Index Cut-Off Date.

Subject as provided below, the Calculation Agent shall determine the Relevant Price by reference to the closing prices determined in (ii)(A), (B) and (C) above or as specified in the applicable Final Terms above using the then current method for calculating the Commodity Reference Price.
Where (I) the original date that would otherwise have been the Pricing Date is adjusted on account of such original date not being a Commodity Business Day, and the Pricing Date would fall on or after the Commodity Index Cut-Off Date following such adjustment, or (II) a Market Disruption Event with respect to one or more futures contracts included in the Commodity Index has occurred on an applicable determination date and continues to exist as of the relevant Commodity Index Cut-Off Date for such applicable determination date, the Calculation Agent shall determine the Relevant Price on such

LN2-9694
 
103
 
 




Commodity Index Cut-Off Date. In calculating the Relevant Price as set out herein, the Calculation Agent shall use the formula for calculating the Commodity Reference Price last in effect prior to the Market Disruption Event (if applicable).
4.
Adjustments to a Commodity Index

(a)
Consequences of a Successor Index Sponsor or a Successor Index
If a relevant Commodity Index is (i) not calculated and announced by the Index Sponsor but is calculated and announced by a successor sponsor (the "Successor Index Sponsor") acceptable to the Issuer, or (ii) replaced by a successor index using, in the determination of the Calculation Agent, the same or a substantially similar formula for and method of calculation as used in the calculation of that Commodity Index, then in each case that index (the "Successor Index") will be deemed to be the Commodity Index.
(b)
Modification and Cessation of Calculation of a Commodity Index
If on or prior to a Pricing Date (i) the relevant Index Sponsor makes a material change in the formula for or the method of calculating a relevant Commodity Index or in any other way materially modifies that Commodity Index (other than a modification prescribed in that formula or method to maintain that Commodity Index in the event of changes in constituent commodities and weightings and other routine events), or (ii) the Index Sponsor permanently cancels a relevant Commodity Index or (iii) the Index Sponsor fails to calculate and announce a relevant Commodity Index and there is no Successor Index Sponsor or Successor Index, then the Issuer may at its option (in the case of (i)) and shall (in the case of (ii) and (iii)) (such events (i) (ii) and (iii) to be collectively referred to as "Commodity Index Adjustment Events") (provided that the Calculation Agent may, in its sole and absolute discretion, determine that event (iii) (y) shall not be a Commodity Index Adjustment Event and shall instead be dealt with under paragraph (a) of the proviso to the definition of Price Source specified in Commodity Linked Condition 1 (Definitions), or (z) shall instead amount to a Market Disruption Event in respect of such Commodity Index, and proceed in accordance with Commodity Linked Condition 3 (Market Disruption and Disruption Fallback)) take the action described in (A), (B) or (C) below:
(A)
calculate the Commodity Reference Price using in lieu of the published level for that Commodity Index, the level for that Commodity Index as at the relevant determination date as determined by the Calculation Agent in accordance with the formula for and method of calculating that Commodity Index last in effect prior to the relevant Commodity Index Adjustment Event, but using only those futures contracts that comprised that Commodity Index immediately prior to the relevant Commodity Index Adjustment Event (other than those futures contracts that have ceased to be listed on any relevant exchange);

(B)
if the Calculation Agent determines that it is not reasonably practicable (taking into account the costs involved) to calculate or continue to calculate such Commodity Index pursuant to (A) above, the Calculation Agent may rebase the Notes against another index or basket of indices, as applicable, determined by the Calculation Agent, in its sole and absolute discretion, to be comparable to such Commodity Index, and, following such rebasing, the Calculation Agent may make such adjustment(s) that it determines to be appropriate, if any, to any one or more of the terms of the Terms and Conditions and/or the applicable Final Terms as the Calculation Agent determines appropriate to account for such rebasing;

(C)
on giving notice to the Noteholders in accordance with Condition 14, redeem all (but not less than all) of the Notes, each Note being redeemed at the Early Redemption Amount.

LN2-9694
 
104
 
 





Upon the occurrence of a Commodity Index Adjustment Event, the Issuer shall give notice as soon as reasonably practicable to the Noteholders in accordance with Condition 14, giving details of the action proposed to be taken in relation thereto, provided that any failure to give, or non-receipt of, such notice will not affect the validity of such action. The Issuer shall make available for inspection by Noteholders copies of any such determinations.
5.
Consequences of an Additional Disruption Event in respect of a Commodity Index

(a)
Following the determination by the Calculation Agent that an Additional Disruption Event has occurred in respect of a Commodity Index, the Issuer in its sole and absolute discretion may take the action described in (i) or (ii) below:

(i)
require the Calculation Agent to determine in its sole and absolute discretion the appropriate adjustment, if any, to be made to any of the other terms of the Terms and Conditions and/or the applicable Final Terms to account for the Additional Disruption Event and determine the effective date of that adjustment; or

(ii)
give notice to Noteholders in accordance with Condition 14 and redeem all, but not less than all, of the Notes, each nominal amount of Notes equal to the Specified Denomination being redeemed at the Early Redemption Amount.

(b)
Upon the occurrence of an Additional Disruption Event, the Issuer shall give notice as soon as practicable to the Noteholders in accordance with Condition 14 stating the occurrence of the Additional Disruption Event giving details thereof and the action proposed to be taken in relation thereto provided that any failure to give, or non-receipt of, such notice will not affect the validity of the Additional Disruption Event.

(c)
The following terms and expressions shall have the following meanings:

"Additional Disruption Event" means any of a Change in Law, a Hedging Disruption, and/or an Increased Cost of Hedging (together the "Additional Disruption Events").
"Change in Law" means that, on or after the Trade Date (i) due to the adoption of or any change in any applicable law or regulation (including, without limitation, any tax law), or (ii) due to the promulgation of or any change in the interpretation by any court, tribunal or regulatory authority with competent jurisdiction of any applicable law or regulation (including any action taken by a taxing authority), the Calculation Agent determines in good faith that (A) it has become illegal to hold, acquire or dispose of any relevant currency or asset, or (B) the Issuer or any affiliate(s) of the Issuer or any entity (or entities) acting on behalf of the Issuer engaged in any underlying or hedging transactions in respect of the Issuer's obligations under the Notes will incur a materially increased cost in performing its obligations in relation to the Notes (including, without limitation, due to any increase in tax liability, decrease in tax benefit, or other adverse effect on its tax position).

LN2-9694
 
105
 
 




"Hedging Disruption" means that the Issuer or any entity (or entities) acting on behalf of the Issuer engaged in any underlying or hedging transactions in respect of the Issuer's obligations in relation to the Notes is unable, after using commercially reasonable efforts, to (i) acquire, establish, re-establish, substitute, maintain, unwind, or dispose of any transaction(s) or asset(s) it deems necessary to hedge the commodity or other price risk of the Issuer issuing and performing its obligations with respect to or in connection with the relevant Notes, or (ii) realize, recover, or remit the proceeds of any such transaction(s) or asset(s).
"Increased Cost of Hedging" means that the Issuer and/or any of its Affiliates or agents acting on its behalf would incur a materially increased (as compared with circumstances existing on the Trade Date) amount of tax, duty, expense, or fee (other than brokerage commissions) to (i) acquire, establish, re-establish, substitute, maintain, unwind, or dispose of any transaction(s) or asset(s) it deems necessary to hedge the commodity or other price risk of the Issuer issuing and performing its obligations with respect to the Notes, or (ii) realize, recover, or remit the proceeds of any such transaction(s) or asset(s), provided that any such materially increased amount that is incurred solely due to the deterioration of the creditworthiness of the Issuer and/or any of its Affiliates or agents shall not be deemed an Increased Cost of Hedging.

LN2-9694
 
106
 
 




ANNEX 6

ADDITIONAL TERMS AND CONDITIONS FOR FUND LINKED NOTES

The terms and conditions applicable to Fund Linked Notes shall comprise the Terms and Conditions of the Notes and the additional Terms and Conditions set out below (the "Fund Linked Conditions"), in each case subject to completion and/or amendment in the applicable Final Terms. In the event of any inconsistency between the Terms and Conditions of the Notes and the Fund Linked Conditions, the Fund Linked Conditions shall prevail. In the event of any inconsistency between (i) the Terms and Conditions of the Notes and/or the Fund Linked Conditions and (ii) the Final Terms, the Final Terms shall prevail.
1.
General Definitions

"Averaging Date" means each date specified as an Averaging Date in the applicable Final Terms.
"Valuation Date" means each Valuation Date specified in the applicable Final Terms.
2.
Provisions relating to Funds other than Exchange Traded Funds

Fund Linked Conditions 3, 4, and 5 apply in respect of Funds other than Exchange Traded Funds.
3.
Definitions (Funds other than Exchange Traded Funds)

"Basket of Funds" means a basket composed of Funds in the relative proportions or number of Funds, as specified in the applicable Final Terms.
"Fund" means, subject to adjustment in accordance with these Fund Linked Notes Conditions, each fund specified in the applicable Final Terms and related expressions shall be construed accordingly.
"Fund Administrator" means the fund administrator, manager, trustee, or similar person with the primary administrative responsibilities for a Fund according to the relevant Fund Documents.
"Fund Adviser" means any person appointed in the role of discretionary investment manager or non-discretionary investment adviser (including a non-discretionary investment adviser to a discretionary investment manager or to another non-discretionary investment adviser).
"Fund Documents" means the constitutive and governing documents, subscription agreements and other agreements of a Fund specifying the terms and conditions relating to the related Fund Interest, as amended from time to time.
"Fund Interest" means, subject to adjustment in accordance with these Fund Linked Conditions, each fund interest specified in the applicable Final Terms and related expressions shall be construed accordingly.
"Fund Redemption Valuation Date" means, in respect of a Fund Interest, the date as of which a Fund (or its Fund Service Provider that generally determines such value) would determine the net asset value of such Fund Interest for purposes of calculating the redemption proceeds to be paid to a Hypothetical Investor that has submitted a valid and timely notice for redemption of Fund Interests based on the value determined as of such date.
"Fund Service Provider" means any person who is appointed to provide services, directly or indirectly, to a Fund, whether or not specified in the relevant Fund Documents, including, without limitation any

LN2-9694
 
107
 
 




Fund Administrator, Fund Adviser, operator, management company, depositary, custodian, sub-custodian, prime broker, administrator, trustee, registrar and transfer agent, or domiciliary agent.
"Fund Valuation Date" means a date as of which a Fund (or its Fund Service Provider that generally determines such value) determines the value of the related Fund Interest.
"Hypothetical Investor" means a hypothetical or actual investor (as determined by the Calculation Agent in the context of the relevant situation) in Fund Interests which is deemed to have the benefits and obligations, as provided in the relevant Fund Documents, of an investor holding Fund Interests at the relevant time. The Hypothetical Investor may be deemed by the Calculation Agent to be resident or organized in any jurisdiction, and to be, without limitation, the Issuer, the Calculation Agent or any of their affiliates (as determined by the Calculation Agent in the context of the relevant situation).
"Removal Date" means, in respect of an Affected Fund Interest, the date on which the Calculation Agent determines that a Hypothetical Investor would receive the Removal Value in respect of a redemption or realization of such Affected Fund Interest effected as soon as reasonably practicable following the occurrence of the relevant Fund Event.
"Removal Value" means, in respect of an Affected Fund Interest, the amount that the Calculation Agent determines a Hypothetical Investor would receive in cash on the redemption or realization of such Affected Fund Interest at the relevant time, provided that if any such redemption proceeds would comprise non-monetary assets the Removal Value may, at the sole and absolute discretion of the Calculation Agent, include only such amount (if any) that the Calculation Agent determines would be received by the Hypothetical Investor in respect of a realization (in whatsoever manner the Calculation Agent determines appropriate) of such non-monetary assets as soon as reasonably practicable after their receipt.
"Scheduled Fund Redemption Valuation Date" means the date as of which a Fund (or its Fund Service Provider that generally determines such value) is scheduled, according to the relevant Fund Documents (without giving effect to any gating, deferral, suspension or other provisions permitting the Fund to delay or refuse redemption of Fund Interests), to determine the net asset value of the related Fund Interest for purposes of calculating the redemption proceeds to be paid to an investor that has submitted a valid and timely notice for redemption of Fund Interests based on the value determined as of such date.
"Scheduled Fund Valuation Date" means, in respect of a Fund Interest, a date as of which the related Fund (or its Fund Service Provider that generally determines such value) is scheduled, according to the relevant Fund Documents (without giving effect to any gating, deferral, suspension or other provisions permitting the Fund to delay or refuse redemption of Fund Interests), to determine the value of the related Fund Interest or, if the Fund only reports its aggregate net asset value, the date as of which such Fund is scheduled to determine its aggregate net asset value.
4.
Fund Events

"Fund Event" means the occurrence of each of an Additional Fund Disruption Event, a Fund Disruption Event and/or a Fund Extraordinary Event as determined by the Calculation Agent.
(a)
"Additional Fund Disruption Event" means each of Change in Law, Fund Hedging Disruption or Increased Cost of Hedging.

"Change in Law" means that, on or after the Trade Date (i) due to the adoption of or any change in any applicable law or regulation (including, without limitation, any tax law), or (ii) due to the

LN2-9694
 
108
 
 




promulgation of or any change in the interpretation by any court, tribunal or regulatory authority with competent jurisdiction of any applicable law or regulation (including any action taken by a taxing authority), the Issuer or any of its Affiliates or agents acting on its behalf determines in good faith that (A) it has become illegal to hold, acquire, or dispose of any Fund Interests, or (B) the Issuer will incur a materially increased cost in performing its obligations under the Fund Linked Notes (including, without limitation, due to any increase in tax liability, decrease in tax benefit, or other adverse effect on its tax position).
"Fund Hedging Disruption" means that the Issuer or any of its Affiliates or agents is unable, or it is impractical for the Issuer or any of its Affiliates or agents, after using commercially reasonable efforts, to (i) acquire, establish, re-establish, substitute, maintain, unwind, or dispose of any transaction or asset it deems necessary or appropriate to hedge the price risk relating to any Fund Interest of the Issuer issuing and performing its obligations with respect to the Fund Linked Notes, or (ii) realize, recover, or remit the proceeds of any such transaction or asset, including, without limitation, where such inability or impracticability has arisen by reason of (A) any restrictions or increase in charges or fees imposed by a Fund on an investor's ability to redeem the related Fund Interest, in whole or in part, or any existing or new investor's ability to make new or additional investments in such Fund Interest, or (B) any mandatory redemption, in whole or in part, of a Fund Interest imposed by the related Fund (in each case other than any restriction in existence on the Trade Date or, in respect of a Replacement Fund Interest, the relevant replacement date).
"Increased Cost of Hedging" means that the Issuer or any of its Affiliates or agents would incur a materially increased (as compared with circumstances existing on the Issue Date) amount of tax, duty, expense, or fee (other than brokerage commissions) to (i) acquire, establish, re-establish, substitute, maintain, unwind, or dispose of any transaction(s) or asset(s) it deems necessary to hedge the price risk relating to any Fund Interest of the Issuer issuing and performing its obligations with respect to the Fund Linked Notes, or (ii) realize, recover, or remit the proceeds of any transaction(s) or asset(s), provided that any such materially increased amount that is incurred solely due to the deterioration of the creditworthiness of the Issuer shall not be deemed an Increased Cost of Hedging.
(b)
"Fund Disruption Event" means at any time the occurrence or continuance of any of the following events, as determined by the Calculation Agent in its sole and absolute discretion, if the Calculation Agent determines any such event is material:

(i)
Fund Valuation Disruption: "Fund Valuation Disruption" means (A) any continued postponement of any Scheduled Valuation Date due to such Scheduled Valuation Date not being a Scheduled Fund Redemption Valuation Date, (B) the failure of a Scheduled Fund Redemption Valuation Date in respect of a Fund Interest to be a Fund Redemption Valuation Date in respect of such Fund Interest or any continued postponement of such Fund Redemption Valuation Date, or (C) the failure of a Scheduled Fund Valuation Date in respect of a Fund Interest to be a Fund Valuation Date in respect of such Fund Interest or any continued postponement of such Fund Valuation Date;

(ii)
Fund Settlement Disruption: "Fund Settlement Disruption" means a failure by a Fund on any day to pay the full amount (whether expressed as a percentage or otherwise) of any fund redemption proceeds with respect to any Fund Interest scheduled to have been paid on or by such day according to the relevant Fund Documents (without giving effect to any gating, deferral, suspension or other provisions permitting the Fund to delay or refuse redemption of Fund Interests).


LN2-9694
 
109
 
 




(c)
"Fund Extraordinary Event" means each of the following events:

(i)
Nationalization: "Nationalization" means that all the Fund Interests or all or substantially all the assets of a Fund are nationalized, expropriated, or are otherwise required to be transferred to any governmental agency, authority, entity, or instrumentality thereof;

(ii)
Insolvency: "Insolvency" means that by reason of the voluntary or involuntary liquidation, bankruptcy, insolvency, dissolution or winding-up of, or any analogous proceeding affecting a Fund, (A) all the Fund Interests of that Fund are required to be transferred to a trustee, liquidator or other similar official or (B) holders of the Fund Interests of that Fund become legally prohibited from transferring or redeeming them;

(iii)
Fund Insolvency Event: "Fund Insolvency Event" means a Fund or relevant Fund Service Provider (A) is dissolved or has a resolution passed for its dissolution, winding-up or official liquidation (other than pursuant to a consolidation, amalgamation or merger); (B) makes a general assignment or arrangement with or for the benefit of its creditors; (C) (I) institutes or has instituted against it, by a regulator, supervisor, or any similar official with primary insolvency, rehabilitative or regulatory jurisdiction over it in the jurisdiction of its incorporation or organization or the jurisdiction of its head or home office, a proceeding seeking a judgment of insolvency or bankruptcy or any other relief under any bankruptcy or insolvency law or other similar law affecting creditors' rights, or a petition is presented for its winding-up or liquidation by it or such regulator, supervisor, or similar official, or (II) has instituted against it a proceeding seeking a judgment of insolvency or bankruptcy or any other relief under any bankruptcy or insolvency law or other similar law affecting creditors' rights, or a petition is presented for its winding-up or liquidation, and such proceeding or petition is instituted or presented by a person or entity not described in (I) above and either (aa) results in a judgment of insolvency or bankruptcy or the entry of an order for relief or the making of an order for its winding-up or liquidation or (bb) is not dismissed, discharged, stayed, or restrained in each case within 15 calendar days of the institution or presentation thereof; (D) seeks or becomes subject to the appointment of an administrator, provisional liquidator, conservator, receiver, trustee, custodian, or other similar official for it or for all or substantially all its assets; (E) has a secured party take possession of all or substantially all its assets or has a distress, execution, attachment, sequestration or other legal process levied, enforced or sued on or against all or substantially all of its assets and such secured party maintains possession, or any such process is not dismissed, discharged, stayed or restrained, in each case within 15 calendar days thereafter; or (F) causes or is subject to any event with respect to it which, under the applicable laws of any jurisdiction, has an analogous effect to any of the events specified in (E) and (F) above;

(iv)
NAV Trigger Event: "NAV Trigger Event" means that (A) the aggregate net asset value of a Fund has decreased by an amount equal to or greater than 30 per cent. since the Trade Date or, in respect of a Replacement Fund Interest, the relevant replacement date; or (B) a Fund has violated any leverage restriction that is applicable to, or affecting, it or its assets by operation of any law, any order, or judgment of any court or other agency of government applicable to it or any of its assets, the relevant Fund Documents or any contractual restriction binding on or affecting the Fund or any of its assets;

(v)
Adviser Resignation Event: "Adviser Resignation Event" means the resignation, termination of appointment, or replacement of a Fund's Fund Adviser;


LN2-9694
 
110
 
 




(vi)
Fund Modification: "Fund Modification" means any change or modification of the relevant Fund Documents that could reasonably be expected to affect the value of a Fund Interest or the rights or remedies of any holders thereof (in each case, as determined by the Calculation Agent) from those prevailing on the Trade Date or, in respect of a Replacement Fund Interest, the relevant replacement date; or the imposition of any fees or charges in relation to redemptions, subscriptions, or transfers of Fund Interests;

(vii)
Strategy Breach: "Strategy Breach" means any breach or violation of any strategy or investment guidelines stated in the relevant Fund Documents that is reasonably likely to affect the value of a Fund Interest or the rights or remedies of any holders thereof (in each case, as determined by the Calculation Agent); or any change of the nature of a Fund, including but not limited to the type of investments, the duration, the credit risk, and diversification of the investments to which that Fund is exposed, which, in the opinion of the Calculation Agent, results in a material deterioration of the risk profile of that Fund;

(viii)
Regulatory Action: "Regulatory Action" means (A) the cancellation, suspension or revocation of the registration or approval of a Fund Interest or the related Fund by any governmental, legal or regulatory entity with authority over such Fund Interest or Fund, (B) any change in the legal, tax, accounting, or regulatory treatments of a Fund or its Fund Adviser that is reasonably likely to have an adverse impact on the value of the related Fund Interest or on any investor therein (as determined by the Calculation Agent), or (C) a Fund or any of its Fund Administrator or Fund Adviser becoming subject to investigation, proceeding, or litigation by any relevant governmental, legal, or regulatory authority involving the alleged violation of applicable law for any activities relating to or resulting from the operation of such Fund, Fund Administrator, or Fund Adviser;

(ix)
Reporting Disruption: "Reporting Disruption" means (A) the occurrence of any event affecting a Fund Interest that, in the determination of the Calculation Agent, would make it impossible or impracticable for the Calculation Agent to determine the value of such Fund Interest in respect of a Scheduled Fund Valuation Date or a Scheduled Fund Redemption Valuation Date, and such event continues for at least two consecutive Scheduled Fund Valuation Dates or Scheduled Fund Redemption Valuation Dates, as the case may be; (B) any failure of a Fund to deliver, or cause to be delivered, (I) information that such Fund has agreed to deliver, or cause to be delivered to the Calculation Agent, including, but not limited to, information to determine the occurrence of a Fund Event and the annual audited financial report and semi-annual financial report, if any, in relation to the related Fund Interests, or (II) information that has been previously delivered to the Calculation Agent, in accordance with such Fund's, or its authorized representative's, normal practice and that the Calculation Agent deems necessary to monitor such Fund's compliance with any investment guidelines, asset allocation methodologies or any other similar policies relating to the related Fund Interests;

(x)
Fund Service Provider Cessation: "Fund Service Provider Cessation" means that one or more Fund Service Provider(s) in respect of a Fund ceases to provide the service as outlined in the relevant Fund Documents prevailing on the Trade Date or, where the related Fund Interest is a Replacement Fund Interest, the relevant replacement date, and any such Fund Service Provider is not immediately replaced by another service provider acceptable to the Calculation Agent;


LN2-9694
 
111
 
 




(xi)
Fund Administrator Disruption: "Fund Administrator Disruption" means any event or circumstances compromising the independence of a Fund Administrator performing services for a Fund from the relevant Fund Adviser; or

(xii)
Related Agreement Termination: "Related Agreement Termination" means a Fund or any of its Fund Administrator or Fund Adviser is in breach of or has terminated any existing agreement with the Calculation Agent in respect of, but not limited to, retrocession, dealing fees, liquidity, and licensing.

Following the occurrence of a Fund Event, the Issuer may take the action described in (1) or (2) below such that the Calculation Agent, in its sole and absolute discretion, determines to be practicable, which may be determined by the Calculation Agent after all necessary information has been obtained and/or released by the Fund:
(1)
require the Calculation Agent to make such determinations and/or adjustments to the Terms and Conditions and/or the applicable Final Terms as it determines appropriate to account for the Fund Event, which may include, without limitation,
(A)
delaying any determination date (including any Valuation Date or Averaging Date) and/or any date on which payment might otherwise have to be made under the terms of the applicable Final Terms until it determines that no Fund Event exists;

(B)
determining that, in the sole and absolute discretion of the Calculation Agent, one or more Fund Events may continue until or after any scheduled determination dates and/or payment dates as set out in the applicable Final Terms, and thereafter determining to fix any determination date (including any Valuation or Averaging Date) and/or date on which payment should be made, and making payment on such date of such amount as is appropriate, as determined in the sole and absolute discretion of the Calculation Agent, taking into account the Fund Event, and which may be based solely on any amounts of cash that a Hypothetical Investor in the Fund actually received from the Fund during the relevant period or periods (and which may be less than any relevant net asset value published for the Fund, and may be as low as zero);

(C)
calculating the value of a Fund Interest and/or replacing a Fund Interest (the "Affected Fund Interest") with a replacement fund interest (the "Replacement Fund Interest") with a value as determined by the Calculation Agent equal to the Removal Value for the Affected Fund Interest and in a fund which in the determination of the Calculation Agent has similar characteristics, investment objectives and policies to those applicable to the Fund in respect of the Affected Fund Interest immediately prior to the occurrence of the Fund Event; or

(2)
on giving notice to the Noteholders in accordance with Condition 14, redeem all (but not less than all) of the Notes, each Note being redeemed at the Early Redemption Amount.
If the Calculation Agent replaces an Affected Fund Interest with a Replacement Fund Interest, such replacement shall take effect on the first reasonably practicable date following the Removal Date for such Affected Fund Interest on which the Calculation Agent determines that a Hypothetical Investor could acquire the Replacement Fund Interest.

LN2-9694
 
112
 
 




Upon the occurrence of a Fund Event, the Issuer shall give notice as soon as reasonably practicable to the Noteholders in accordance with Condition 14 giving details of the action proposed to be taken in relation thereto, provided that any failure to give, or non-receipt of, such notice will not affect the validity of such action.
5.
Fund Potential Adjustment Events

"Fund Potential Adjustment Event" means any of the following:
(a)
a subdivision, consolidation or reclassification of relevant Fund Interests or a free distribution or dividend of any such Fund Interests to existing holders by way of bonus, capitalization or similar issue;

(b)
a distribution, issue or dividend to existing holders of relevant Fund Interests of (i) such Fund Interests or (ii) other share capital or securities granting the right to payment of dividends and/or the proceeds of liquidation of the related Fund equally or proportionately with such payments to holders of such Fund Interests or (iii) share capital or other securities of another issuer acquired or owned (directly or indirectly) by the related Fund as a result of a spin-off or other similar transaction or (iv) any other type of securities, rights, warrants, or other assets, in any case for payment (in cash or in other consideration) at less than the prevailing market price as determined by the Calculation Agent;

(c)
an extraordinary dividend as determined by the Calculation Agent;

(d)
a repurchase by a Fund of relevant Fund Interests whether out of profits or capital and whether the consideration for such repurchase is cash, securities or otherwise other than where such repurchase is a redemption of Fund Interests initiated by an investor in such Fund Interests and consistent with the relevant Fund Documents; or

(e)
any other event that may have, in the opinion of the Calculation Agent, a diluting, concentrative or other effect on the theoretical value of relevant Fund Interests.

Following the declaration by a Fund of the terms of any Fund Potential Adjustment Event, the Calculation Agent will, in its sole and absolute discretion, determine whether such Fund Potential Adjustment Event has a diluting, concentrative, or other effect on the theoretical value of the relevant Fund Interest and, if so, will make the corresponding adjustment, if any, to any one or more of any of the terms of the Terms and Conditions and/or the applicable Final Terms as the Calculation Agent in its sole and absolute discretion, determines appropriate to account for that diluting, concentrative, or other effect (provided that no adjustments will be made to account solely for changes in volatility, expected dividends or liquidity relative to the relevant Fund Interest) and determine the effective date of that adjustment.
Upon the making of any such adjustment by the Calculation Agent, the Issuer shall give notice as soon as reasonably practicable to the Noteholders in accordance with Condition 14, stating the adjustment to any of the terms of the Terms and Conditions, and/or the applicable Final Terms and giving brief details of the Fund Potential Adjustment Event, provided that any failure to give, or non receipt of, such notice will not affect the validity of any such adjustment.

LN2-9694
 
113
 
 




6.
Provisions relating to Exchange Traded Funds

Fund Linked Conditions 7, 8, 9 and 10 apply to Exchange Traded Funds.
7.
Definitions (Exchange Traded Funds)

"Averaging Cut-Off Date" means the eighth Scheduled Trading Day (or, where the Fund Linked Notes relate to a Basket of Funds and the applicable Final Terms provides that "Common Scheduled Trading Days" shall be applicable, the eighth Common Scheduled Trading Day) immediately following the original date that, but for the occurrence of another Averaging Date or Disrupted Day, or on account of such date not being a Scheduled Trading Day (or, where the Fund Linked Notes relate to a Basket of Funds and the applicable Final Terms provides that "Common Scheduled Trading Days" shall be applicable, a Common Scheduled Trading Day), would have been the final Averaging Date, or, if earlier, the Scheduled Trading Day (or, where the Fund Linked Notes relate to a Basket of Funds and the applicable Final Terms provides that "Common Scheduled Trading Days" shall be applicable, the Common Scheduled Trading Day) falling on or immediately preceding the second Business Day immediately preceding the date on which payment of any amount or delivery of any assets may have to be made pursuant to any calculation or determination made on the relevant Averaging Dates, provided that the Averaging Cut-Off Date shall not fall prior to the original date on which the final Averaging Date was scheduled to fall.
"Averaging Date" means each date specified as an Averaging Date in the applicable Final Terms or, if any such date is not a Scheduled Trading Day, the immediately following Scheduled Trading Day (or, where the Fund Linked Notes relate to a Basket of Funds and the applicable Final Terms provides that "Common Scheduled Trading Days" shall be applicable, the immediately following Common Scheduled Trading Day), or, if earlier, the Averaging Cut-Off Date. If any such day is a Disrupted Day:
(a)
if "Omission" is specified as applying in the applicable Final Terms, then such date will be deemed not to be an Averaging Date for the purposes of determining the relevant price; provided that, if through the operation of this provision there would not be an Averaging Date, then the provisions of the definition of "Valuation Date" will apply for purposes of determining the relevant price on the final Averaging Date, as if such final Averaging Date were a Valuation Date that was a Disrupted Day; or

(b)
if "Postponement" is specified as applying in the applicable Final Terms, then the provisions of the definition of "Valuation Date" will apply for the purposes of determining the relevant price on that Averaging Date as if such Averaging Date were a Valuation Date that was a Disrupted Day irrespective of whether, pursuant to such determination, that deferred Averaging Date would fall on a day that already is or is deemed to be an Averaging Date; or

(c)
if "Modified Postponement" is specified as applying in the applicable Final Terms then:

(i)
where the Fund Linked Notes relate to a single Fund, the Averaging Date shall be the first succeeding Valid Date. If the first succeeding Valid Date has not occurred as of the Valuation Time on the Averaging Cut-Off Date or if such Averaging Date falls on the Averaging Cut-Off Date owing to the original date on which it was scheduled to fall not being a Scheduled Trading Day for the Fund, then (A) the Averaging Cut-Off Date shall be deemed to be the Averaging Date (irrespective of whether the Averaging Cut-Off Date is already an Averaging Date), and (B) the Calculation Agent shall determine the relevant price for that Averaging Date in accordance with sub-paragraph (a)(ii) of the definition of "Valuation Date" below;

LN2-9694
 
114
 
 





(ii)
where the Fund Linked Notes relate to a Basket of Funds and the applicable Final Terms provides that "Common Scheduled Trading Days" shall not be applicable, the Averaging Date for each Fund Share not affected by the occurrence of a Disrupted Day shall be the originally designated Averaging Date (following adjustment of such date owing to the original date not being a Scheduled Trading Day, if applicable) (the "Scheduled Averaging Date") and the Averaging Date for a Fund Share affected by the occurrence of a Disrupted Day shall be the first succeeding Valid Date in relation to such Fund Share. If the first succeeding Valid Date in relation to such Fund Share has not occurred as of the Valuation Time on the Averaging Cut-Off Date or if such Averaging Date falls on the Averaging Cut-Off Date owing to the original date on which it was scheduled to fall not being a Scheduled Trading Day for such Fund Share, then (A) the Averaging Cut-Off Date shall be deemed to be the Averaging Date (irrespective of whether the Averaging Cut-Off Date is already an Averaging Date) in relation to such Fund Share, and (B) the Calculation Agent shall determine the relevant price for that Averaging Date in accordance with sub-paragraph (b)(ii) of the definition of "Valuation Date" below;

(iii)
where the Fund Linked Notes relate to a Basket of Funds and the applicable Final Terms provides that "Common Scheduled Trading Days" and "Individual Disrupted Days" shall be applicable, the Averaging Date for each Fund Share not affected by the occurrence of a Disrupted Day shall be the originally designated Averaging Date (following adjustment of such date owing to the original date not being a Common Scheduled Trading Day, if applicable) (the "Scheduled Averaging Date") and the Averaging Date for a Fund Share affected by the occurrence of a Disrupted Day shall be the first succeeding Valid Date in relation to such Fund Share. If the first succeeding Valid Date in relation to such Fund Share has not occurred as of the Valuation Time on the Averaging Cut-Off Date or if such Averaging Date falls on the Averaging Cut-Off Date owing to the original date on which it was scheduled to fall not being a Common Scheduled Trading Day, then (A) the Averaging Cut-Off Date shall be deemed to be the Averaging Date (irrespective of whether the Averaging Cut-Off Date is already an Averaging Date) in relation to such Fund Share, and (B) the Calculation Agent shall determine the relevant price for that Averaging Date in accordance with sub-paragraph (c)(ii) of the definition of "Valuation Date" below; or

(iv)
where the Fund Linked Notes relate to a Basket of Funds and the applicable Final Terms provides that "Common Scheduled Trading Days" and "Common Disrupted Days" shall be applicable, the Averaging Date for each Fund Share shall be the first succeeding Common Valid Date in relation to such Fund Share. If the first succeeding Common Valid Date has not occurred as of the Valuation Time on the Averaging Cut-Off Date or if such Averaging Date falls on the Averaging Cut-Off Date owing to the original date on which it was scheduled to fall not being a Common Scheduled Trading Day, then (A) the Averaging Cut-Off Date shall be deemed to be the Averaging Date (irrespective of whether the Averaging Cut-Off Date is already an Averaging Date), and (B) the Calculation Agent shall determine the relevant level or price for that Averaging Date in accordance with sub-paragraph (d)(ii) of the definition of "Valuation Date" below,

and, for the purposes of these Fund Linked Conditions "Valid Date" means a Scheduled Trading Day that is not a Disrupted Day and on which another Averaging Date does not or is deemed not to occur, and "Common Valid Date" means a Common Scheduled Trading Day that is not a Disrupted Day for any Fund Share and on which another Averaging Date does not or is deemed not to occur.

LN2-9694
 
115
 
 




"Barrier Event Determination Day" means, in respect of each Fund Share:
(a)
if the applicable Final Terms provides that the Barrier Event (intraday) provisions shall apply, unless otherwise specified in the applicable Final Terms, each day on which the price of such Fund Share is quoted on the relevant Exchange during the relevant Observation Period, regardless of whether or not such day is a Scheduled Trading Day for such Fund Share (and, for the avoidance of doubt, if the Calculation Agent in its sole and absolute discretion determines that a Market Disruption Event is occurring at any time on any Barrier Event Determination Day, it shall disregard the period during which it determines in its sole and absolute discretion that such Market Disruption Event has occurred and is continuing for the purposes of determining whether or not a Barrier Event (intraday) has occurred); or

(b)
if the applicable Final Terms provides that the Barrier Event (closing) provisions shall apply, each day specified as such in the applicable Final Terms.

"Barrier Event Valuation Time (closing)" means, in respect of each Fund Share to be valued, the Scheduled Closing Time on the relevant Exchange on the relevant Barrier Event Determination Day. If the relevant Exchange closes prior to its Scheduled Closing Time and the specified Barrier Event Valuation Time (closing) is after the actual closing time for its regular trading session, then the Barrier Event Valuation Time (closing) shall be such actual closing time.
"Barrier Event Valuation Time (intraday)" means any time during the regular trading session (without regard to any after hours or any other trading outside of the regular session) on the Exchange.
"Barrier Level" means, in respect of a Fund Share, such price for such Fund Share as is specified in the applicable Final Terms.
"Basket of Funds" means a basket composed of Fund Shares in their relative proportions or number of Fund Shares, as specified in the applicable Final Terms.
"Common Scheduled Trading Day" means, in respect of a Basket of Funds, each day which is a Scheduled Trading Day for all the Fund Shares in the Basket of Funds.
"Disrupted Day" means any Scheduled Trading Day on which a relevant Exchange or any Related Exchange fails to open for trading during its regular trading session or on which a Market Disruption Event has occurred.
"ETF" means any fund which is an exchange traded fund as specified in the applicable Final Terms, or, if not so specified, any fund which the Calculation Agent determines to be an Exchange Traded Fund.
"Exchange" means, in relation to a Fund Share, the exchange or principal trading market for such ETF specified in the applicable Final Terms, any successor to such exchange or quotation system or any substitute exchange or quotation system to which trading in the Fund Shares in respect of such ETF has temporarily relocated.
"Exchange Business Day" means any Scheduled Trading Day on which each Exchange and each Related Exchange are open for trading during their respective regular trading sessions, notwithstanding any such Exchange or Related Exchange closing prior to its Scheduled Closing Time.
"Final Price" means, in respect of a Fund Share, unless otherwise specified in the applicable Final Terms, the Fund Share Closing Price of such Fund Share on the Valuation Date, subject to adjustment in accordance with these Fund Linked Conditions.

LN2-9694
 
116
 
 




"Fund Performance" means, unless otherwise specified in the applicable Final Terms, in respect of a Fund Share and any relevant date, an amount (expressed as a percentage) determined by the Calculation Agent equal to (a) the Fund Share Closing Price of such Fund Share on such day, divided by (b) the Initial Price of such Fund Share.
"Fund Share" means a share of each ETF.
"Fund Share Closing Price" means, in respect of a Fund Share and any relevant date, subject to these Fund Linked Conditions, an amount equal to the official closing price of such Fund Share quoted on the relevant Exchange as determined by the Calculation Agent on such date.
"Fund Share Price" means, in respect of a Fund Share and a time on a Scheduled Trading Day and subject to these Fund Linked Conditions, the price of such Fund Share at such time on such day as determined by the Calculation Agent.
"Initial Price" means, in respect of a Fund Share, unless otherwise specified in the applicable Final Terms, the Fund Share Closing Price of such Fund Share on the Strike Date, subject to adjustment in accordance with these Fund Linked Conditions.
"Observation Cut-Off Date" means the eighth Scheduled Trading Day (or, where the Fund Linked Notes relate to a Basket of Funds and the applicable Final Terms provides that "Common Scheduled Trading Days" shall be applicable, the eighth Common Scheduled Trading Day) immediately following the Scheduled Observation Date or, if earlier, the Scheduled Trading Day (or, where the Fund Linked Notes relate to a Basket of Funds and the applicable Final Terms provides that "Common Scheduled Trading Days" shall be applicable, the Common Scheduled Trading Day) falling on or immediately preceding the second Business Day immediately preceding the date on which payment of any amount or delivery of any assets may have to be made pursuant to any calculation or determination made on such Observation Date, provided that the Observation Cut-Off Date shall not fall prior to the original date on which such Observation Date was scheduled to fall.
"Observation Date" means each date specified as such in the applicable Final Terms, or if such date is not a Scheduled Trading Day the immediately following Scheduled Trading Day (or, where the Fund Linked Notes relate to a Basket of Funds and the applicable Final Terms provides that "Common Scheduled Trading Days" shall be applicable, the immediately following Common Scheduled Trading Day), or, if earlier, the Observation Cut-Off Date. If any such day is a Disrupted Day, then:
(a)
where the Fund Linked Notes relate to a single Fund, the Observation Date shall be the first succeeding Scheduled Trading Day that is not a Disrupted Day, unless each of the Scheduled Trading Days immediately following the Scheduled Observation Date up to, and including, the Observation Cut-Off Date is a Disrupted Day. In that case, or if such Observation Date falls on the Observation Cut-Off Date owing to the original date on which it was scheduled to fall not being a Scheduled Trading Day for such Fund Share, (i) the Observation Cut-Off Date shall be deemed to be the Observation Date (notwithstanding the fact that such day may be a Disrupted Day) and (ii) the Calculation Agent shall determine the relevant price in the manner set out in the applicable Final Terms or, if not set out or if not practicable, determine the relevant price in accordance with its good faith estimate of the relevant price as of the Valuation Time on the Observation Cut-Off Date;

(b)
where the Fund Linked Notes relate to a Basket of Funds and the applicable Final Terms provides that "Common Scheduled Trading Days" shall not be applicable, the Observation Date for each Fund Share not affected by the occurrence of a Disrupted Day shall be the Scheduled Observation Date (or, if earlier, the Observation Cut-Off Date) and the Observation Date for each Fund Share affected

LN2-9694
 
117
 
 




(each an "Affected Fund Share") by the occurrence of a Disrupted Day shall be the first succeeding Scheduled Trading Day that is not a Disrupted Day relating to the Affected Fund Share, unless each of the Scheduled Trading Days immediately following the Scheduled Observation Date up to, and including, the Observation Cut-Off Date is a Disrupted Day relating to the Affected Fund Share. In that case, or if such Observation Date falls on the Observation Cut-Off Date owing to the original date on which it was scheduled to fall not being a Scheduled Trading Day for such Fund Share, (i) the Observation Cut-Off Date shall be deemed to be the Observation Date for such Fund Share (notwithstanding the fact that such day may be a Disrupted Day) and (ii) the Calculation Agent shall determine the relevant price using, in relation to such Fund Share, a price determined in the manner set out in the applicable Final Terms or, if not set out or if not practicable, using its good faith estimate of the price for such Fund Share as of the Valuation Time on the Observation Cut-Off Date, and otherwise in accordance with the above provisions;

(c)
where the Fund Linked Notes relate to a Basket of Funds and the applicable Final Terms provides that "Common Scheduled Trading Days" and "Individual Disrupted Days" shall be applicable, the Observation Date for each Fund Share not affected by the occurrence of a Disrupted Day shall be the Scheduled Observation Date (or if the Scheduled Observation Date is not a Common Scheduled Trading Day, the immediately following Common Scheduled Trading Day, or in either case, if earlier, the Observation Cut-Off Date) and the Observation Date for each Fund Share affected (each an "Affected Fund Share") by the occurrence of a Disrupted Day shall be the first succeeding Scheduled Trading Day that is not a Disrupted Day relating to the Affected Fund Share, unless each of the Scheduled Trading Days immediately following the Scheduled Observation Date (or if the Scheduled Observation Date is not a Common Scheduled Trading Day, the immediately following Common Scheduled Trading Day) up to, and including, the Observation Cut-Off Date is a Disrupted Day relating to the Affected Fund Share. In that case, or if such Observation Date falls on the Observation Cut-Off Date owing to the original date on which it was scheduled to fall not being a Common Scheduled Trading Day, (i) the Observation Cut-Off Date shall be deemed to be the Observation Date for such Fund Share (notwithstanding the fact that such day may be a Disrupted Day for a Fund Share or not a Common Scheduled Trading Day) and (ii) the Calculation Agent shall determine the relevant price using, in relation to such Fund Share, a price determined in the manner set out in the applicable Final Terms or, if not set out or if not practicable, using its good faith estimate of the price for such Fund Share as of the Valuation Time on the Observation Cut-Off Date, and otherwise in accordance with the above provisions; or

(d)
where the Fund Linked Notes relate to a Basket of Funds and the applicable Final Terms provides that "Common Scheduled Trading Days" and "Common Disrupted Days" shall be applicable, the Observation Date shall be the first succeeding Common Scheduled Trading Day that is not a Disrupted Day for any Fund Share, unless each of the Common Scheduled Trading Days immediately following the Scheduled Observation Date up to, and including, the Observation Cut-Off Date is a Disrupted Day for one or more Fund Shares. In that case, or if such Observation Date falls on the Observation Cut-Off Date owing to the original date on which it was scheduled to fall not being a Common Scheduled Trading Day, (i) the Observation Cut-Off Date shall be deemed to be the Observation Date (notwithstanding the fact that such day may be a Disrupted Day for a Fund Share or not a Common Scheduled Trading Day) and (ii) the Calculation Agent shall determine the relevant price using, in relation to each Fund Share for which the Observation Cut-Off Date is a Disrupted Day or is not a Common Scheduled Trading Day, a price determined in the manner set out in the applicable Final Terms or, if not set out or if not practicable, using its good faith estimate of the price for such Fund Share as of the Valuation Time on the Observation Cut-Off Date, and otherwise in accordance with the above provisions.

LN2-9694
 
118
 
 





"Observation Period" means, in respect of a Fund Share:
(a)
if the consequence of "Extension" is specified in the applicable Final Terms to be applicable, each period commencing on the Observation Period Start Date, following adjustment of such date pursuant to these Fund Linked Conditions or as specified in the applicable Final Terms, if applicable (and including or excluding such Observation Period Start Date, as specified in the applicable Final Terms), and ending on the immediately following Observation Period End Date, following adjustment of such date pursuant to these Fund Linked Conditions or as specified in the applicable Final Terms, if applicable (and including or excluding such Observation Period End Date, as specified in the applicable Final Terms); or

(b)
if the consequence of "No Extension" is specified in the applicable Final Terms to be applicable, each period commencing on the Observation Period Start Date, prior to any adjustment of such date pursuant to these Fund Linked Conditions or as specified in the applicable Final Terms, if applicable (and including or excluding such Observation Period Start Date, as specified in the applicable Final Terms), and ending on the immediately following Observation Period End Date, prior to any adjustment of such date pursuant to these Fund Linked Conditions or as specified in the applicable Final Terms, if applicable (and including or excluding such Observation Period End Date, as specified in the applicable Final Terms).

"Observation Period End Date" means, in respect of a Fund Share, each date specified as such in the applicable Final Terms, subject to adjustment in accordance with the provisions of "Observation Date", "Valuation Date", or otherwise as specified in the applicable Final Terms, if applicable.
"Observation Period Start Date" means, in respect of a Fund Share, each date specified as such in the applicable Final Terms, subject to adjustment in accordance with the provisions of "Observation Date", "Valuation Date", or otherwise as specified in the applicable Final Terms, if applicable.
"Related Exchangee" means, in relation to a Fund Share, each exchange or principal trading market specified as such for such Fund Share in the applicable Final Terms, any successor to such exchange or quotation system or any substitute exchange or quotation system to which trading in the Fund Shares in respect of such Fund Share has temporarily relocated (provided the Calculation Agent has determined that there is comparable liquidity relative to such Fund Shares on such temporary substitute exchange or quotation system as on the original Related Exchange), provided however, that where "All Exchanges" is specified as the Related Exchange in the applicable Final Terms, "Related Exchange" shall mean each exchange or principal trading market where trading has a material effect (as determined by the Calculation Agent) on the overall market for such Fund Shares.
"Scheduled Closing Time" means, in respect of an Exchange or Related Exchange and a Scheduled Trading Day, the scheduled weekday closing time of such Exchange or Related Exchange on such Scheduled Trading Day, without regard to after hours or any other trading outside of the regular trading session hours.
"Scheduled Observation Date" means any original date that, but for the occurrence of an event causing a Disrupted Day, would have been an Observation Date.
"Scheduled Trading Day" means any day on which each Exchange and each Related Exchange are scheduled to be open for trading for their respective regular trading sessions.

LN2-9694
 
119
 
 




"Scheduled Valuation Date" means any original date that, but for the occurrence of an event causing a Disrupted Day, would have been a Valuation Date.
"Strike Date" means the date specified as such in the applicable Final Terms.
"Underlying Index" means the underlying index specified in the applicable Final Terms.
"Valuation Cut-Off Date" means the eighth Scheduled Trading Day (or, where the Fund Linked Notes relate to a Basket of Funds and the applicable Final Terms provides that "Common Scheduled Trading Days" shall be applicable, the eighth Common Scheduled Trading Day) immediately following the Scheduled Valuation Date, or, if earlier, the Scheduled Trading Day (or, where the Fund Linked Notes relate to a Basket of Funds and the applicable Final Terms provides that "Common Scheduled Trading Days" shall be applicable, the Common Scheduled Trading Day) falling on or immediately preceding the second Business Day immediately preceding the date on which payment of any amount or delivery of any assets may have to be made pursuant to any calculation or determination made on such Valuation Date, provided that the Valuation Cut-Off Date shall not fall prior to the original date on which such Valuation Date was scheduled to fall.
"Valuation Date" means each Valuation Date specified in the applicable Final Terms, or if that is not a Scheduled Trading Day the immediately following Scheduled Trading Day (or, where the Fund Linked Notes relate to a Basket of Funds and the applicable Final Terms provides that "Common Scheduled Trading Days" shall be applicable, the immediately following Common Scheduled Trading Day), or, if earlier, the Valuation Cut-Off Date. If such day is a Disrupted Day, then:
(a)
where the Fund Linked Notes relate to a single Fund, the Valuation Date shall be the first succeeding Scheduled Trading Day that is not a Disrupted Day, unless each of the Scheduled Trading Days up to, and including, the Valuation Cut-Off Date is a Disrupted Day. In that case, or if such Valuation Date falls on the Valuation Cut-Off Date owing to the original date on which it was scheduled to fall not being a Scheduled Trading Day for such Fund Share, (i) the Valuation Cut-Off Date shall be deemed to be the Valuation Date (notwithstanding the fact that such day may be a Disrupted Day) and (ii) the Calculation Agent shall determine the relevant price in the manner set out in the applicable Final Terms or, if not set out or if not practicable, determine the relevant price in accordance with its good faith estimate of the relevant price as of the Valuation Time on the Valuation Cut-Off Date; or

(b)
where the Fund Linked Notes relate to a Basket of Funds and the applicable Final Terms provides that "Common Scheduled Trading Days" shall not be applicable, the Valuation Date for each Fund Share not affected by the occurrence of a Disrupted Day shall be the Scheduled Valuation Date (or, if earlier, the Valuation Cut-Off Date) and the Valuation Date for each Fund Share affected (each an "Affected Fund Share") by the occurrence of a Disrupted Day shall be the first succeeding Scheduled Trading Day that is not a Disrupted Day relating to the Affected Fund Share, unless each of the Scheduled Trading Days immediately following the Scheduled Valuation Date up to, and including, the Valuation Cut-Off Date is a Disrupted Day relating to the Affected Fund Share. In that case, or if such Valuation Date falls on the Valuation Cut-Off Date owing to the original date on which it was scheduled to fall not being a Scheduled Trading Day for such Fund Share, (i) the Valuation Cut-Off Date shall be deemed to be the Valuation Date for such Fund Share (notwithstanding the fact that such day may be a Disrupted Day) and (ii) the Calculation Agent shall determine the relevant price using, in relation to such Fund Share, a price determined in the manner set out in the applicable Final Terms or, if not set out or if not practicable, using its good faith estimate of the price for the Affected Fund Share as of the Valuation Time on the Valuation Cut-Off Date, and otherwise in accordance with the above provisions; or

LN2-9694
 
120
 
 





(c)
where the Fund Linked Notes relate to a Basket of Funds and the applicable Final Terms provides that "Common Scheduled Trading Days" and "Individual Disrupted Days" shall be applicable, the Valuation Date for each Fund Share not affected by the occurrence of a Disrupted Day shall be the Scheduled Valuation Date (or if the Scheduled Valuation Date is not a Common Scheduled Trading Day, the immediately following Common Scheduled Trading Day, or in either case, if earlier, the Valuation Cut-Off Date) and the Valuation Date for each Fund Share affected (each an "Affected Fund Share") by the occurrence of a Disrupted Day shall be the first succeeding Scheduled Trading Day that is not a Disrupted Day relating to the Affected Fund Share, unless each of the Scheduled Trading Days immediately following the Scheduled Valuation Date (or if the Scheduled Valuation Date is not a Common Scheduled Trading Day, the immediately following Common Scheduled Trading Day) up to, and including, the Valuation Cut-Off Date is a Disrupted Day relating to the Affected Fund Share. In that case, or if such Valuation Date falls on the Valuation Cut-Off Date owing to the original date on which it was scheduled to fall not being a Common Scheduled Trading Day, (i) the Valuation Cut-Off Date shall be deemed to be the Valuation Date for such Fund Share (notwithstanding the fact that such day may be a Disrupted Day for a Fund Share or not a Common Scheduled Trading Day) and (ii) the Calculation Agent shall determine the relevant price using, in relation to such Fund Share, a price determined in the manner set out in the applicable Final Terms or, if not set out or if not practicable, using its good faith estimate of the price for such Fund Share as of the Valuation Time on the Valuation Cut-Off Date, and otherwise in accordance with the above provisions; or

(d)
where the Fund Linked Notes relate to a Basket of Funds and the applicable Final Terms provides that "Common Scheduled Trading Days" and "Common Disrupted Days" shall be applicable, the Valuation Date shall be the first succeeding Common Scheduled Trading Day that is not a Disrupted Day for any Fund Share, unless each of the Common Scheduled Trading Days immediately following the Scheduled Valuation Date up to, and including, the Valuation Cut-Off Date is a Disrupted Day for one or more Fund Shares. In that case, or if the Valuation Date falls on the Valuation Cut-Off Date owing to the original date on which it was scheduled to fall not being a Common Scheduled Trading Day, (i) the Valuation Cut-Off Date shall be deemed to be the Valuation Date (notwithstanding the fact that such day may be a Disrupted Day for a Fund Share or not a Common Scheduled Trading Day) and (ii) the Calculation Agent shall determine the relevant price using, in relation to each Fund Share for which the Valuation Cut-Off Date is a Disrupted Day or is not a Common Scheduled Trading Day, a price determined in the manner set out in the applicable Final Terms or, if not set out or if not practicable, using its good faith estimate of the price for such Fund Share as of the Valuation Time on the Valuation Cut-Off Date, and otherwise in accordance with the above provisions.

"Valuation Time" means the Valuation Time specified in the applicable Final Terms or, if no Valuation Time is specified, the Scheduled Closing Time on the relevant Exchange on the relevant Valuation Date in relation to each Fund Share to be valued. If the relevant Exchange closes prior to its Scheduled Closing Time and the specified Valuation Time is after the actual closing time for its regular trading session, then the Valuation Time shall be such actual closing time.
"Worst Performing Fund Share" means, in respect of a Basket of Funds and the Valuation Date (unless otherwise specified in the applicable Final Terms), the Fund Share with the lowest Fund Performance on such day, as determined by the Calculation Agent (provided that if two or more Fund Shares have the same lowest Fund Performance on such day, the Calculation Agent shall determine which Fund Share shall be the Worst Performing Fund Share in its sole and absolute discretion, and such Fund Share shall be the Worst Performing Fund Share).

LN2-9694
 
121
 
 




8.
Barrier Event

(a)
A "Barrier Event (intraday)" means (and a Barrier Event (intraday) shall be deemed to occur if), in respect of a Fund Share, the Calculation Agent determines that the Fund Share Price of such Fund Share as of the Barrier Event Valuation Time (intraday) on any Barrier Event Determination Day is less than or equal to the corresponding Barrier Level for such Fund Share and such Barrier Event Determination Day.

For the purpose of determining whether a Barrier Event (intraday) has occurred on any day, the definition of Market Disruption Event specified in Fund Linked Condition 9 shall be amended such that (i) all references to "during the one-hour period that ends at the relevant Valuation Time" shall be deleted, and (ii) in sub-paragraph (b) each reference to "Valuation Time" and "Scheduled Closing Time" shall be construed as a reference to "Barrier Event Valuation Time (intraday)".
(b)
A "Barrier Event (closing)" means (and a Barrier Event (closing) shall be deemed to occur if), in respect of a Fund Share, the Calculation Agent determines that the Fund Share Closing Price of any Fund Share as of the Barrier Event Valuation Time (closing) on any Barrier Event Determination Day is less than or equal to the corresponding Barrier Level for such Fund Share and such Barrier Event Determination Day.

9.
Market Disruption

"Market Disruption Event" means, in respect of a Fund Share:
(a)
the occurrence or existence at any time during the one-hour period that ends at the relevant Valuation Time:

(i)
of any suspension of or limitation imposed on trading by the relevant Exchange or Related Exchange or otherwise and whether by reason of movements in price exceeding limits permitted by the relevant Exchange or Related Exchange or otherwise:

(A)
relating to the relevant Fund Share on such Exchange; or

(B)
relating to securities that comprise 20 per cent. or more of the level of the relevant Underlying Index or any relevant successor index; or

(C)
in futures or options contracts relating to such Fund Shares or the relevant Underlying Index on any relevant Related Exchange; or

(ii)
of any event (other than an event described in (b) below) that disrupts or impairs (as determined by the Calculation Agent) the ability of market participants in general to (A) effect transactions in, or obtain market values for, the Fund Shares on the Exchange, (B) effect transactions in, or obtain market values for, securities that comprise 20 per cent. or more of the level of the relevant Underlying Index, or (C) to effect transactions in, or obtain market values for, futures or options contracts relating to such Fund Shares or the relevant Underlying Index on any relevant Related Exchange; or

(b)
the closure on any Exchange Business Day of any relevant Exchange(s) or any Related Exchange(s) prior to its Scheduled Closing Time unless such earlier closing time is announced

LN2-9694
 
122
 
 




by such Exchange(s) or such Related Exchange(s), as the case may be, at least one hour prior to (i) the actual closing time for the regular trading session on such Exchange(s) or such Related Exchange on such Exchange Business Day or, if earlier, (ii) the submission deadline for orders to be entered into such Exchange or Related Exchange system for execution at the Valuation Time on such Exchange Business Day, which in any such case the Calculation Agent determines is material.

For the purpose of determining whether a Market Disruption Event exists in respect of a Fund Share at any time, if an event giving rise to a Market Disruption Event occurs in respect of a security included in the relevant Underlying Index at that time, then the relevant percentage contribution of that security, to the level of the relevant Underlying Index shall be based on a comparison of (a) the portion of the level of the relevant Underlying Index attributable to that security, and (b) the overall level of the relevant Underlying Index immediately before the occurrence of such Market Disruption Event.
The Issuer shall give notice as soon as practicable to the Noteholders in accordance with Condition 14 of the occurrence of a Disrupted Day on any day that, but for the occurrence of a Disrupted Day, would have been a Valuation Date provided that any failure to give, or non-receipt of, such notice will not affect the validity of any such Disrupted Day.
10.
Potential Adjustment Event

"Potential Adjustment Event" means any of the following:
(a)
a subdivision, consolidation, or reclassification of relevant Fund Shares (unless resulting in a Merger Event or Tender Offer), or a free distribution or dividend of any such Fund Shares to existing holders by way of bonus, capitalization, or similar issue;

(b)
a distribution, issue, or dividend to existing holders of the relevant Fund Shares of (i) such Fund Shares or (ii) other share capital or securities granting the right to payment of dividends and/or the proceeds of liquidation of the ETF equally or proportionately with such payments to holders of such Fund Shares or (iii) share capital or other securities of another issuer acquired or owned (directly or indirectly) by the ETF as a result of a spin-off or other similar transaction, or (iv) any other type of securities, rights or warrants or other assets in any case for payment (cash or other consideration) at less than the prevailing market price as determined by the Calculation Agent;

(c)
an extraordinary dividend as determined by the Calculation Agent;

(d)
a call by the ETF in respect of relevant Fund Shares that are not fully paid;

(e)
a repurchase by the ETF or any of its subsidiaries of relevant Fund Shares, whether out of profits or capital and whether the consideration for such repurchase is cash, securities or otherwise;

(f)
in respect of an ETF, an event that results in any shareholder rights being distributed or becoming separated from Fund Shares of common stock or other shares of the capital stock of the ETF pursuant to a shareholder rights plan or arrangement directed against hostile takeovers that provides upon the occurrence of certain events for a distribution of preferred stock, warrants, debt instruments or stock rights at a price below their market value, as determined by the Calculation Agent, provided that any adjustment effected as a result of such an event shall be readjusted upon any redemption of such rights; or


LN2-9694
 
123
 
 




(g)
any other event that may have a diluting or concentrative effect on the theoretical value of the relevant Fund Shares.

Following a Potential Adjustment Event, the Calculation Agent will, in its sole and absolute discretion, determine whether such Potential Adjustment Event has a diluting or concentrative effect on the theoretical value of the relevant Fund Shares and, if so, will (i) make the corresponding adjustment(s), if any, to any one or more of the terms of the Terms and Conditions of the Notes and/or the applicable Final Terms as the Calculation Agent determines appropriate to account for that diluting or concentrative effect and (ii) determine the effective date(s) of that adjustment(s). The Calculation Agent may, but need not, determine the appropriate adjustment(s) by reference to the adjustment(s) in respect of such Potential Adjustment Event made by an options exchange to options on the relevant Fund Shares traded on such options exchange.
Upon the making of any such adjustment, the Calculation Agent shall as soon as is reasonably practicable under the circumstances give notice to the Noteholders in accordance with Condition 14 stating the adjustment made and giving brief details of the Potential Adjustment Event, provided that any failure to give, or non-receipt of, such notice will not affect the validity of any such adjustment.
11.
De-Listing, Insolvency, Material Underlying Event, Merger Date, Merger Event, Nationalization, Tender Offer

"De-Listing" means, in respect of a Fund Share, that the relevant Exchange announces that, pursuant to the rules of such Exchange, such Fund Share ceases (or will cease) to be listed, traded, or publicly quoted on such Exchange for any reason (other than a Merger Event or Tender Offer) and is not immediately re-listed, re-traded, or re-quoted on an exchange or quotation system located in the same country as the Exchange (or, where the Exchange is within the European Union, in a member state of the European Union).
"Insolvency" means that by reason of the voluntary or involuntary liquidation, bankruptcy, insolvency, dissolution, or winding-up of, or any analogous proceeding affecting an ETF, (a) all the Fund Shares of that ETF are required to be transferred to a trustee, liquidator, or other similar official or (b) holders of the Fund Shares of that ETF become legally prohibited from transferring them.
"Material Underlying Event" means any of the following:
(a)
the investment objectives and/or policies in respect of the ETF are materially changed;

(b)
an illegality occurs or a relevant authorization or license is revoked in respect of the ETF and/ or the ETF is required by a competent authority (other than any holder of the Fund Shares) to redeem any Fund Shares;

(c)
there is a change in any relevant jurisdiction in respect of any payments made by the ETF in respect of any Fund Share as a result of which the amounts paid or to be paid by the Issuer in connection with hedging arrangements relating to the Notes are materially reduced or otherwise adversely affected; and/or

(d)
any other event occurs in relation to the ETF and/or the Fund Shares which is materially prejudicial to the Issuer in connection with the issue of the Notes or any hedging arrangements relating to the Notes,
as determined by the Calculation Agent.

LN2-9694
 
124
 
 




"Merger Date" means the closing date of a Merger Event or, where a closing date cannot be determined under the local law applicable to such Merger Event, such other date as determined by the Calculation Agent.
"Merger Event" means, in respect of any relevant Fund Shares, any (a) reclassification or change of such Fund Shares that results in a transfer of or an irrevocable commitment to transfer all of such Fund Shares outstanding to another entity or person, (b) consolidation, amalgamation, merger, or binding share exchange of the ETF with or into another entity or person (other than a consolidation, amalgamation, merger, or binding share exchange in which such ETF is the continuing entity and which does not result in any such reclassification or change of all such Fund Shares outstanding) or (c) takeover offer, tender offer, exchange offer, solicitation, proposal, or other event by any entity or person to purchase or otherwise obtain 100 per cent. of the outstanding Fund Shares of the relevant ETF that results in a transfer of or an irrevocable commitment to transfer all such Fund Shares (other than such Fund Shares owned or controlled by such other entity or person), or (d) consolidation, amalgamation, merger, or binding share exchange of the ETF or its subsidiaries with or into another entity in which the ETF is the continuing entity and which does not result in a reclassification or change of all such Fund Shares outstanding but results in the outstanding Fund Shares (other than Fund Shares owned or controlled by such other entity) immediately prior to such event collectively representing less than 50 per cent. of the outstanding Fund Shares immediately following such event (a "Reverse Merger"), in each case if the Merger Date is on or before the Valuation Date (or such other date as is specified in the applicable Final Terms).
"Nationalization" means that all the Fund Shares or all or substantially all the assets of an ETF are nationalized, expropriated, or are otherwise required to be transferred to any governmental agency, authority, entity, or instrumentality thereof.
"Tender Offer" means a takeover offer, tender offer, exchange offer, solicitation, proposal, or other event by any entity or person that results in such entity or person purchasing, or otherwise obtaining or having the right to obtain, by conversion or other means, greater than 10 per cent. and less than 100 per cent. of the outstanding voting shares of the relevant ETF, as determined by the Calculation Agent, based upon the making of filings with governmental or self-regulatory agencies or such other information as the Calculation Agent deems relevant.
If a De-Listing, Merger Event, Tender Offer, Nationalization, Insolvency, or Material Underlying Event occurs in relation to any Fund Share, the Issuer, in its sole and absolute discretion, may take the action described in (a), (b) or (c) below:
(a)
require the Calculation Agent, in its sole and absolute discretion, to determine the appropriate adjustment(s), if any, to be made to any one or more of the terms of the Terms and Conditions and/or the applicable Final Terms to account for the De-Listing, Merger Event, Tender Offer, Nationalization, Insolvency, or Material Underlying Event, as the case may be, and determine the effective date(s) of that adjustment(s). The Calculation Agent may (but need not) determine the appropriate adjustment(s) by reference to the adjustment(s) in respect of the De-Listing, Merger Event, Tender Offer, Nationalization, Insolvency, or Material Underlying Event made by any options exchange to options on the relevant Fund Share traded on that options exchange;

(b)
give notice to the Noteholders in accordance with Condition 14, and redeem all, but not less than all, of the Notes, each nominal amount of Notes equal to the Specified Denomination being redeemed at the Early Redemption Amount; or


LN2-9694
 
125
 
 




(c)
following such adjustment to the settlement terms of options on the Fund Shares traded on such exchange(s) or quotation system(s) as the Issuer in its sole discretion shall select (the "Options Exchange"), require the Calculation Agent to make a corresponding adjustment to any one or more of the terms of the Terms and Conditions and/or the applicable Final Terms, which adjustment will be effective as of the date determined by the Calculation Agent to be the effective date of the corresponding adjustment made by the Options Exchange. If options on the Fund Shares are not traded on the Options Exchange, the Calculation Agent will make such adjustment, if any, to any one or more of the terms of the Terms and Conditions and/or the applicable Final Terms as the Calculation Agent in its sole and absolute discretion determines appropriate, with reference to the rules and precedents (if any) set by the Options Exchange to account for the Merger Event, Tender Offer, De-listing, Nationalization, Insolvency, or Material Underlying Event, as the case may be, that in the determination of the Calculation Agent would have given rise to an adjustment by the Options Exchange if such options were so traded.

Upon the occurrence of a Merger Event, Tender Offer, De-listing, Nationalization, Insolvency, or Material Underlying Event, the Issuer shall give notice as soon as practicable to the Noteholders in accordance with Condition 14 stating the occurrence of the Merger Event, Tender Offer, Nationalization, De-listing, Insolvency, or Material Underlying Event, as the case may be, giving details thereof and the action proposed to be taken in relation thereto provided that any failure to give, or non-receipt of, such notice will not affect the validity of any such Merger Event, Tender Offer, Nationalization, De-listing, Insolvency, or Material Underlying Event, as the case may be.
12.
Additional Disruption Events

(a)
"Additional Disruption Event" means any of Change in Law, Hedging Disruption, and/or Increased Cost of Hedging, in each case if specified in the applicable Final Terms.

"Change in Law" means that, on or after the Trade Date, (i) due to the adoption of or any change in any applicable law or regulation (including, without limitation, any tax law), or (ii) due to the promulgation of or any change in the interpretation by any court, tribunal, or regulatory authority with competent jurisdiction of any applicable law or regulation (including any action taken by a taxing authority), the Calculation Agent determines in its sole and absolute discretion that (A) it has become illegal to hold, acquire, or dispose of any relevant Fund Share or (B) it will incur a materially increased cost in performing its obligations in relation to the Fund Linked Notes (including, without limitation, due to any increase in tax liability, decrease in tax benefit or other adverse effect on the tax position of the Issuer and/or any of its affiliates).
"Hedging Disruption" means that the Issuer and/or any of its Affiliates or agents is unable, after using commercially reasonable efforts, to (i) acquire, establish, re-establish, substitute, maintain, unwind, or dispose of any transaction(s) or asset(s) it deems necessary to hedge the equity or other price risk of the Issuer issuing and performing its obligations with respect to the Fund Linked Notes, or (ii) realize, recover or remit the proceeds of any such transaction(s) or asset(s).
"Increased Cost of Hedging" means that the Issuer and/or any of its Affiliates or agents would incur a materially increased (as compared with circumstances existing on the Trade Date) amount of tax, duty, expense, or fee (other than brokerage commissions) to (i) acquire, establish, re-establish, substitute, maintain, unwind, or dispose of any transaction(s) or asset(s) it deems necessary to hedge the equity or other price risk of the Issuer issuing and performing its obligations with respect to the Fund Linked Notes, or (ii) realize, recover, or remit the proceeds of any such transaction(s) or asset(s), provided that any such materially increased amount that is incurred solely due to the deterioration

LN2-9694
 
126
 
 




of the creditworthiness of the Issuer and/or any of its Affiliates or agents shall not be deemed an Increased Cost of Hedging.
(b)
If an Additional Disruption Event occurs, the Issuer, in its sole and absolute discretion, may take the action described in (i) or (ii) below:

(i)
require the Calculation Agent to determine in its sole and absolute discretion the appropriate adjustment, if any, to be made to any of the other terms of the Terms and Conditions and/or the applicable Final Terms to account for the Additional Disruption Event and determine the effective date of that adjustment; or

(ii)
give notice to Noteholders in accordance with Condition 14 and redeem all, but not less than all, of the Notes, each nominal amount of Notes equal to the Specified Denomination being redeemed at the Early Redemption Amount.

(c)
Upon the occurrence of an Additional Disruption Event, the Issuer shall give notice as soon as practicable to the Noteholders in accordance with Condition 14 stating the occurrence of the Additional Disruption Event giving details thereof and the action proposed to be taken in relation thereto provided that any failure to give, or non-receipt of, such notice will not affect the validity of the Additional Disruption Event.

LN2-9694
 
127
 
 




ANNEX 7

ADDITIONAL TERMS AND CONDITIONS FOR INFLATION LINKED NOTES

The terms and conditions applicable to Inflation Linked Notes shall comprise the Terms and Conditions of the Notes and the additional Terms and Conditions set out below (the "Inflation Linked Conditions"), in each case subject to completion and/or amendment in the applicable Final Terms. In the event of any inconsistency between the Terms and Conditions of the Notes, and the Inflation Linked Conditions, the Inflation Linked Conditions shall prevail. In the event of any inconsistency between (i) the Terms and Conditions of the Notes and/or the Inflation Linked Conditions and (ii) the Final Terms, the Final Terms shall prevail.
1.
Definitions

For the purpose of the Inflation Linked Notes:
"Cut-Off Date" means, in respect of a Determination Date, five Business Days prior to such Determination Date, unless otherwise stated in the applicable Final Terms.
"Delayed Index Level Event" means, in respect of any Determination Date and an Inflation Index, that the relevant Inflation Index Sponsor fails to publish or announce the level of such Inflation Index (the "Relevant Level") in respect of any Reference Month which is to be utilized in any calculation or determination to be made by the Issuer in respect of such Determination Date, at any time on or prior to the Cut-Off Date.
"Determination Date" means each date specified as such in the applicable Final Terms.
"End Date" means each date specified as such in the applicable Final Terms.
"Fallback Bond" means, in respect of an Inflation Index, a bond selected by the Calculation Agent and issued by the government of the country to whose level of inflation the relevant Inflation Index relates, and which pays a coupon or redemption amount which is calculated by reference to such Inflation Index, with a maturity date which falls on (a) the same day as the End Date as specified in the applicable Final Terms, (b) the next longest maturity after the End Date if there is no such bond maturing on the End Date, or (c) the next shortest maturity before the End Date if no bond defined in (a) or (b) is selected by the Calculation Agent. If the relevant Inflation Index relates to the level of inflation across the European Monetary Union, the Calculation Agent will select an inflation-linked bond that is a debt obligation of one of the governments (but not any government agency) of France, Italy, Germany, or Spain and which pays a coupon or redemption amount which is calculated by reference to the level of inflation in the European Monetary Union. In each case, the Calculation Agent will select the Fallback Bond from those inflation-linked bonds issued on or before the Issue Date and, if there is more than one inflation-linked bond maturing on the same date, the Fallback Bond shall be selected by the Calculation Agent from those bonds. If the Fallback Bond redeems, the Calculation Agent will select a new Fallback Bond on the same basis, but selected from all eligible bonds in issue at the time the original Fallback Bond redeems (including any bond for which the redeemed bond is exchanged).
"Inflation Index" means each inflation index specified in the applicable Final Terms and related expressions shall be construed accordingly.

LN2-9694
 
128
 
 




"Inflation Index Sponsor" means, in relation to an Inflation Index, the entity that publishes or announces (directly or through an agent) the level of such Inflation Index which, as of the Issue Date, is the Inflation Index Sponsor specified in the applicable Final Terms.
"Reference Month" means the calendar month for which the level of the Inflation Index was reported, regardless of when this information is published or announced. If the period for which the level of the Inflation Index was reported is a period other than a month, the Reference Month shall be the period for which the level of the Inflation Index was reported.
"Related Bond" means, in respect of an Inflation Index, the bond specified as such in the applicable Final Terms. If the Related Bond specified in the applicable Final Terms is "Fallback Bond", then, for any Related Bond determination, the Calculation Agent shall use the Fallback Bond. If no bond is specified in the applicable Final Terms as the Related Bond and "Fallback Bond: Not Applicable" is specified in the applicable Final Terms there will be no Related Bond. If a bond is selected as the Related Bond in the applicable Final Terms and that bond redeems or matures before the End Date, unless "Fallback Bond: Not Applicable" is specified in the applicable Final Terms, the Calculation Agent shall use the Fallback Bond for any Related Bond determination.
2.
Inflation Index Adjustments

(a)
Delay in Publication
Subject to Inflation Linked Condition 2(b), if the Calculation Agent determines that a Delayed Index Level Event in respect of an Inflation Index has occurred with respect to any Determination Date, then the Relevant Level for such Inflation Index the subject of such Delayed Index Level Event (the "Substitute Index Level") shall be determined by the Calculation Agent as follows:
(i)
if Related Bond is specified as applicable for such Inflation Index in the applicable Final Terms, the Calculation Agent shall determine the Substitute Index Level by reference to the corresponding index level determined under the terms and conditions of the relevant Related Bond; or

(ii)
if (A) Related Bond is specified as not applicable for such Inflation Index in the applicable Final Terms, or (B) the Calculation Agent is not able to determine a Substitute Index Level under (i) above, the Calculation Agent shall determine the Substitute Index Level by reference to the following formula:

Substitute Index Level = Base Level x (Latest Level/Reference Level)
where:
"Base Level" means, in respect of an Inflation Index, the level of such Inflation Index (excluding any "flash" estimates) published or announced by the relevant Inflation Index Sponsor in respect of the month which is 12 calendar months prior to the month for which the Substitute Index Level is being determined.
"Latest Level" means, in respect of an Inflation Index, the latest level of such Inflation Index (excluding any "flash" estimates) published or announced by the relevant Inflation Index Sponsor prior to the month in respect of which the Substitute Index Level is being determined.

LN2-9694
 
129
 
 




"Reference Level" means, in respect of an Inflation Index, the level of such Inflation Index (excluding any "flash" estimates) published or announced by the relevant Inflation Index Sponsor in respect of the month that is 12 calendar months before the month in respect of the Latest Level.
The Issuer shall give notice to Noteholders in accordance with Condition 14 of any Substitute Index Level calculated pursuant to this Inflation Linked Condition 2.
(b)
Cessation of Publication
If a level for the Inflation Index has not been published or announced for two consecutive months or the Inflation Index Sponsor announces that it will no longer continue to publish or announce the Inflation Index then the Calculation Agent shall determine a successor index (in lieu of any previously applicable Inflation Index) for the purposes of the Inflation Linked Notes by using the following methodology:
(i)
if, at any time, a successor index has been designated by the Calculation Agent pursuant to the terms and conditions of the Related Bond, such successor index shall be designated a "Successor Index" notwithstanding that any other Successor Index may previously have been determined under sub-paragraphs (ii), (iii) or (iv) below; or

(ii)
if a Successor Index has not been determined pursuant to Inflation Linked Condition 2(b)(i)and a notice has been given or an announcement has been made by the Inflation Index Sponsor, specifying that the Inflation Index will be superseded by a replacement Inflation Index specified by the Inflation Index Sponsor, and the Calculation Agent determines that such replacement index is calculated using the same or substantially similar formula or method of calculation as used in the calculation of the previously applicable Inflation Index, such replacement index shall be the Inflation Index for purposes of the Inflation Linked Notes from the date that such replacement Inflation Index comes into effect; or

(iii)
if a Successor Index has not been determined pursuant to Inflation Linked Condition 2(b)(i) or Inflation Linked Condition 2(b)(ii), the Calculation Agent shall ask five leading independent dealers to state what the replacement index for the Inflation Index should be. If four or five responses are received, and of those four or five responses three or more leading independent dealers state the same index, this index will be deemed the "Successor Inflation Index". If three responses are received, and two or more leading independent dealers state the same index, this index will be deemed the "Successor Inflation Index". If fewer than three responses are received, the Calculation Agent will proceed to Inflation Linked Condition 2(b)(iv); or

(iv)
if no replacement index or Successor Inflation Index has been deemed under Inflation Linked Condition 2(b)(i), 2(b)(ii) or 2(b)(iii) by the next occurring Cut-Off Date, the Calculation Agent will determine an appropriate alternative index from such Cut-Off Date, and such index will be deemed a "Successor Inflation Index"; or

(v)
if the Calculation Agent determines that there is no appropriate alternative index, the Issuer shall give notice to the Noteholders in accordance with Condition 14 and redeem all (but not less than all) of the Notes, each nominal amount of Notes equal to the Specified Denomination being redeemed at the Early Redemption Amount.


LN2-9694
 
130
 
 




(c)
Rebasing of the Inflation Index
If the Calculation Agent determines that the Inflation Index has been or will be rebased at any time, the Inflation Index as so rebased (the "Rebased Index") will be used for purposes of determining the level of the Inflation Index from the date of such rebasing; provided, however, that the Calculation Agent shall make adjustments as are made by the Calculation Agent pursuant to the terms and conditions of the Related Bond, if Related Bond is specified as applicable in the applicable Final Terms, to the levels of the Rebased Index so that the Rebased Index levels reflect the same rate of inflation as the Inflation Index before it was rebased, or, if Related Bond is specified as not applicable in the applicable Final Terms, the Calculation Agent shall make adjustments to the levels of the Rebased Index so that the Rebased Index levels reflect the same rate of inflation as the Inflation Index before it was rebased.
(d)
Material Modification Prior to Last Occurring Cut-Off
If, on or prior to the last occurring Cut-Off Date, the Inflation Index Sponsor announces that it will make a material change to the Inflation Index then the Calculation Agent shall make any such adjustments, if Related Bond is specified as applicable in the applicable Final Terms, consistent with adjustments made to the Related Bond, or, if Related Bond is specified as not applicable in the applicable Final Terms, only those adjustments to the Inflation Index necessary for the modified Inflation Index to continue as the Inflation Index.

LN2-9694
 
131
 
 




ANNEX 8

ADDITIONAL TERMS AND CONDITIONS FOR PHYSICAL DELIVERY NOTES

The terms and conditions applicable to Physical Delivery Notes shall comprise the Terms and Conditions of the Notes and the additional Terms and Conditions set out below (the "Physical Delivery Conditions"), in each case subject to completion and/or amendment in the applicable Final Terms. In the event of any inconsistency between the Terms and Conditions of the Notes and the Physical Delivery Conditions, the Physical Delivery Conditions shall prevail. In the event of any inconsistency between (i) the Terms and Conditions of the Notes and/or the Physical Delivery Conditions and (ii) the Final Terms, the Final Terms shall prevail.
1.
Delivery of Entitlement and Asset Transfer Notices

In order to obtain delivery of the Entitlement(s) in respect of any Note:
(a)
if such Note is represented by a Global Note, the relevant Noteholder must deliver to the Relevant Clearing System, with a copy to the Principal Agent and the Issuer not later than the close of business in each place of receipt on the Cut-Off Date, a duly completed Asset Transfer Notice substantially in the form set out in the Agency Agreement (the "Asset Transfer Notice"); and

(b)
if such Note is in definitive form, the relevant Noteholder must deliver to any Paying Agent (in case of Bearer Notes) or the Transfer Agent (in case of Registered Notes), in each case with a copy to the Principal Agent and the Issuer not later than the close of business in each place of receipt on the Cut-Off Date, a duly completed Asset Transfer Notice.

Forms of the Asset Transfer Notice may be obtained during normal business hours from the specified office of any Paying Agent.
An Asset Transfer Notice may only be delivered (i) if such Note is represented by a Global Note, in such manner as is acceptable to the Relevant Clearing System or (ii) if such Note is in definitive form, in writing.
If such Note is in definitive form, such Note must be delivered together with the duly completed Asset Transfer Notice.
The Issuer shall at the risk of the relevant Noteholder deliver the Entitlement in respect of each Note.
All expenses, including any applicable depositary charges, transaction or exercise charges, stamp duty, stamp duty reserve tax, issue, registration, securities, transfer, and/or other taxes or duties (together, "Expenses"), arising from the redemption of the Notes and the delivery of any Entitlement shall be for the account of the relevant Noteholder or Couponholder, as the case may be, and no delivery and/or transfer of any Entitlement shall be made until all Expenses have been paid to the satisfaction of the Issuer by the relevant Noteholder or Couponholder, as the case may be.
An Asset Transfer Notice must:
(i)
specify the name, address outside the United States and its possessions, and contact telephone number of the relevant Noteholder or Couponholder, as the case may be, and the person from whom the Issuer may obtain details for the delivery of the Entitlement if such delivery is to be made otherwise than in the manner specified in the applicable Final Terms;

LN2-9694
 
132
 
 





(ii)
in the case of Notes represented by a Global Note, specify the nominal amount of Notes which are the subject of such notice and the number of the Noteholder's account at the Relevant Clearing System to be debited with such Notes and irrevocably instruct and authorize the Relevant Clearing System to debit the relevant Noteholder's account with such Notes on or before the Maturity Delivery Date (as defined below);

(iii)
include an undertaking to pay all Expenses and, in the case of Notes represented by a Global Note, an authority to debit a specified account of the Noteholder at the Relevant Clearing System in respect thereof and to pay such Expenses;

(iv)
include such details as are required by the applicable Final Terms for delivery of the Entitlement which may include account details of an account outside the United States and its possessions and/or the name and address outside the United States and its possessions of any person(s) into whose name evidence of the Entitlement is to be registered and/or any bank, broker, or agent outside the United States and its possessions to whom documents evidencing the Entitlement are to be delivered and specify the name and number of the Noteholder's account with the Relevant Clearing System to be credited with any cash payable by the Issuer, in respect of any cash amount constituting the Entitlement or any dividends relating to the Entitlement, as a result of the occurrence of a Settlement Disruption Event or a Failure to Deliver due to Illiquidity and the Issuer electing to pay the Disruption Cash Settlement Price or Failure to Deliver Settlement Price, as applicable, or in respect of any Partial Cash Settlement Amounts;

(v)
certify that the beneficial owner of each Note is not a U.S. person (as defined in Regulation S under the Securities Act), the Note is not being redeemed within the United States or its possessions or on behalf of a U.S. person and no cash, securities or other property have been or will be delivered within the United States or its possessions or to, or for the account or benefit of, a U.S. person in connection with any redemption thereof; and

(vi)
authorize the production of such notice in any applicable administrative or legal proceedings.

No Asset Transfer Notice may be withdrawn after receipt thereof by the Relevant Clearing System, a Paying Agent or a Transfer Agent as provided above. After delivery of an Asset Transfer Notice, the relevant Noteholder may not transfer the Notes which are the subject of such notice.
In the case of Notes represented by a Global Note, upon receipt of such notice, the Relevant Clearing System shall verify that the person specified therein as the Noteholder is the holder of the specified nominal amount of Notes according to its books.
Subject thereto, the Relevant Clearing System will confirm to the Principal Agent the ISIN, series number, and number of Notes the subject of such notice, the relevant account details (if applicable) and the details for the delivery of the Entitlement in respect of each such Note. Upon receipt of such confirmation, the Principal Agent will inform the Issuer thereof. The Relevant Clearing System, will on or before the Maturity Delivery Date, debit the securities account of the relevant Noteholder with the Notes the subject of the relevant Asset Transfer Notice.
Failure properly to complete and deliver an Asset Transfer Notice may result in such notice being treated as null and void. Any determination as to whether such notice has been properly completed and delivered as provided in these Physical Delivery Conditions shall be made, in the case of Notes represented by a Global Note, by the Relevant Clearing System, after consultation with the Principal Agent and the Issuer

LN2-9694
 
133
 
 




and shall be conclusive and binding on the Issuer and the relevant Noteholder, or, in the case of Notes in definitive form, by the relevant Paying Agent (in case of Bearer Notes) or the relevant Transfer Agent (in case of Registered Notes), in each case after consultation with the Principal Agent and the Issuer and shall be conclusive and binding on the Issuer and the relevant Noteholder.
If such Asset Transfer Notice is subsequently corrected to the satisfaction of the Relevant Clearing System, the relevant Paying Agent or the relevant Transfer Agent (as applicable), in each case in consultation with the Principal Agent and the Issuer, it shall be deemed to be a new Asset Transfer Notice submitted at the time such correction was delivered as provided above.
The Relevant Clearing System, the relevant Paying Agent or the relevant Transfer Agent, as applicable, shall use its best efforts promptly to notify the Noteholder submitting an Asset Transfer Notice if, in consultation with the Principal Agent and the Issuer, it has determined that such Asset Transfer Notice is incomplete or not in proper form. In the absence of negligence or willful misconduct on its part, none of the Issuer, the Paying Agents, the Transfer Agents, the Relevant Clearing System or the Principal Agent shall be liable to any person with respect to any action taken or omitted to be taken by it in connection with such determination or the notification of such determination to a Noteholder.
The Entitlement will be delivered at the risk of the relevant Noteholder, in the manner provided above on the Maturity Date (such date, subject to adjustment in accordance with these Physical Delivery Conditions, the "Maturity Delivery Date"), provided that the Asset Transfer Notice is duly delivered to the Relevant Clearing System, a Paying Agent or a Transfer Agent, as the case may be, with a copy to the Principal Agent and the Issuer, as provided above, not later than the close of business in each place of receipt on the Cut-Off Date.
If an Asset Transfer Notice is delivered to the Relevant Clearing System, a Paying Agent or a Transfer Agent, as the case may be, with a copy to the Principal Agent and the Issuer, later than the close of business in each place of receipt on the Cut-Off Date, then the Entitlement will be delivered as soon as practicable after the Maturity Date (in which case, such date of delivery shall be the Maturity Delivery Date). Provided that if in respect of a Note an Asset Transfer Notice is not delivered to the Relevant Clearing System, a Paying Agent or a Transfer Agent, as the case may be, with a copy to the Principal Agent and the Issuer, later than the close of business in each place of receipt on the 90th calendar day following the Cut-Off Date, the Issuer's obligations in respect of such Note shall be discharged and no further liability in respect thereof shall attach to the Issuer. For the avoidance of doubt, in such circumstances such Noteholder shall not be entitled to any payment, whether of interest or otherwise, as a result of such Maturity Delivery Date falling after the originally designated Maturity Delivery Date and no liability in respect thereof shall attach to the Issuer.
Delivery of the Entitlement in respect of the Notes is subject to all applicable laws, regulations, and practices in force on the Maturity Delivery Date and none of the Issuer or any of its Affiliates or agents, the Principal Agent, Paying Agents, and the Transfer Agents shall incur any liability whatsoever if it is unable to effect the transactions contemplated, after using all reasonable efforts, as a result of any such laws, regulations, or practices. None of the Issuer or any of its Affiliates or agents, the Principal Agent, the Paying Agents, and the Transfer Agents, shall, under any circumstances, be liable for any acts or defaults of the Relevant Clearing System in relation to the performance of its duties in relation to the Notes.
For such period of time after the Maturity Delivery Date, as any person other than the relevant Noteholder shall continue to be the legal owner of the securities or obligations comprising the Entitlement (the "Intervening Period"), neither of the Issuer nor any other such person shall (a) be under any obligation to deliver or procure delivery to the relevant Noteholder or any subsequent beneficial owner of such Note any letter, certificate, notice, circular, or any other document or, except as provided herein, payment

LN2-9694
 
134
 
 




whatsoever received by that person in respect of such securities or obligations, (b) be under any obligation to exercise or procure exercise of any or all rights (including voting rights) attaching to such securities or obligations during the Intervening Period, or (c) be under any liability to the relevant Noteholder or any subsequent beneficial owner of such Note in respect of any loss or damage which the relevant Noteholder or subsequent beneficial owner may sustain or suffer as a result, whether directly or indirectly, of that person being the legal owner of such securities or obligations during such Intervening Period.
Where the Entitlement comprises shares, any dividend or other distribution in respect of such Entitlement will be payable to the party that would receive such dividend or other distribution according to market practice for a sale of the share executed on the Maturity Delivery Date and to be delivered in the same manner as the Entitlement. Any such dividend or other distribution to be paid to a Noteholder shall be paid to the account specified in the relevant Asset Transfer Notice.
The Noteholders will receive an Entitlement comprising the nearest number (rounded down) of Relevant Assets capable of being delivered by the Issuer (taking into account that a Noteholder's entire holding may be aggregated at the Issuer's discretion for the purpose of delivering the Entitlements), and in respect of the amount of Relevant Assets not capable of being delivered, an amount in the Specified Currency which shall be the value of the amount of the Relevant Assets so rounded down, as calculated by the Calculation Agent in its sole discretion from such source(s) as it may select (converted if necessary into the Specified Currency by reference to such exchange rate as the Calculation Agent deems appropriate).
2.
Settlement Disruption Event

If, prior to the delivery of the Entitlement in accordance with these Physical Delivery Conditions, a Settlement Disruption Event is subsisting, then the Maturity Delivery Date in respect of such Note shall be postponed until the next Settlement Business Day (as specified in the applicable Final Terms) on which no Settlement Disruption Event is subsisting and notice thereof shall be given to the relevant Noteholder, in accordance with Condition 14. Such Noteholder shall not be entitled to any payment, whether of interest or otherwise, on such Note as a result of any delay in the delivery of the Entitlement pursuant to these Physical Delivery Conditions. Where delivery of the Entitlement has been postponed as provided in these Physical Delivery Conditions the Issuer shall not be in breach of these Conditions and no liability in respect thereof shall attach to the Issuer.
For so long as delivery of the Entitlement in respect of any Note is not practicable by reason of a Settlement Disruption Event, then in lieu of physical settlement and notwithstanding any other provision hereof, the Issuer may elect in its sole discretion to satisfy its obligations in respect of the relevant Note by payment to the relevant Noteholder of the Disruption Cash Settlement Price not later than on the third Business Day following the date that the notice of such election (the "Election Notice") is given to the Noteholders in accordance with Condition 14.
3.
Failure to Deliver due to Illiquidity

If Failure to Deliver due to Illiquidity is specified as applying in the applicable Final Terms and, in the opinion of the Calculation Agent, it is impossible or impracticable to deliver, when due, some or all of the Relevant Assets comprising the Entitlement (the "Affected Relevant Assets"), where such failure to deliver is due to illiquidity in the market for the Relevant Assets (a "Failure to Deliver due to Illiquidity"), then:
(a)
subject as provided elsewhere in these Physical Delivery Conditions and/or the applicable Final Terms, any Relevant Assets, which are not Affected Relevant Assets, will be delivered on the originally designated Maturity Delivery Date in accordance with these Physical Delivery Conditions; and

LN2-9694
 
135
 
 





(b)
in respect of any Affected Relevant Assets, notwithstanding any other provision hereof, the Issuer may elect in its sole discretion, in lieu of delivery of the Affected Relevant Assets, to pay to the relevant Noteholder the Failure to Deliver Settlement Price (as defined below) on the fifth Business Day following the date the Failure to Deliver Notice (as defined below) is given to the Noteholders in accordance with Condition 14. The Issuer shall give notice (such notice a "Failure to Deliver Notice") as soon as reasonably practicable to the Noteholders in accordance with Condition 14 that the provisions of this Physical Delivery Condition 3 apply.

4.
Option to Vary Settlement

If the applicable Final Terms indicates that the Issuer has an option to vary settlement in respect of the Notes, the Issuer may in its sole and unfettered discretion in respect of each such Note, elect not to pay the relevant Noteholders the Final Redemption Amount or to deliver or procure delivery of the Entitlement to the relevant Noteholders, as the case may be, but, in lieu thereof, to deliver or procure delivery of the Entitlement or make payment of the Final Redemption Amount on the Maturity Date to the relevant Noteholders, as the case may be. Notification of such election will be given to Noteholders in accordance with Condition 14.
5.
Definitions

For the purposes of these Physical Delivery Conditions:
"Cut-Off Date" means the date specified as such in the applicable Final Terms.
"Disruption Cash Settlement Price" means, in respect of each nominal amount of Notes equal to the Specified Denomination, an amount equal to the fair market value of such Notes (but not taking into account any interest accrued on such Note and paid pursuant to Condition 4 and Condition 5) on such day as shall be selected by the Issuer in its sole and absolute discretion provided that such day is not more than 15 calendar days before the date that the Election Notice is given as provided above less the cost to the Issuer and/or its Affiliates or agents of unwinding or adjusting any underlying or related hedging arrangements (including the cost of funding in respect of such hedging arrangements), all as calculated by the Calculation Agent in its sole and absolute discretion.
"Entitlement" means, in relation to a Physical Delivery Note, the quantity of the Relevant Asset or the Relevant Assets, as the case may be, which a Noteholder is entitled to receive on the Maturity Delivery Date in respect of each such Note following payment of the Expenses, which quantity will be rounded down as provided in Physical Delivery Condition 1, as determined by the Calculation Agent and includes any documents evidencing such Entitlement.
"Failure to Deliver Settlement Price" means, in respect of each nominal amount of the Notes equal to the Specified Denomination, the fair market value of the Affected Relevant Assets in respect of such Notes on the fifth Business Day prior to the date on which the Failure to Deliver Notice is given as provided above, less the cost to the Issuer and/or its Affiliates or agents of unwinding or adjusting any underlying or related hedging arrangements (including the cost of funding in respect of such hedging arrangements), all as calculated by the Calculation Agent in its sole and absolute discretion.
"Settlement Disruption Event" means an event beyond the control of the Issuer as a result of which, in the opinion of the Calculation Agent, delivery of the Entitlement by or on behalf of the Issuer in accordance with these Physical Delivery Conditions and/or the applicable Final Terms is not practicable.

LN2-9694
 
136
 
 




EXHIBIT 3

FORM OF PUT NOTICE Exhibit 3 - FORM OF PUT NOTICE 1

BANK OF AMERICA CORPORATION
EURO MEDIUM-TERM NOTES DUE
[year of Maturity Date/Redemption Month]
Series No. [ ]
Tranche No. [ ]

In respect of Bearer Notes
Principal Agent
To:
Bank of America, N.A., London Branch
5 Canada Square
London E14 5AQ
Attention: GSS Chad Burge/Robert Cook
Telephone: +44 20 7174 9579
Facsimile: +44 20 7174 6510

[or in respect of Registered Notes]

Transfer Agent and Registrar:
To:
Merrill Lynch International Bank Limited
Dublin Road
Carrick on Shannon
Ireland
Attention: GSS Davida McDermott
Email:    davida.mcdermott@bankofamerica.com
Telephone: + 353 71 9656 514
Facsimile: + 353 71 9656 599]


By depositing this duly completed Notice with any Paying Agent or Transfer Agent for the Notes of the above Series (the “Notes”) the undersigned holder of the Notes surrendered with this Notice and referred to below irrevocably exercises its option to have such Notes redeemed on [ ] under Condition 6(e) of the Notes.
The Notice relates to Notes in the aggregate principal amount of __________________ _________________, bearing the following serial numbers:


LN2-9694
 
137
 
 




 
 
 

If the Notes referred to above are to be returned to the undersigned under Clause 12(5) of the Amended and Restated Agency Agreement dated July 22, 2010 (as amended, restated and/or supplemented from time to time) among Bank of America Corporation, as Issuer, Bank of America, N.A., London Branch as Principal Agent, and Merrill Lynch International Bank Limited as the Transfer Agent and Registrar in respect of Registered Notes (the “Agency Agreement”), they should be returned by post to (See Note (1) below):
To:
__________________________________________________________________
Address:
___________________________________________________________
Payment Instructions
Please make payment in respect of the above-mentioned Notes as follows:
Receiving Bank Correspondent:
__________________________________________________________
SWIFT:
__________________________________________________________
Bank Name
__________________________________________________________
Swift Code:
__________________________________________________________
Beneficiary Account Name:
__________________________________________________________
Account No.:
__________________________________________________________
Reference:
__________________________________________________________
 
 
For:
__________________________________________________________
By:
__________________________________________________________
Signature:
__________________________________________________________
Print Name:
__________________________________________________________
Telephone No.:
__________________________________________________________
E-mail:
__________________________________________________________
Dated:
__________________________________________________________



LN2-9694
 
138
 
 




To be completed by recipient Paying Agent or Transfer Agent
Received by:
Signature and stamp of Paying Agent/Transfer Agent
At its office at:
On:
Time: ____________________________________________________

Notes
(1)    The Agency Agreement provides that Notes or authorities so returned will be sent by post, uninsured and at the risk of the Noteholder, unless the Noteholder otherwise requests and pays the costs of such insurance in advance to the relevant Paying Agent or Transfer Agent.
(2)    This Put Notice is not valid unless all of the paragraphs requiring completion are duly completed.
(3)    The Paying Agent or Transfer Agent with whom the above‑mentioned Bearer Notes or Registered Certificates are deposited will not in any circumstances be liable to the depositing Noteholder or any other person for any loss or damage arising from any act, default or omission of such Paying Agent or Transfer Agent in relation to the Bearer Notes or Registered Certificates or any of them unless such loss or damage was caused by the fraud or gross negligence of such Paying Agent or Transfer Agent or its directors, officers or employees.



LN2-9694
 
139